Номер 1106, страница 334 - гдз по алгебре 10-11 класс учебник Алимов, Колягин

Алгебра, 10-11 класс Учебник, авторы: Алимов Шавкат Арифджанович, Колягин Юрий Михайлович, Ткачева Мария Владимировна, Федорова Надежда Евгеньевна, Шабунин Михаил Иванович, издательство Просвещение, Москва, 2014

Авторы: Алимов Ш. А., Колягин Ю. М., Ткачева М. В., Федорова Н. Е., Шабунин М. И.

Тип: Учебник

Издательство: Просвещение

Год издания: 2014 - 2026

Уровень обучения: базовый и углублённый

Цвет обложки: синий, фиолетовый

ISBN: 978-5-09-112136-0

Допущено Министерством просвещения Российской Федерации

Математика: алгебра и начала математического анализа, геометрия

Глава 11. Комбинаторика. Упражнения к главе 11 - номер 1106, страница 334.

№1106 (с. 334)
Условие. №1106 (с. 334)
скриншот условия
Алгебра, 10-11 класс Учебник, авторы: Алимов Шавкат Арифджанович, Колягин Юрий Михайлович, Ткачева Мария Владимировна, Федорова Надежда Евгеньевна, Шабунин Михаил Иванович, издательство Просвещение, Москва, 2014, страница 334, номер 1106, Условие

1106 Записать разложение бинома:

1) $(2-x)^5$;

2) $(x-2)^4$;

3) $(a+3)^4$;

4) $(3+a)^5$;

5) $(x-1)^8$;

6) $(1-x)^7$;

7) $(x+\frac{1}{x})^6$;

8) $(2a+\frac{1}{2})^6$.

Решение 1. №1106 (с. 334)
Алгебра, 10-11 класс Учебник, авторы: Алимов Шавкат Арифджанович, Колягин Юрий Михайлович, Ткачева Мария Владимировна, Федорова Надежда Евгеньевна, Шабунин Михаил Иванович, издательство Просвещение, Москва, 2014, страница 334, номер 1106, Решение 1
Алгебра, 10-11 класс Учебник, авторы: Алимов Шавкат Арифджанович, Колягин Юрий Михайлович, Ткачева Мария Владимировна, Федорова Надежда Евгеньевна, Шабунин Михаил Иванович, издательство Просвещение, Москва, 2014, страница 334, номер 1106, Решение 1 (продолжение 2)
Решение 2. №1106 (с. 334)
Алгебра, 10-11 класс Учебник, авторы: Алимов Шавкат Арифджанович, Колягин Юрий Михайлович, Ткачева Мария Владимировна, Федорова Надежда Евгеньевна, Шабунин Михаил Иванович, издательство Просвещение, Москва, 2014, страница 334, номер 1106, Решение 2
Алгебра, 10-11 класс Учебник, авторы: Алимов Шавкат Арифджанович, Колягин Юрий Михайлович, Ткачева Мария Владимировна, Федорова Надежда Евгеньевна, Шабунин Михаил Иванович, издательство Просвещение, Москва, 2014, страница 334, номер 1106, Решение 2 (продолжение 2)
Решение 3. №1106 (с. 334)
Алгебра, 10-11 класс Учебник, авторы: Алимов Шавкат Арифджанович, Колягин Юрий Михайлович, Ткачева Мария Владимировна, Федорова Надежда Евгеньевна, Шабунин Михаил Иванович, издательство Просвещение, Москва, 2014, страница 334, номер 1106, Решение 3
Решение 5. №1106 (с. 334)
Алгебра, 10-11 класс Учебник, авторы: Алимов Шавкат Арифджанович, Колягин Юрий Михайлович, Ткачева Мария Владимировна, Федорова Надежда Евгеньевна, Шабунин Михаил Иванович, издательство Просвещение, Москва, 2014, страница 334, номер 1106, Решение 5
Решение 7. №1106 (с. 334)
Алгебра, 10-11 класс Учебник, авторы: Алимов Шавкат Арифджанович, Колягин Юрий Михайлович, Ткачева Мария Владимировна, Федорова Надежда Евгеньевна, Шабунин Михаил Иванович, издательство Просвещение, Москва, 2014, страница 334, номер 1106, Решение 7 Алгебра, 10-11 класс Учебник, авторы: Алимов Шавкат Арифджанович, Колягин Юрий Михайлович, Ткачева Мария Владимировна, Федорова Надежда Евгеньевна, Шабунин Михаил Иванович, издательство Просвещение, Москва, 2014, страница 334, номер 1106, Решение 7 (продолжение 2)
Решение 8. №1106 (с. 334)

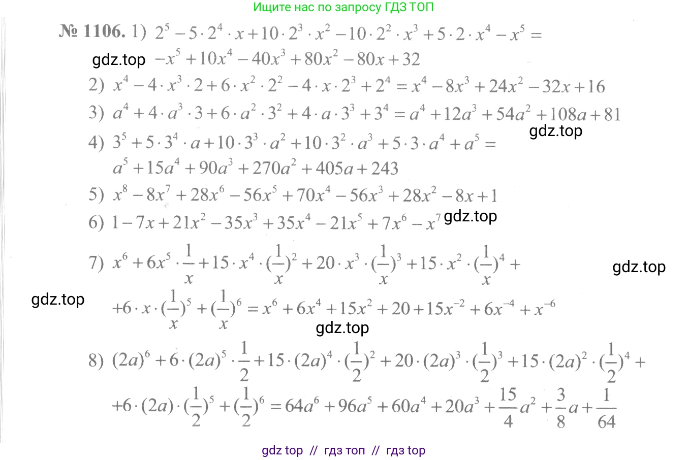
1) Для разложения бинома используется формула бинома Ньютона: $(a+b)^n = \sum_{k=0}^{n} C_n^k a^{n-k} b^k$, где $C_n^k = \frac{n!}{k!(n-k)!}$ – биномиальные коэффициенты.
В случае $(2 - x)^5$: $a = 2$, $b = -x$, $n = 5$.
Биномиальные коэффициенты для $n=5$: $C_5^0=1, C_5^1=5, C_5^2=10, C_5^3=10, C_5^4=5, C_5^5=1$.
Разложение: $(2 - x)^5 = 1 \cdot 2^5 \cdot (-x)^0 + 5 \cdot 2^4 \cdot (-x)^1 + 10 \cdot 2^3 \cdot (-x)^2 + 10 \cdot 2^2 \cdot (-x)^3 + 5 \cdot 2^1 \cdot (-x)^4 + 1 \cdot 2^0 \cdot (-x)^5$
$= 1 \cdot 32 \cdot 1 + 5 \cdot 16 \cdot (-x) + 10 \cdot 8 \cdot x^2 + 10 \cdot 4 \cdot (-x^3) + 5 \cdot 2 \cdot x^4 + 1 \cdot 1 \cdot (-x^5)$
$= 32 - 80x + 80x^2 - 40x^3 + 10x^4 - x^5$
Ответ: $32 - 80x + 80x^2 - 40x^3 + 10x^4 - x^5$

2) Для $(x - 2)^4$: $a = x$, $b = -2$, $n = 4$.
Биномиальные коэффициенты для $n=4$: $1, 4, 6, 4, 1$.
Разложение: $(x-2)^4 = 1 \cdot x^4 \cdot (-2)^0 + 4 \cdot x^3 \cdot (-2)^1 + 6 \cdot x^2 \cdot (-2)^2 + 4 \cdot x^1 \cdot (-2)^3 + 1 \cdot x^0 \cdot (-2)^4$
$= 1 \cdot x^4 \cdot 1 + 4 \cdot x^3 \cdot (-2) + 6 \cdot x^2 \cdot 4 + 4 \cdot x \cdot (-8) + 1 \cdot 1 \cdot 16$
$= x^4 - 8x^3 + 24x^2 - 32x + 16$
Ответ: $x^4 - 8x^3 + 24x^2 - 32x + 16$

3) Для $(a + 3)^4$: $a = a$, $b = 3$, $n = 4$.
Биномиальные коэффициенты для $n=4$: $1, 4, 6, 4, 1$.
Разложение: $(a+3)^4 = 1 \cdot a^4 \cdot 3^0 + 4 \cdot a^3 \cdot 3^1 + 6 \cdot a^2 \cdot 3^2 + 4 \cdot a^1 \cdot 3^3 + 1 \cdot a^0 \cdot 3^4$
$= 1 \cdot a^4 \cdot 1 + 4 \cdot a^3 \cdot 3 + 6 \cdot a^2 \cdot 9 + 4 \cdot a \cdot 27 + 1 \cdot 1 \cdot 81$
$= a^4 + 12a^3 + 54a^2 + 108a + 81$
Ответ: $a^4 + 12a^3 + 54a^2 + 108a + 81$

4) Для $(3 + a)^5$: первый член $3$, второй член $a$, $n = 5$.
Биномиальные коэффициенты для $n=5$: $1, 5, 10, 10, 5, 1$.
Разложение: $(3+a)^5 = 1 \cdot 3^5 \cdot a^0 + 5 \cdot 3^4 \cdot a^1 + 10 \cdot 3^3 \cdot a^2 + 10 \cdot 3^2 \cdot a^3 + 5 \cdot 3^1 \cdot a^4 + 1 \cdot 3^0 \cdot a^5$
$= 1 \cdot 243 + 5 \cdot 81 \cdot a + 10 \cdot 27 \cdot a^2 + 10 \cdot 9 \cdot a^3 + 5 \cdot 3 \cdot a^4 + 1 \cdot 1 \cdot a^5$
$= 243 + 405a + 270a^2 + 90a^3 + 15a^4 + a^5$
Ответ: $243 + 405a + 270a^2 + 90a^3 + 15a^4 + a^5$

5) Для $(x - 1)^8$: $a = x$, $b = -1$, $n = 8$.
Биномиальные коэффициенты $C_8^k$: $1, 8, 28, 56, 70, 56, 28, 8, 1$.
Разложение: $(x-1)^8 = 1 \cdot x^8(-1)^0 + 8 \cdot x^7(-1)^1 + 28 \cdot x^6(-1)^2 + 56 \cdot x^5(-1)^3 + 70 \cdot x^4(-1)^4 + 56 \cdot x^3(-1)^5 + 28 \cdot x^2(-1)^6 + 8x(-1)^7 + 1 \cdot x^0(-1)^8$
$= x^8 - 8x^7 + 28x^6 - 56x^5 + 70x^4 - 56x^3 + 28x^2 - 8x + 1$
Ответ: $x^8 - 8x^7 + 28x^6 - 56x^5 + 70x^4 - 56x^3 + 28x^2 - 8x + 1$

6) Для $(1 - x)^7$: $a = 1$, $b = -x$, $n = 7$.
Биномиальные коэффициенты $C_7^k$: $1, 7, 21, 35, 35, 21, 7, 1$.
Разложение: $(1-x)^7 = 1 \cdot 1^7(-x)^0 + 7 \cdot 1^6(-x)^1 + 21 \cdot 1^5(-x)^2 + 35 \cdot 1^4(-x)^3 + 35 \cdot 1^3(-x)^4 + 21 \cdot 1^2(-x)^5 + 7 \cdot 1^1(-x)^6 + 1 \cdot 1^0(-x)^7$
$= 1 - 7x + 21x^2 - 35x^3 + 35x^4 - 21x^5 + 7x^6 - x^7$
Ответ: $1 - 7x + 21x^2 - 35x^3 + 35x^4 - 21x^5 + 7x^6 - x^7$

7) Для $(x + \frac{1}{x})^6$: $a = x$, $b = \frac{1}{x}$, $n = 6$.
Биномиальные коэффициенты для $n=6$: $1, 6, 15, 20, 15, 6, 1$.
Разложение: $(x + \frac{1}{x})^6 = 1 \cdot x^6(\frac{1}{x})^0 + 6 \cdot x^5(\frac{1}{x})^1 + 15 \cdot x^4(\frac{1}{x})^2 + 20 \cdot x^3(\frac{1}{x})^3 + 15 \cdot x^2(\frac{1}{x})^4 + 6 \cdot x^1(\frac{1}{x})^5 + 1 \cdot x^0(\frac{1}{x})^6$
$= x^6 \cdot 1 + 6x^5 \cdot x^{-1} + 15x^4 \cdot x^{-2} + 20x^3 \cdot x^{-3} + 15x^2 \cdot x^{-4} + 6x \cdot x^{-5} + 1 \cdot x^{-6}$
$= x^6 + 6x^4 + 15x^2 + 20 + 15x^{-2} + 6x^{-4} + x^{-6}$
$= x^6 + 6x^4 + 15x^2 + 20 + \frac{15}{x^2} + \frac{6}{x^4} + \frac{1}{x^6}$
Ответ: $x^6 + 6x^4 + 15x^2 + 20 + \frac{15}{x^2} + \frac{6}{x^4} + \frac{1}{x^6}$

8) Для $(2a + \frac{1}{2})^6$: первый член $2a$, второй член $\frac{1}{2}$, $n = 6$.
Биномиальные коэффициенты для $n=6$: $1, 6, 15, 20, 15, 6, 1$.
Разложение: $(2a + \frac{1}{2})^6 = 1 \cdot (2a)^6(\frac{1}{2})^0 + 6 \cdot (2a)^5(\frac{1}{2})^1 + 15 \cdot (2a)^4(\frac{1}{2})^2 + 20 \cdot (2a)^3(\frac{1}{2})^3 + 15 \cdot (2a)^2(\frac{1}{2})^4 + 6 \cdot (2a)^1(\frac{1}{2})^5 + 1 \cdot (2a)^0(\frac{1}{2})^6$
$= 1 \cdot 64a^6 \cdot 1 + 6 \cdot 32a^5 \cdot \frac{1}{2} + 15 \cdot 16a^4 \cdot \frac{1}{4} + 20 \cdot 8a^3 \cdot \frac{1}{8} + 15 \cdot 4a^2 \cdot \frac{1}{16} + 6 \cdot 2a \cdot \frac{1}{32} + 1 \cdot 1 \cdot \frac{1}{64}$
$= 64a^6 + 96a^5 + 60a^4 + 20a^3 + \frac{15}{4}a^2 + \frac{3}{8}a + \frac{1}{64}$
Ответ: $64a^6 + 96a^5 + 60a^4 + 20a^3 + \frac{15}{4}a^2 + \frac{3}{8}a + \frac{1}{64}$

Помогло решение? Оставьте отзыв в комментариях ниже.

Присоединяйтесь к Телеграм-группе @top_gdz

Присоединиться

Мы подготовили для вас ответ c подробным объяснением домашего задания по алгебре за 10-11 класс, для упражнения номер 1106 расположенного на странице 334 к учебнику 2014 года издания для учащихся школ и гимназий.

Теперь на нашем сайте ГДЗ.ТОП вы всегда легко и бесплатно найдёте условие с правильным ответом на вопрос «Как решить ДЗ» и «Как сделать» задание по алгебре к упражнению №1106 (с. 334), авторов: Алимов (Шавкат Арифджанович), Колягин (Юрий Михайлович), Ткачева (Мария Владимировна), Федорова (Надежда Евгеньевна), Шабунин (Михаил Иванович), ФГОС (старый) базовый и углублённый уровень обучения учебного пособия издательства Просвещение.