Номер 1222, страница 385 - гдз по алгебре 10-11 класс учебник Алимов, Колягин

Алгебра, 10-11 класс Учебник, авторы: Алимов Шавкат Арифджанович, Колягин Юрий Михайлович, Ткачева Мария Владимировна, Федорова Надежда Евгеньевна, Шабунин Михаил Иванович, издательство Просвещение, Москва, 2014

Авторы: Алимов Ш. А., Колягин Ю. М., Ткачева М. В., Федорова Н. Е., Шабунин М. И.

Тип: Учебник

Издательство: Просвещение

Год издания: 2014 - 2026

Уровень обучения: базовый и углублённый

Цвет обложки: синий, фиолетовый

ISBN: 978-5-09-112136-0

Допущено Министерством просвещения Российской Федерации

Математика: алгебра и начала математического анализа, геометрия

Популярные ГДЗ в 10 классе

Глава 13. Статистика. Упражнения к главе 13 - номер 1222, страница 385.

№1222 (с. 385)
Условие. №1222 (с. 385)
скриншот условия
Алгебра, 10-11 класс Учебник, авторы: Алимов Шавкат Арифджанович, Колягин Юрий Михайлович, Ткачева Мария Владимировна, Федорова Надежда Евгеньевна, Шабунин Михаил Иванович, издательство Просвещение, Москва, 2014, страница 385, номер 1222, Условие

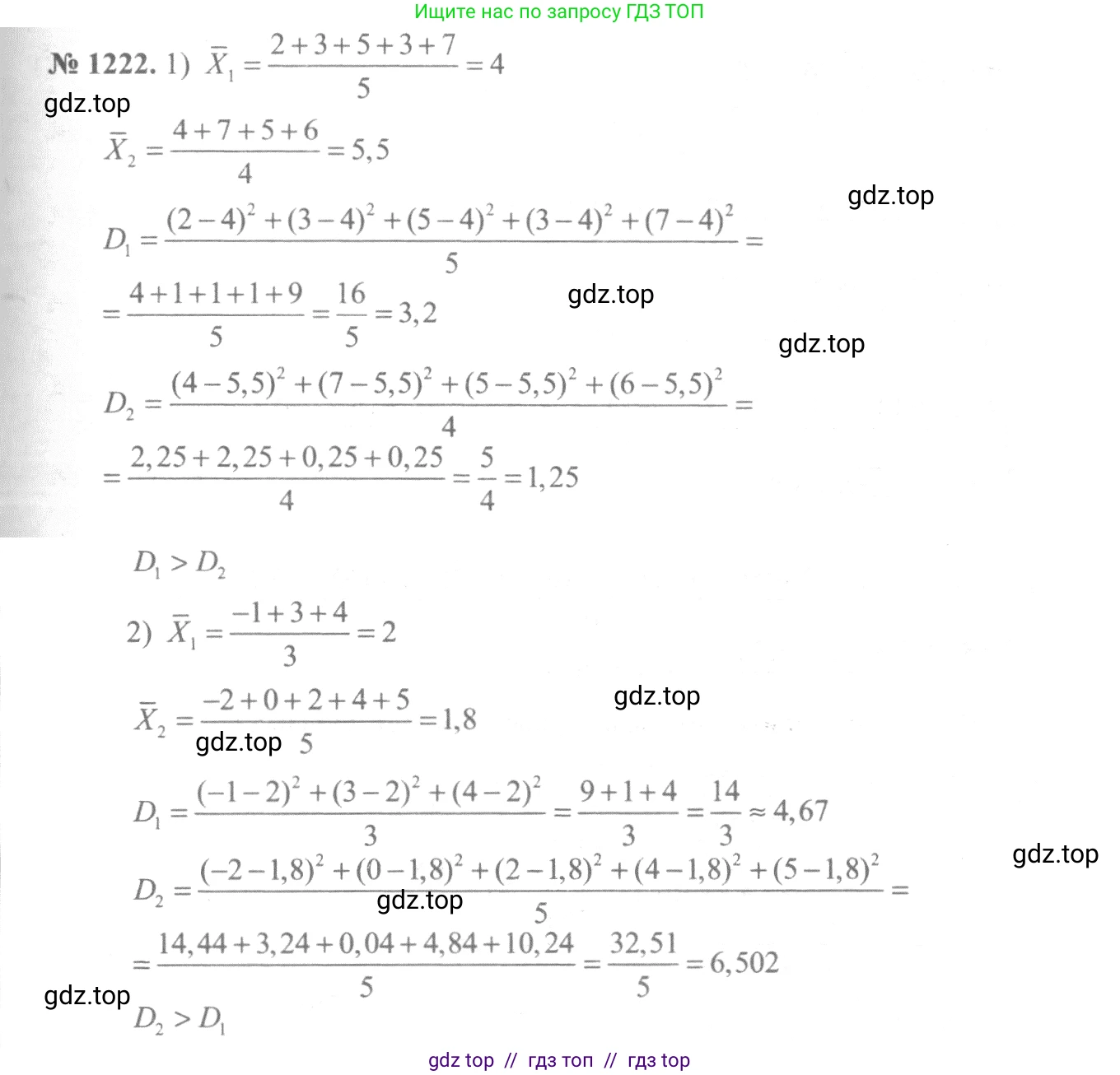
1222 Сравнить дисперсии выборок:

1) 2, 3, 5, 3, 7 и 4, 7, 5, 6;

2) -1, 3, 4 и -2, 0, 2, 4, 5.

Решение 1. №1222 (с. 385)
Алгебра, 10-11 класс Учебник, авторы: Алимов Шавкат Арифджанович, Колягин Юрий Михайлович, Ткачева Мария Владимировна, Федорова Надежда Евгеньевна, Шабунин Михаил Иванович, издательство Просвещение, Москва, 2014, страница 385, номер 1222, Решение 1
Алгебра, 10-11 класс Учебник, авторы: Алимов Шавкат Арифджанович, Колягин Юрий Михайлович, Ткачева Мария Владимировна, Федорова Надежда Евгеньевна, Шабунин Михаил Иванович, издательство Просвещение, Москва, 2014, страница 385, номер 1222, Решение 1 (продолжение 2)
Решение 2. №1222 (с. 385)
Алгебра, 10-11 класс Учебник, авторы: Алимов Шавкат Арифджанович, Колягин Юрий Михайлович, Ткачева Мария Владимировна, Федорова Надежда Евгеньевна, Шабунин Михаил Иванович, издательство Просвещение, Москва, 2014, страница 385, номер 1222, Решение 2
Решение 3. №1222 (с. 385)
Алгебра, 10-11 класс Учебник, авторы: Алимов Шавкат Арифджанович, Колягин Юрий Михайлович, Ткачева Мария Владимировна, Федорова Надежда Евгеньевна, Шабунин Михаил Иванович, издательство Просвещение, Москва, 2014, страница 385, номер 1222, Решение 3
Решение 5. №1222 (с. 385)
Алгебра, 10-11 класс Учебник, авторы: Алимов Шавкат Арифджанович, Колягин Юрий Михайлович, Ткачева Мария Владимировна, Федорова Надежда Евгеньевна, Шабунин Михаил Иванович, издательство Просвещение, Москва, 2014, страница 385, номер 1222, Решение 5
Решение 7. №1222 (с. 385)
Алгебра, 10-11 класс Учебник, авторы: Алимов Шавкат Арифджанович, Колягин Юрий Михайлович, Ткачева Мария Владимировна, Федорова Надежда Евгеньевна, Шабунин Михаил Иванович, издательство Просвещение, Москва, 2014, страница 385, номер 1222, Решение 7
Решение 8. №1222 (с. 385)

Для того чтобы сравнить дисперсии двух выборок, необходимо сначала вычислить дисперсию для каждой из них. Дисперсия выборки $D$ — это мера разброса данных, равная среднему квадрату отклонений значений от их среднего арифметического. Для расчетов удобна формула: $D = \overline{x^2} - (\bar{x})^2$, где $\overline{x^2}$ — среднее арифметическое квадратов элементов выборки, а $\bar{x}$ — среднее арифметическое элементов выборки.

1) Вычислим дисперсию для первой выборки: $2, 3, 5, 3, 7$ и $4, 7, 5, 6$.

Объединим данные в одну выборку: $2, 3, 3, 4, 5, 5, 6, 7, 7$.

Объем выборки $n_1 = 9$.

Найдем среднее арифметическое $\bar{x}_1$:

$\bar{x}_1 = \frac{2+3+3+4+5+5+6+7+7}{9} = \frac{42}{9} = \frac{14}{3}$.

Найдем среднее значение квадратов элементов $\overline{x_1^2}$:

$\overline{x_1^2} = \frac{2^2+3^2+3^2+4^2+5^2+5^2+6^2+7^2+7^2}{9} = \frac{4+9+9+16+25+25+36+49+49}{9} = \frac{222}{9}$.

Теперь вычислим дисперсию первой выборки $D_1$:

$D_1 = \overline{x_1^2} - (\bar{x}_1)^2 = \frac{222}{9} - (\frac{14}{3})^2 = \frac{222}{9} - \frac{196}{9} = \frac{26}{9}$.

2) Вычислим дисперсию для второй выборки: $-1, 3, 4$ и $-2, 0, 2, 4, 5$.

Объединим данные в одну выборку: $-2, -1, 0, 2, 3, 4, 4, 5$.

Объем выборки $n_2 = 8$.

Найдем среднее арифметическое $\bar{x}_2$:

$\bar{x}_2 = \frac{-2-1+0+2+3+4+4+5}{8} = \frac{15}{8}$.

Найдем среднее значение квадратов элементов $\overline{x_2^2}$:

$\overline{x_2^2} = \frac{(-2)^2+(-1)^2+0^2+2^2+3^2+4^2+4^2+5^2}{8} = \frac{4+1+0+4+9+16+16+25}{8} = \frac{75}{8}$.

Теперь вычислим дисперсию второй выборки $D_2$:

$D_2 = \overline{x_2^2} - (\bar{x}_2)^2 = \frac{75}{8} - (\frac{15}{8})^2 = \frac{75 \cdot 8}{64} - \frac{225}{64} = \frac{600 - 225}{64} = \frac{375}{64}$.

Сравним полученные значения дисперсий: $D_1 = \frac{26}{9}$ и $D_2 = \frac{375}{64}$.

Для сравнения представим дроби в виде десятичных чисел:

$D_1 = \frac{26}{9} \approx 2,89$.

$D_2 = \frac{375}{64} \approx 5,86$.

Поскольку $2,89 < 5,86$, то $D_1 < D_2$.

Ответ: Дисперсия второй выборки больше дисперсии первой выборки.

Помогло решение? Оставьте отзыв в комментариях ниже.

Присоединяйтесь к Телеграм-группе @top_gdz

Присоединиться

Мы подготовили для вас ответ c подробным объяснением домашего задания по алгебре за 10-11 класс, для упражнения номер 1222 расположенного на странице 385 к учебнику 2014 года издания для учащихся школ и гимназий.

Теперь на нашем сайте ГДЗ.ТОП вы всегда легко и бесплатно найдёте условие с правильным ответом на вопрос «Как решить ДЗ» и «Как сделать» задание по алгебре к упражнению №1222 (с. 385), авторов: Алимов (Шавкат Арифджанович), Колягин (Юрий Михайлович), Ткачева (Мария Владимировна), Федорова (Надежда Евгеньевна), Шабунин (Михаил Иванович), ФГОС (старый) базовый и углублённый уровень обучения учебного пособия издательства Просвещение.