Номер 1263, страница 403 - гдз по алгебре 10-11 класс учебник Алимов, Колягин

Алгебра, 10-11 класс Учебник, авторы: Алимов Шавкат Арифджанович, Колягин Юрий Михайлович, Ткачева Мария Владимировна, Федорова Надежда Евгеньевна, Шабунин Михаил Иванович, издательство Просвещение, Москва, 2014

Авторы: Алимов Ш. А., Колягин Ю. М., Ткачева М. В., Федорова Н. Е., Шабунин М. И.

Тип: Учебник

Издательство: Просвещение

Год издания: 2014 - 2025

Уровень обучения: базовый и углублённый

Цвет обложки: синий, фиолетовый

ISBN: 978-5-09-112136-0

Допущено Министерством просвещения Российской Федерации

Математика: алгебра и начала математического анализа, геометрия

Популярные ГДЗ в 10 классе

Упражнения для итогового повторения курса алгебры и начал математического анализа. 1. Числа и алгебраические преобразования - номер 1263, страница 403.

№1263 (с. 403)
Условие. №1263 (с. 403)
скриншот условия
Алгебра, 10-11 класс Учебник, авторы: Алимов Шавкат Арифджанович, Колягин Юрий Михайлович, Ткачева Мария Владимировна, Федорова Надежда Евгеньевна, Шабунин Михаил Иванович, издательство Просвещение, Москва, 2014, страница 403, номер 1263, Условие

1263 Имеют ли общие точки промежутки:

1) $[1; 3\sqrt{2} + 2\sqrt{7}]$ и $[3\sqrt{3} + 4; 15];$

2) $(0; \sqrt{27} + \sqrt{6})$ и $(\sqrt{48} - 1; 10);$

3) $[2; 2\sqrt{5} + 2\sqrt{6}]$ и $(3\sqrt{2} + \sqrt{22}; 11);$

4) $[1; 1 + \sqrt{3}]$ и $(\frac{2}{\sqrt{3} - 1}; 4)?$

Решение 1. №1263 (с. 403)
Алгебра, 10-11 класс Учебник, авторы: Алимов Шавкат Арифджанович, Колягин Юрий Михайлович, Ткачева Мария Владимировна, Федорова Надежда Евгеньевна, Шабунин Михаил Иванович, издательство Просвещение, Москва, 2014, страница 403, номер 1263, Решение 1
Алгебра, 10-11 класс Учебник, авторы: Алимов Шавкат Арифджанович, Колягин Юрий Михайлович, Ткачева Мария Владимировна, Федорова Надежда Евгеньевна, Шабунин Михаил Иванович, издательство Просвещение, Москва, 2014, страница 403, номер 1263, Решение 1 (продолжение 2)
Алгебра, 10-11 класс Учебник, авторы: Алимов Шавкат Арифджанович, Колягин Юрий Михайлович, Ткачева Мария Владимировна, Федорова Надежда Евгеньевна, Шабунин Михаил Иванович, издательство Просвещение, Москва, 2014, страница 403, номер 1263, Решение 1 (продолжение 3)
Алгебра, 10-11 класс Учебник, авторы: Алимов Шавкат Арифджанович, Колягин Юрий Михайлович, Ткачева Мария Владимировна, Федорова Надежда Евгеньевна, Шабунин Михаил Иванович, издательство Просвещение, Москва, 2014, страница 403, номер 1263, Решение 1 (продолжение 4)
Решение 2. №1263 (с. 403)
Алгебра, 10-11 класс Учебник, авторы: Алимов Шавкат Арифджанович, Колягин Юрий Михайлович, Ткачева Мария Владимировна, Федорова Надежда Евгеньевна, Шабунин Михаил Иванович, издательство Просвещение, Москва, 2014, страница 403, номер 1263, Решение 2
Алгебра, 10-11 класс Учебник, авторы: Алимов Шавкат Арифджанович, Колягин Юрий Михайлович, Ткачева Мария Владимировна, Федорова Надежда Евгеньевна, Шабунин Михаил Иванович, издательство Просвещение, Москва, 2014, страница 403, номер 1263, Решение 2 (продолжение 2)
Решение 5. №1263 (с. 403)
Алгебра, 10-11 класс Учебник, авторы: Алимов Шавкат Арифджанович, Колягин Юрий Михайлович, Ткачева Мария Владимировна, Федорова Надежда Евгеньевна, Шабунин Михаил Иванович, издательство Просвещение, Москва, 2014, страница 403, номер 1263, Решение 5
Решение 7. №1263 (с. 403)
Алгебра, 10-11 класс Учебник, авторы: Алимов Шавкат Арифджанович, Колягин Юрий Михайлович, Ткачева Мария Владимировна, Федорова Надежда Евгеньевна, Шабунин Михаил Иванович, издательство Просвещение, Москва, 2014, страница 403, номер 1263, Решение 7
Алгебра, 10-11 класс Учебник, авторы: Алимов Шавкат Арифджанович, Колягин Юрий Михайлович, Ткачева Мария Владимировна, Федорова Надежда Евгеньевна, Шабунин Михаил Иванович, издательство Просвещение, Москва, 2014, страница 403, номер 1263, Решение 7 (продолжение 2)
Решение 8. №1263 (с. 403)

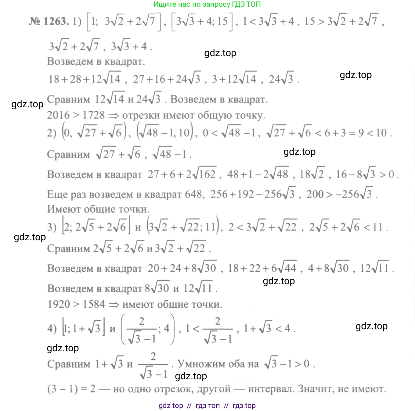
1) Чтобы определить, имеют ли промежутки $[1; 3\sqrt{2} + 2\sqrt{7}]$ и $[3\sqrt{3} + 4; 15]$ общие точки, нужно сравнить их концы. Два отрезка $[a; b]$ и $[c; d]$ имеют общие точки тогда и только тогда, когда $a \le d$ и $c \le b$.

В нашем случае $a = 1$, $b = 3\sqrt{2} + 2\sqrt{7}$, $c = 3\sqrt{3} + 4$, $d = 15$.

Проверим первое условие: $a \le d$. $1 \le 15$. Это верно.

Проверим второе условие: $c \le b$. Сравним числа $3\sqrt{3} + 4$ и $3\sqrt{2} + 2\sqrt{7}$.

Перенесем слагаемые: $3\sqrt{3} - 3\sqrt{2}$ и $2\sqrt{7} - 4$.

Вынесем общие множители: $3(\sqrt{3} - \sqrt{2})$ и $2(\sqrt{7} - 2)$.

Так как $\sqrt{3} \approx 1.73 > \sqrt{2} \approx 1.41$ и $\sqrt{7} \approx 2.65 > 2$, обе разности положительны. Мы можем возвести их в квадрат, не меняя знака неравенства.

$(3(\sqrt{3} - \sqrt{2}))^2 = 9(3 - 2\sqrt{6} + 2) = 9(5 - 2\sqrt{6}) = 45 - 18\sqrt{6}$.

$(2(\sqrt{7} - 2))^2 = 4(7 - 4\sqrt{7} + 4) = 4(11 - 4\sqrt{7}) = 44 - 16\sqrt{7}$.

Теперь сравним $45 - 18\sqrt{6}$ и $44 - 16\sqrt{7}$. Это эквивалентно сравнению $1$ и $18\sqrt{6} - 16\sqrt{7}$.

Сравним $18\sqrt{6}$ и $16\sqrt{7}$. Возведем в квадрат: $(18\sqrt{6})^2 = 324 \cdot 6 = 1944$; $(16\sqrt{7})^2 = 256 \cdot 7 = 1792$.

Так как $1944 > 1792$, то $18\sqrt{6} > 16\sqrt{7}$, значит $18\sqrt{6} - 16\sqrt{7} > 0$.

Теперь сравним $1$ и $18\sqrt{6} - 16\sqrt{7}$, что эквивалентно сравнению $1 + 16\sqrt{7}$ и $18\sqrt{6}$. Возведем в квадрат обе части:

$(1 + 16\sqrt{7})^2 = 1 + 32\sqrt{7} + 256 \cdot 7 = 1793 + 32\sqrt{7}$.

$(18\sqrt{6})^2 = 1944$.

Сравним $1793 + 32\sqrt{7}$ и $1944$, что эквивалентно сравнению $32\sqrt{7}$ и $1944 - 1793 = 151$.

Возведем в квадрат: $(32\sqrt{7})^2 = 1024 \cdot 7 = 7168$; $151^2 = 22801$.

Так как $7168 < 22801$, то $32\sqrt{7} < 151$. Следовательно, $1+16\sqrt{7} < 18\sqrt{6}$, а значит $1 < 18\sqrt{6} - 16\sqrt{7}$.

Возвращаясь к исходному сравнению, получаем $45 - 18\sqrt{6} < 44 - 16\sqrt{7}$.

Это означает, что $3\sqrt{3} + 4 < 3\sqrt{2} + 2\sqrt{7}$, то есть $c < b$.

Оба условия выполнены, следовательно, промежутки имеют общие точки.

Ответ: Да, имеют.

2) Рассмотрим промежутки $(0; \sqrt{27} + \sqrt{6})$ и $(\sqrt{48} - 1; 10)$. Два открытых интервала $(a; b)$ и $(c; d)$ имеют общие точки, если $a < d$ и $c < b$.

Упростим выражения на концах промежутков:

$\sqrt{27} + \sqrt{6} = \sqrt{9 \cdot 3} + \sqrt{6} = 3\sqrt{3} + \sqrt{6}$.

$\sqrt{48} - 1 = \sqrt{16 \cdot 3} - 1 = 4\sqrt{3} - 1$.

Итак, имеем интервалы $(0; 3\sqrt{3} + \sqrt{6})$ и $(4\sqrt{3} - 1; 10)$.

Здесь $a = 0$, $b = 3\sqrt{3} + \sqrt{6}$, $c = 4\sqrt{3} - 1$, $d = 10$.

Условие $a < d$ выполняется: $0 < 10$.

Проверим условие $c < b$. Сравним $4\sqrt{3} - 1$ и $3\sqrt{3} + \sqrt{6}$.

$4\sqrt{3} - 1 - (3\sqrt{3}) < \sqrt{6}$

$\sqrt{3} - 1 < \sqrt{6}$

Так как $\sqrt{3} \approx 1.732$, то $\sqrt{3} - 1 \approx 0.732$, что очевидно меньше $\sqrt{6} \approx 2.449$.

Для строгого доказательства сравним $\sqrt{3}$ и $\sqrt{6} + 1$. Обе части положительны, возведем в квадрат:

$(\sqrt{3})^2 = 3$.

$(\sqrt{6} + 1)^2 = 6 + 2\sqrt{6} + 1 = 7 + 2\sqrt{6}$.

Так как $3 < 7 + 2\sqrt{6}$, то и $\sqrt{3} < \sqrt{6} + 1$, следовательно $\sqrt{3} - 1 < \sqrt{6}$.

Значит, $4\sqrt{3} - 1 < 3\sqrt{3} + \sqrt{6}$, то есть $c < b$.

Оба условия выполнены, следовательно, промежутки имеют общие точки.

Ответ: Да, имеют.

3) Рассмотрим промежутки $[2; 2\sqrt{5} + 2\sqrt{6}]$ и $(3\sqrt{2} + \sqrt{22}; 11)$. Отрезок $[a; b]$ и интервал $(c; d)$ имеют общие точки, если $a < d$ и $c < b$.

Здесь $a = 2$, $b = 2\sqrt{5} + 2\sqrt{6}$, $c = 3\sqrt{2} + \sqrt{22}$, $d = 11$.

Условие $a < d$ выполняется: $2 < 11$.

Проверим условие $c < b$. Сравним $3\sqrt{2} + \sqrt{22}$ и $2\sqrt{5} + 2\sqrt{6}$.

Оба выражения положительны, поэтому мы можем сравнить их квадраты:

$c^2 = (3\sqrt{2} + \sqrt{22})^2 = (3\sqrt{2})^2 + 2 \cdot 3\sqrt{2} \cdot \sqrt{22} + (\sqrt{22})^2 = 18 + 6\sqrt{44} + 22 = 40 + 6\sqrt{4 \cdot 11} = 40 + 12\sqrt{11}$.

$b^2 = (2\sqrt{5} + 2\sqrt{6})^2 = (2\sqrt{5})^2 + 2 \cdot 2\sqrt{5} \cdot 2\sqrt{6} + (2\sqrt{6})^2 = 20 + 8\sqrt{30} + 24 = 44 + 8\sqrt{30}$.

Сравним $c^2 = 40 + 12\sqrt{11}$ и $b^2 = 44 + 8\sqrt{30}$.

Это эквивалентно сравнению $12\sqrt{11} - 8\sqrt{30}$ и $44 - 40 = 4$.

Или, что проще, рассмотрим выражения $b = \sqrt{20} + \sqrt{24}$ и $c = \sqrt{18} + \sqrt{22}$.

Рассмотрим функцию $f(x) = \sqrt{x}$. Она является вогнутой. Это означает, что для $x_1 < x_2 < x_3 < x_4$ с $x_2 - x_1 = x_4 - x_3$ выполняется $\sqrt{x_2} - \sqrt{x_1} > \sqrt{x_4} - \sqrt{x_3}$.

В нашем случае $18 < 20$ и $22 < 24$. Разность аргументов одинакова: $20-18=2$ и $24-22=2$.

$\sqrt{20} - \sqrt{18} > \sqrt{24} - \sqrt{22}$ (так как $\frac{2}{\sqrt{20}+\sqrt{18}} > \frac{2}{\sqrt{24}+\sqrt{22}}$).

Перегруппировав члены, получаем $\sqrt{20} + \sqrt{22} > \sqrt{18} + \sqrt{24}$. Это сравнение не помогает.

Вернемся к квадратам: $b^2 = 44 + 2\sqrt{480}$ и $c^2 = 40 + 2\sqrt{396}$.

Рассмотрим разность $b^2 - c^2 = (44 + 2\sqrt{480}) - (40 + 2\sqrt{396}) = 4 + 2(\sqrt{480} - \sqrt{396})$.

Так как $480 > 396$, то $\sqrt{480} > \sqrt{396}$, и разность $b^2 - c^2$ положительна. Следовательно, $b^2 > c^2$.

Поскольку $b$ и $c$ положительны, из $b^2 > c^2$ следует, что $b > c$.

Таким образом, $2\sqrt{5} + 2\sqrt{6} > 3\sqrt{2} + \sqrt{22}$. Условие $c < b$ выполняется.

Оба условия выполнены, следовательно, промежутки имеют общие точки.

Ответ: Да, имеют.

4) Рассмотрим промежутки $[1; 1+\sqrt{3}]$ и $(\frac{2}{\sqrt{3}-1}; 4)$.

Упростим левый конец второго промежутка, избавившись от иррациональности в знаменателе:

$\frac{2}{\sqrt{3}-1} = \frac{2(\sqrt{3}+1)}{(\sqrt{3}-1)(\sqrt{3}+1)} = \frac{2(\sqrt{3}+1)}{3-1} = \frac{2(\sqrt{3}+1)}{2} = \sqrt{3}+1$.

Таким образом, нам нужно сравнить промежутки $[1; 1+\sqrt{3}]$ и $(1+\sqrt{3}; 4)$.

Первый промежуток - это отрезок, который включает свои концы. Он содержит все числа $x$, для которых $1 \le x \le 1+\sqrt{3}$.

Второй промежуток - это интервал, который не включает свои концы. Он содержит все числа $y$, для которых $1+\sqrt{3} < y < 4$.

Точка $1+\sqrt{3}$ является правым концом первого промежутка и левым концом второго. Она принадлежит первому промежутку, но не принадлежит второму.

Общих точек у этих промежутков нет, так как для любой точки $z$ из первого промежутка $z \le 1+\sqrt{3}$, а для любой точки из второго $z > 1+\sqrt{3}$.

Формально, для пересечения отрезка $[a, b]$ и интервала $(c, d)$ необходимо выполнение условий $a < d$ и $c < b$.

Здесь $a = 1$, $b = 1+\sqrt{3}$, $c = 1+\sqrt{3}$, $d = 4$.

Условие $a < d$ ($1 < 4$) истинно.

Условие $c < b$ ($1+\sqrt{3} < 1+\sqrt{3}$) ложно.

Так как одно из условий не выполняется, промежутки не имеют общих точек.

Ответ: Нет, не имеют.

Помогло решение? Оставьте отзыв в комментариях ниже.

Присоединяйтесь к Телеграм-группе @top_gdz

Присоединиться

Мы подготовили для вас ответ c подробным объяснением домашего задания по алгебре за 10-11 класс, для упражнения номер 1263 расположенного на странице 403 к учебнику 2014 года издания для учащихся школ и гимназий.

Теперь на нашем сайте ГДЗ.ТОП вы всегда легко и бесплатно найдёте условие с правильным ответом на вопрос «Как решить ДЗ» и «Как сделать» задание по алгебре к упражнению №1263 (с. 403), авторов: Алимов (Шавкат Арифджанович), Колягин (Юрий Михайлович), Ткачева (Мария Владимировна), Федорова (Надежда Евгеньевна), Шабунин (Михаил Иванович), ФГОС (старый) базовый и углублённый уровень обучения учебного пособия издательства Просвещение.