Номер 1218, страница 384 - гдз по алгебре 10-11 класс учебник Алимов, Колягин

Алгебра, 10-11 класс Учебник, авторы: Алимов Шавкат Арифджанович, Колягин Юрий Михайлович, Ткачева Мария Владимировна, Федорова Надежда Евгеньевна, Шабунин Михаил Иванович, издательство Просвещение, Москва, 2014

Авторы: Алимов Ш. А., Колягин Ю. М., Ткачева М. В., Федорова Н. Е., Шабунин М. И.

Тип: Учебник

Издательство: Просвещение

Год издания: 2014 - 2025

Уровень обучения: базовый и углублённый

Цвет обложки: синий, фиолетовый

ISBN: 978-5-09-112136-0

Допущено Министерством просвещения Российской Федерации

Математика: алгебра и начала математического анализа, геометрия

Популярные ГДЗ в 10 классе

Глава 13. Статистика. Упражнения к главе 13 - номер 1218, страница 384.

№1218 (с. 384)
Условие. №1218 (с. 384)
скриншот условия
Алгебра, 10-11 класс Учебник, авторы: Алимов Шавкат Арифджанович, Колягин Юрий Михайлович, Ткачева Мария Владимировна, Федорова Надежда Евгеньевна, Шабунин Михаил Иванович, издательство Просвещение, Москва, 2014, страница 384, номер 1218, Условие

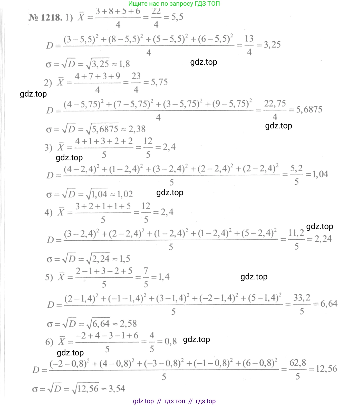
1218 Найти дисперсию и среднее квадратичное отклонение выборки:

1) 3, 8, 5, 6;

2) 4, 7, 3, 9;

3) 4, 1, 3, 2, 2;

4) 3, 2, 1, 1, 5;

5) 2, -1, 3, -2, 5;

6) -2, 4, -3, -1, 6.

Решение 1. №1218 (с. 384)
Алгебра, 10-11 класс Учебник, авторы: Алимов Шавкат Арифджанович, Колягин Юрий Михайлович, Ткачева Мария Владимировна, Федорова Надежда Евгеньевна, Шабунин Михаил Иванович, издательство Просвещение, Москва, 2014, страница 384, номер 1218, Решение 1
Алгебра, 10-11 класс Учебник, авторы: Алимов Шавкат Арифджанович, Колягин Юрий Михайлович, Ткачева Мария Владимировна, Федорова Надежда Евгеньевна, Шабунин Михаил Иванович, издательство Просвещение, Москва, 2014, страница 384, номер 1218, Решение 1 (продолжение 2)
Алгебра, 10-11 класс Учебник, авторы: Алимов Шавкат Арифджанович, Колягин Юрий Михайлович, Ткачева Мария Владимировна, Федорова Надежда Евгеньевна, Шабунин Михаил Иванович, издательство Просвещение, Москва, 2014, страница 384, номер 1218, Решение 1 (продолжение 3)
Алгебра, 10-11 класс Учебник, авторы: Алимов Шавкат Арифджанович, Колягин Юрий Михайлович, Ткачева Мария Владимировна, Федорова Надежда Евгеньевна, Шабунин Михаил Иванович, издательство Просвещение, Москва, 2014, страница 384, номер 1218, Решение 1 (продолжение 4)
Алгебра, 10-11 класс Учебник, авторы: Алимов Шавкат Арифджанович, Колягин Юрий Михайлович, Ткачева Мария Владимировна, Федорова Надежда Евгеньевна, Шабунин Михаил Иванович, издательство Просвещение, Москва, 2014, страница 384, номер 1218, Решение 1 (продолжение 5) Алгебра, 10-11 класс Учебник, авторы: Алимов Шавкат Арифджанович, Колягин Юрий Михайлович, Ткачева Мария Владимировна, Федорова Надежда Евгеньевна, Шабунин Михаил Иванович, издательство Просвещение, Москва, 2014, страница 384, номер 1218, Решение 1 (продолжение 6)
Решение 2. №1218 (с. 384)
Алгебра, 10-11 класс Учебник, авторы: Алимов Шавкат Арифджанович, Колягин Юрий Михайлович, Ткачева Мария Владимировна, Федорова Надежда Евгеньевна, Шабунин Михаил Иванович, издательство Просвещение, Москва, 2014, страница 384, номер 1218, Решение 2
Алгебра, 10-11 класс Учебник, авторы: Алимов Шавкат Арифджанович, Колягин Юрий Михайлович, Ткачева Мария Владимировна, Федорова Надежда Евгеньевна, Шабунин Михаил Иванович, издательство Просвещение, Москва, 2014, страница 384, номер 1218, Решение 2 (продолжение 2)
Решение 5. №1218 (с. 384)
Алгебра, 10-11 класс Учебник, авторы: Алимов Шавкат Арифджанович, Колягин Юрий Михайлович, Ткачева Мария Владимировна, Федорова Надежда Евгеньевна, Шабунин Михаил Иванович, издательство Просвещение, Москва, 2014, страница 384, номер 1218, Решение 5
Решение 7. №1218 (с. 384)
Алгебра, 10-11 класс Учебник, авторы: Алимов Шавкат Арифджанович, Колягин Юрий Михайлович, Ткачева Мария Владимировна, Федорова Надежда Евгеньевна, Шабунин Михаил Иванович, издательство Просвещение, Москва, 2014, страница 384, номер 1218, Решение 7
Алгебра, 10-11 класс Учебник, авторы: Алимов Шавкат Арифджанович, Колягин Юрий Михайлович, Ткачева Мария Владимировна, Федорова Надежда Евгеньевна, Шабунин Михаил Иванович, издательство Просвещение, Москва, 2014, страница 384, номер 1218, Решение 7 (продолжение 2)
Решение 8. №1218 (с. 384)

Для нахождения дисперсии и среднего квадратичного отклонения выборки необходимо последовательно вычислить среднее арифметическое, дисперсию и среднее квадратичное отклонение по следующим формулам:

  • Среднее арифметическое выборки ($\bar{x}$): $\bar{x} = \frac{1}{n} \sum_{i=1}^{n} x_i$, где $x_i$ — элементы выборки, $n$ — объем выборки.
  • Дисперсия ($D$): $D = \frac{1}{n} \sum_{i=1}^{n} (x_i - \bar{x})^2$. Это среднее значение квадратов отклонений элементов выборки от их среднего значения.
  • Среднее квадратичное отклонение ($\sigma$): $\sigma = \sqrt{D}$. Это корень квадратный из дисперсии.

1) Выборка: 3, 8, 5, 6.

Объем выборки $n=4$.

1. Найдем среднее арифметическое:

$\bar{x} = \frac{3+8+5+6}{4} = \frac{22}{4} = 5.5$.

2. Найдем дисперсию:

$D = \frac{(3 - 5.5)^2 + (8 - 5.5)^2 + (5 - 5.5)^2 + (6 - 5.5)^2}{4} = \frac{(-2.5)^2 + (2.5)^2 + (-0.5)^2 + (0.5)^2}{4} = \frac{6.25 + 6.25 + 0.25 + 0.25}{4} = \frac{13}{4} = 3.25$.

3. Найдем среднее квадратичное отклонение:

$\sigma = \sqrt{D} = \sqrt{3.25} = \sqrt{\frac{13}{4}} = \frac{\sqrt{13}}{2}$.

Ответ: дисперсия $D = 3.25$; среднее квадратичное отклонение $\sigma = \frac{\sqrt{13}}{2}$.

2) Выборка: 4, 7, 3, 9.

Объем выборки $n=4$.

1. Найдем среднее арифметическое:

$\bar{x} = \frac{4+7+3+9}{4} = \frac{23}{4} = 5.75$.

2. Найдем дисперсию:

$D = \frac{(4 - 5.75)^2 + (7 - 5.75)^2 + (3 - 5.75)^2 + (9 - 5.75)^2}{4} = \frac{(-1.75)^2 + (1.25)^2 + (-2.75)^2 + (3.25)^2}{4} = \frac{3.0625 + 1.5625 + 7.5625 + 10.5625}{4} = \frac{22.75}{4} = \frac{91}{16} = 5.6875$.

3. Найдем среднее квадратичное отклонение:

$\sigma = \sqrt{D} = \sqrt{\frac{91}{16}} = \frac{\sqrt{91}}{4}$.

Ответ: дисперсия $D = 5.6875$; среднее квадратичное отклонение $\sigma = \frac{\sqrt{91}}{4}$.

3) Выборка: 4, 1, 3, 2, 2.

Объем выборки $n=5$.

1. Найдем среднее арифметическое:

$\bar{x} = \frac{4+1+3+2+2}{5} = \frac{12}{5} = 2.4$.

2. Найдем дисперсию:

$D = \frac{(4 - 2.4)^2 + (1 - 2.4)^2 + (3 - 2.4)^2 + (2 - 2.4)^2 + (2 - 2.4)^2}{5} = \frac{(1.6)^2 + (-1.4)^2 + (0.6)^2 + (-0.4)^2 + (-0.4)^2}{5} = \frac{2.56 + 1.96 + 0.36 + 0.16 + 0.16}{5} = \frac{5.2}{5} = 1.04$.

3. Найдем среднее квадратичное отклонение:

$\sigma = \sqrt{D} = \sqrt{1.04} = \sqrt{\frac{104}{100}} = \sqrt{\frac{26}{25}} = \frac{\sqrt{26}}{5}$.

Ответ: дисперсия $D = 1.04$; среднее квадратичное отклонение $\sigma = \frac{\sqrt{26}}{5}$.

4) Выборка: 3, 2, 1, 1, 5.

Объем выборки $n=5$.

1. Найдем среднее арифметическое:

$\bar{x} = \frac{3+2+1+1+5}{5} = \frac{12}{5} = 2.4$.

2. Найдем дисперсию:

$D = \frac{(3 - 2.4)^2 + (2 - 2.4)^2 + (1 - 2.4)^2 + (1 - 2.4)^2 + (5 - 2.4)^2}{5} = \frac{(0.6)^2 + (-0.4)^2 + (-1.4)^2 + (-1.4)^2 + (2.6)^2}{5} = \frac{0.36 + 0.16 + 1.96 + 1.96 + 6.76}{5} = \frac{11.2}{5} = 2.24$.

3. Найдем среднее квадратичное отклонение:

$\sigma = \sqrt{D} = \sqrt{2.24} = \sqrt{\frac{224}{100}} = \sqrt{\frac{56}{25}} = \frac{\sqrt{4 \cdot 14}}{5} = \frac{2\sqrt{14}}{5}$.

Ответ: дисперсия $D = 2.24$; среднее квадратичное отклонение $\sigma = \frac{2\sqrt{14}}{5}$.

5) Выборка: 2, -1, 3, -2, 5.

Объем выборки $n=5$.

1. Найдем среднее арифметическое:

$\bar{x} = \frac{2 + (-1) + 3 + (-2) + 5}{5} = \frac{7}{5} = 1.4$.

2. Найдем дисперсию:

$D = \frac{(2 - 1.4)^2 + (-1 - 1.4)^2 + (3 - 1.4)^2 + (-2 - 1.4)^2 + (5 - 1.4)^2}{5} = \frac{(0.6)^2 + (-2.4)^2 + (1.6)^2 + (-3.4)^2 + (3.6)^2}{5} = \frac{0.36 + 5.76 + 2.56 + 11.56 + 12.96}{5} = \frac{33.2}{5} = 6.64$.

3. Найдем среднее квадратичное отклонение:

$\sigma = \sqrt{D} = \sqrt{6.64} = \sqrt{\frac{664}{100}} = \sqrt{\frac{166}{25}} = \frac{\sqrt{166}}{5}$.

Ответ: дисперсия $D = 6.64$; среднее квадратичное отклонение $\sigma = \frac{\sqrt{166}}{5}$.

6) Выборка: -2, 4, -3, -1, 6.

Объем выборки $n=5$.

1. Найдем среднее арифметическое:

$\bar{x} = \frac{-2 + 4 + (-3) + (-1) + 6}{5} = \frac{4}{5} = 0.8$.

2. Найдем дисперсию:

$D = \frac{(-2 - 0.8)^2 + (4 - 0.8)^2 + (-3 - 0.8)^2 + (-1 - 0.8)^2 + (6 - 0.8)^2}{5} = \frac{(-2.8)^2 + (3.2)^2 + (-3.8)^2 + (-1.8)^2 + (5.2)^2}{5} = \frac{7.84 + 10.24 + 14.44 + 3.24 + 27.04}{5} = \frac{62.8}{5} = 12.56$.

3. Найдем среднее квадратичное отклонение:

$\sigma = \sqrt{D} = \sqrt{12.56} = \sqrt{\frac{1256}{100}} = \sqrt{\frac{314}{25}} = \frac{\sqrt{314}}{5}$.

Ответ: дисперсия $D = 12.56$; среднее квадратичное отклонение $\sigma = \frac{\sqrt{314}}{5}$.

Помогло решение? Оставьте отзыв в комментариях ниже.

Присоединяйтесь к Телеграм-группе @top_gdz

Присоединиться

Мы подготовили для вас ответ c подробным объяснением домашего задания по алгебре за 10-11 класс, для упражнения номер 1218 расположенного на странице 384 к учебнику 2014 года издания для учащихся школ и гимназий.

Теперь на нашем сайте ГДЗ.ТОП вы всегда легко и бесплатно найдёте условие с правильным ответом на вопрос «Как решить ДЗ» и «Как сделать» задание по алгебре к упражнению №1218 (с. 384), авторов: Алимов (Шавкат Арифджанович), Колягин (Юрий Михайлович), Ткачева (Мария Владимировна), Федорова (Надежда Евгеньевна), Шабунин (Михаил Иванович), ФГОС (старый) базовый и углублённый уровень обучения учебного пособия издательства Просвещение.