Номер 1278, страница 405 - гдз по алгебре 10-11 класс учебник Алимов, Колягин

Алгебра, 10-11 класс Учебник, авторы: Алимов Шавкат Арифджанович, Колягин Юрий Михайлович, Ткачева Мария Владимировна, Федорова Надежда Евгеньевна, Шабунин Михаил Иванович, издательство Просвещение, Москва, 2014

Авторы: Алимов Ш. А., Колягин Ю. М., Ткачева М. В., Федорова Н. Е., Шабунин М. И.

Тип: Учебник

Издательство: Просвещение

Год издания: 2014 - 2026

Уровень обучения: базовый и углублённый

Цвет обложки: синий, фиолетовый

ISBN: 978-5-09-112136-0

Допущено Министерством просвещения Российской Федерации

Математика: алгебра и начала математического анализа, геометрия

Популярные ГДЗ в 10 классе

Упражнения для итогового повторения курса алгебры и начал математического анализа. 1. Числа и алгебраические преобразования - номер 1278, страница 405.

№1278 (с. 405)
Условие. №1278 (с. 405)
скриншот условия
Алгебра, 10-11 класс Учебник, авторы: Алимов Шавкат Арифджанович, Колягин Юрий Михайлович, Ткачева Мария Владимировна, Федорова Надежда Евгеньевна, Шабунин Михаил Иванович, издательство Просвещение, Москва, 2014, страница 405, номер 1278, Условие

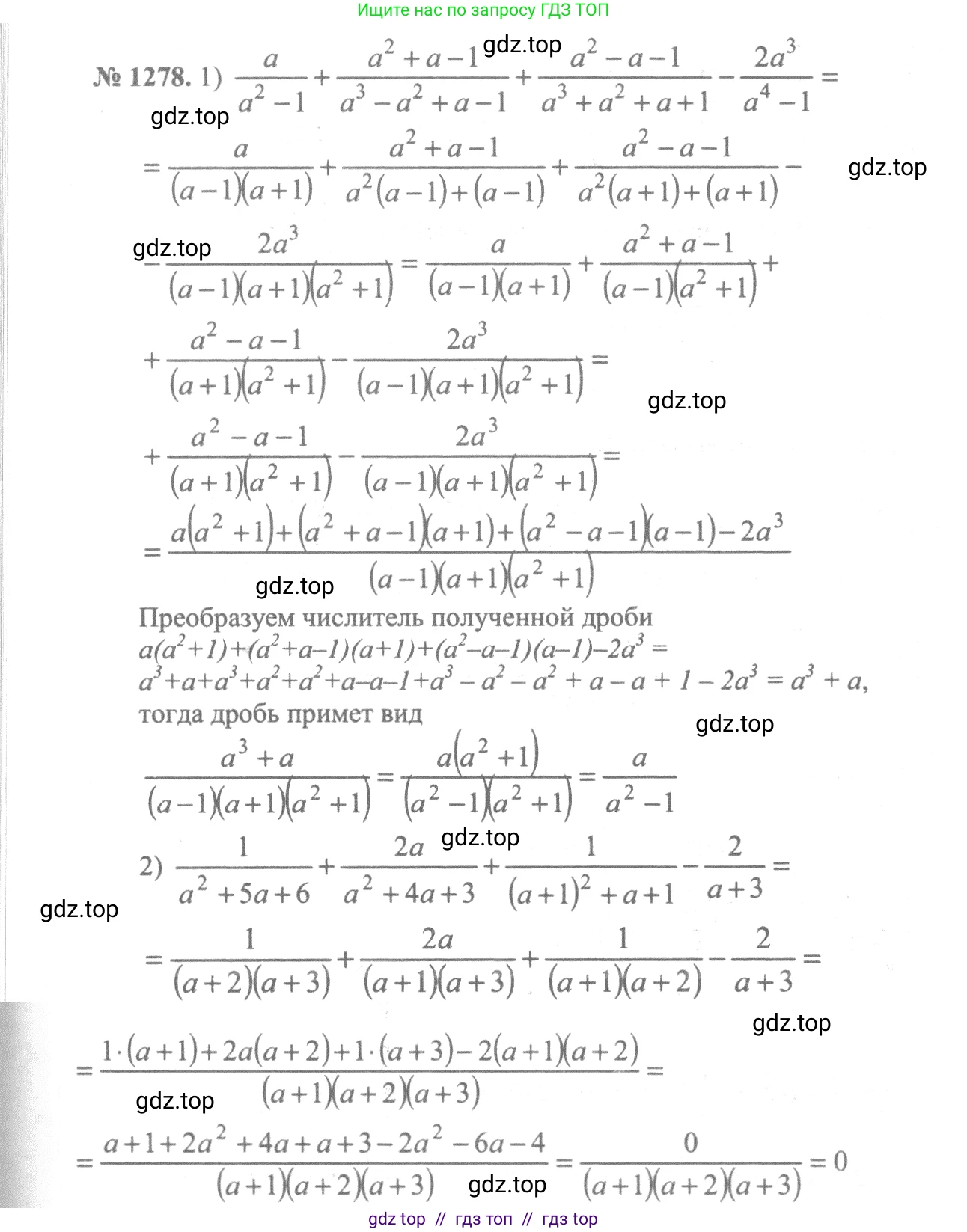
1278 1) $\frac{a}{a^2 - 1} + \frac{a^2 + a - 1}{a^3 - a^2 + a - 1} + \frac{a^2 - a - 1}{a^3 + a^2 + a + 1} - \frac{2a^3}{a^4 - 1}$;

2) $\frac{1}{a^2 + 5a + 6} + \frac{2a}{a^2 + 4a + 3} + \frac{1}{(a+1)^2 + a + 1} - \frac{2}{a+3}$.

Решение 1. №1278 (с. 405)
Алгебра, 10-11 класс Учебник, авторы: Алимов Шавкат Арифджанович, Колягин Юрий Михайлович, Ткачева Мария Владимировна, Федорова Надежда Евгеньевна, Шабунин Михаил Иванович, издательство Просвещение, Москва, 2014, страница 405, номер 1278, Решение 1
Алгебра, 10-11 класс Учебник, авторы: Алимов Шавкат Арифджанович, Колягин Юрий Михайлович, Ткачева Мария Владимировна, Федорова Надежда Евгеньевна, Шабунин Михаил Иванович, издательство Просвещение, Москва, 2014, страница 405, номер 1278, Решение 1 (продолжение 2)
Решение 2. №1278 (с. 405)
Алгебра, 10-11 класс Учебник, авторы: Алимов Шавкат Арифджанович, Колягин Юрий Михайлович, Ткачева Мария Владимировна, Федорова Надежда Евгеньевна, Шабунин Михаил Иванович, издательство Просвещение, Москва, 2014, страница 405, номер 1278, Решение 2
Решение 3. №1278 (с. 405)
Алгебра, 10-11 класс Учебник, авторы: Алимов Шавкат Арифджанович, Колягин Юрий Михайлович, Ткачева Мария Владимировна, Федорова Надежда Евгеньевна, Шабунин Михаил Иванович, издательство Просвещение, Москва, 2014, страница 405, номер 1278, Решение 3
Решение 5. №1278 (с. 405)
Алгебра, 10-11 класс Учебник, авторы: Алимов Шавкат Арифджанович, Колягин Юрий Михайлович, Ткачева Мария Владимировна, Федорова Надежда Евгеньевна, Шабунин Михаил Иванович, издательство Просвещение, Москва, 2014, страница 405, номер 1278, Решение 5
Решение 7. №1278 (с. 405)
Алгебра, 10-11 класс Учебник, авторы: Алимов Шавкат Арифджанович, Колягин Юрий Михайлович, Ткачева Мария Владимировна, Федорова Надежда Евгеньевна, Шабунин Михаил Иванович, издательство Просвещение, Москва, 2014, страница 405, номер 1278, Решение 7 Алгебра, 10-11 класс Учебник, авторы: Алимов Шавкат Арифджанович, Колягин Юрий Михайлович, Ткачева Мария Владимировна, Федорова Надежда Евгеньевна, Шабунин Михаил Иванович, издательство Просвещение, Москва, 2014, страница 405, номер 1278, Решение 7 (продолжение 2)
Решение 8. №1278 (с. 405)

1)

Упростим выражение $\frac{a}{a^2 - 1} + \frac{a^2 + a - 1}{a^3 - a^2 + a - 1} + \frac{a^2 - a - 1}{a^3 + a^2 + a + 1} - \frac{2a^3}{a^4 - 1}$.

Для начала разложим на множители знаменатели всех дробей.

1. $a^2 - 1 = (a - 1)(a + 1)$ (разность квадратов).

2. $a^3 - a^2 + a - 1 = a^2(a - 1) + (a - 1) = (a - 1)(a^2 + 1)$ (метод группировки).

3. $a^3 + a^2 + a + 1 = a^2(a + 1) + (a + 1) = (a + 1)(a^2 + 1)$ (метод группировки).

4. $a^4 - 1 = (a^2 - 1)(a^2 + 1) = (a - 1)(a + 1)(a^2 + 1)$ (разность квадратов).

Перепишем исходное выражение с разложенными знаменателями:

$\frac{a}{(a - 1)(a + 1)} + \frac{a^2 + a - 1}{(a - 1)(a^2 + 1)} + \frac{a^2 - a - 1}{(a + 1)(a^2 + 1)} - \frac{2a^3}{(a - 1)(a + 1)(a^2 + 1)}$

Заметим, что общий знаменатель для всех дробей равен $(a - 1)(a + 1)(a^2 + 1)$. Удобно сгруппировать второе и третье слагаемые и привести их к общему знаменателю:

$\frac{a^2 + a - 1}{(a - 1)(a^2 + 1)} + \frac{a^2 - a - 1}{(a + 1)(a^2 + 1)} = \frac{(a^2 + a - 1)(a + 1) + (a^2 - a - 1)(a - 1)}{(a - 1)(a + 1)(a^2 + 1)}$

Раскроем скобки в числителе:

$(a^2 + a - 1)(a + 1) = a^3 + a^2 + a^2 + a - a - 1 = a^3 + 2a^2 - 1$

$(a^2 - a - 1)(a - 1) = a^3 - a^2 - a^2 + a - a + 1 = a^3 - 2a^2 + 1$

Сложим полученные выражения в числителе:

$(a^3 + 2a^2 - 1) + (a^3 - 2a^2 + 1) = a^3 + 2a^2 - 1 + a^3 - 2a^2 + 1 = 2a^3$

Таким образом, сумма второго и третьего слагаемых равна $\frac{2a^3}{(a - 1)(a + 1)(a^2 + 1)} = \frac{2a^3}{a^4 - 1}$.

Теперь подставим это обратно в исходное выражение:

$\frac{a}{a^2 - 1} + \frac{2a^3}{a^4 - 1} - \frac{2a^3}{a^4 - 1}$

Последние два слагаемых взаимно уничтожаются, так как они равны по модулю и противоположны по знаку.

$\frac{a}{a^2 - 1} + 0 = \frac{a}{a^2 - 1}$

Ответ: $\frac{a}{a^2-1}$.

2)

Упростим выражение $\frac{1}{a^2 + 5a + 6} + \frac{2a}{a^2 + 4a + 3} + \frac{1}{(a + 1)^2 + a + 1} - \frac{2}{a + 3}$.

Разложим на множители знаменатели дробей.

1. $a^2 + 5a + 6$: Решим уравнение $a^2 + 5a + 6 = 0$. По теореме Виета, корни $a_1 = -2, a_2 = -3$. Значит, $a^2 + 5a + 6 = (a + 2)(a + 3)$.

2. $a^2 + 4a + 3$: Решим уравнение $a^2 + 4a + 3 = 0$. По теореме Виета, корни $a_1 = -1, a_2 = -3$. Значит, $a^2 + 4a + 3 = (a + 1)(a + 3)$.

3. $(a + 1)^2 + a + 1$: Вынесем общий множитель $(a+1)$ за скобки: $(a + 1)((a + 1) + 1) = (a + 1)(a + 2)$.

4. $a + 3$: Знаменатель уже в простейшем виде.

Перепишем выражение с разложенными на множители знаменателями:

$\frac{1}{(a + 2)(a + 3)} + \frac{2a}{(a + 1)(a + 3)} + \frac{1}{(a + 1)(a + 2)} - \frac{2}{a + 3}$

Общий знаменатель для всех дробей: $(a + 1)(a + 2)(a + 3)$. Приведем все дроби к этому знаменателю.

$\frac{1 \cdot (a + 1)}{(a + 1)(a + 2)(a + 3)} + \frac{2a \cdot (a + 2)}{(a + 1)(a + 2)(a + 3)} + \frac{1 \cdot (a + 3)}{(a + 1)(a + 2)(a + 3)} - \frac{2 \cdot (a + 1)(a + 2)}{(a + 1)(a + 2)(a + 3)}$

Запишем все под одной дробной чертой:

$\frac{(a + 1) + 2a(a + 2) + (a + 3) - 2(a + 1)(a + 2)}{(a + 1)(a + 2)(a + 3)}$

Раскроем скобки и упростим числитель:

$\frac{a + 1 + 2a^2 + 4a + a + 3 - 2(a^2 + 2a + a + 2)}{(a + 1)(a + 2)(a + 3)}$

$\frac{a + 1 + 2a^2 + 4a + a + 3 - 2(a^2 + 3a + 2)}{(a + 1)(a + 2)(a + 3)}$

$\frac{a + 1 + 2a^2 + 4a + a + 3 - 2a^2 - 6a - 4}{(a + 1)(a + 2)(a + 3)}$

Приведем подобные слагаемые в числителе:

$(2a^2 - 2a^2) + (a + 4a + a - 6a) + (1 + 3 - 4) = 0 + (6a - 6a) + (4 - 4) = 0$

Числитель равен нулю, следовательно, вся дробь равна нулю (при условии, что знаменатель не равен нулю).

$\frac{0}{(a + 1)(a + 2)(a + 3)} = 0$

Ответ: $0$.

Помогло решение? Оставьте отзыв в комментариях ниже.

Присоединяйтесь к Телеграм-группе @top_gdz

Присоединиться

Мы подготовили для вас ответ c подробным объяснением домашего задания по алгебре за 10-11 класс, для упражнения номер 1278 расположенного на странице 405 к учебнику 2014 года издания для учащихся школ и гимназий.

Теперь на нашем сайте ГДЗ.ТОП вы всегда легко и бесплатно найдёте условие с правильным ответом на вопрос «Как решить ДЗ» и «Как сделать» задание по алгебре к упражнению №1278 (с. 405), авторов: Алимов (Шавкат Арифджанович), Колягин (Юрий Михайлович), Ткачева (Мария Владимировна), Федорова (Надежда Евгеньевна), Шабунин (Михаил Иванович), ФГОС (старый) базовый и углублённый уровень обучения учебного пособия издательства Просвещение.