Номер 1285, страница 405 - гдз по алгебре 10-11 класс учебник Алимов, Колягин

Алгебра, 10-11 класс Учебник, авторы: Алимов Шавкат Арифджанович, Колягин Юрий Михайлович, Ткачева Мария Владимировна, Федорова Надежда Евгеньевна, Шабунин Михаил Иванович, издательство Просвещение, Москва, 2014

Авторы: Алимов Ш. А., Колягин Ю. М., Ткачева М. В., Федорова Н. Е., Шабунин М. И.

Тип: Учебник

Издательство: Просвещение

Год издания: 2014 - 2026

Уровень обучения: базовый и углублённый

Цвет обложки: синий, фиолетовый

ISBN: 978-5-09-112136-0

Допущено Министерством просвещения Российской Федерации

Математика: алгебра и начала математического анализа, геометрия

Упражнения для итогового повторения курса алгебры и начал математического анализа. 1. Числа и алгебраические преобразования - номер 1285, страница 405.

№1285 (с. 405)
Условие. №1285 (с. 405)
скриншот условия
Алгебра, 10-11 класс Учебник, авторы: Алимов Шавкат Арифджанович, Колягин Юрий Михайлович, Ткачева Мария Владимировна, Федорова Надежда Евгеньевна, Шабунин Михаил Иванович, издательство Просвещение, Москва, 2014, страница 405, номер 1285, Условие

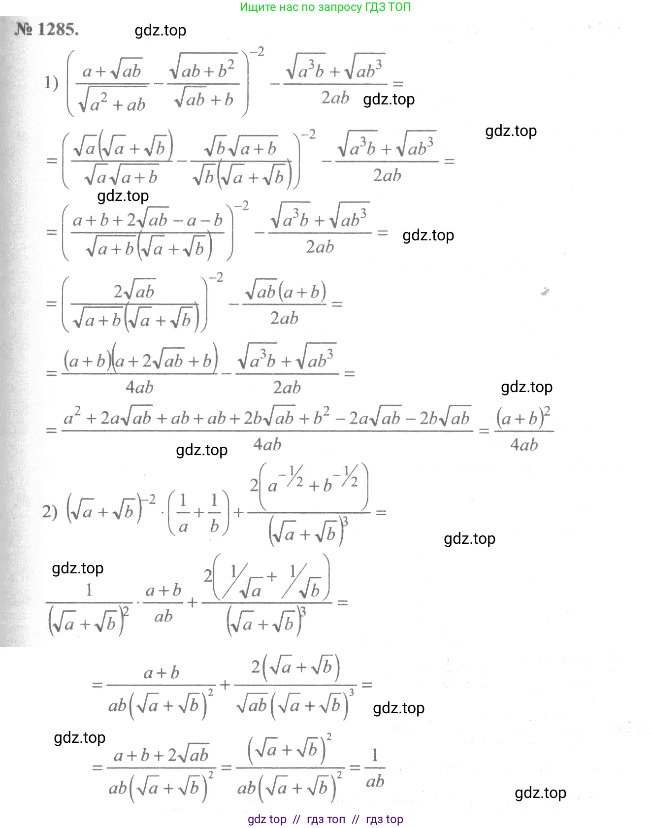
1285 1) $ \left( \frac{a + \sqrt{ab}}{\sqrt{a^2 + ab}} - \frac{\sqrt{ab + b^2}}{\sqrt{ab + b}} \right)^{-2} - \frac{\sqrt{a^3 b} + \sqrt{ab^3}}{2ab} ; $

2) $ (\sqrt{a} + \sqrt{b})^{-2} \cdot \left( \frac{1}{a} + \frac{1}{b} \right) + \frac{2 \left( a^{-\frac{1}{2}} + b^{-\frac{1}{2}} \right)}{(\sqrt{a} + \sqrt{b})^3} . $

Решение 1. №1285 (с. 405)
Алгебра, 10-11 класс Учебник, авторы: Алимов Шавкат Арифджанович, Колягин Юрий Михайлович, Ткачева Мария Владимировна, Федорова Надежда Евгеньевна, Шабунин Михаил Иванович, издательство Просвещение, Москва, 2014, страница 405, номер 1285, Решение 1
Алгебра, 10-11 класс Учебник, авторы: Алимов Шавкат Арифджанович, Колягин Юрий Михайлович, Ткачева Мария Владимировна, Федорова Надежда Евгеньевна, Шабунин Михаил Иванович, издательство Просвещение, Москва, 2014, страница 405, номер 1285, Решение 1 (продолжение 2)
Решение 2. №1285 (с. 405)
Алгебра, 10-11 класс Учебник, авторы: Алимов Шавкат Арифджанович, Колягин Юрий Михайлович, Ткачева Мария Владимировна, Федорова Надежда Евгеньевна, Шабунин Михаил Иванович, издательство Просвещение, Москва, 2014, страница 405, номер 1285, Решение 2
Решение 3. №1285 (с. 405)
Алгебра, 10-11 класс Учебник, авторы: Алимов Шавкат Арифджанович, Колягин Юрий Михайлович, Ткачева Мария Владимировна, Федорова Надежда Евгеньевна, Шабунин Михаил Иванович, издательство Просвещение, Москва, 2014, страница 405, номер 1285, Решение 3
Решение 5. №1285 (с. 405)
Алгебра, 10-11 класс Учебник, авторы: Алимов Шавкат Арифджанович, Колягин Юрий Михайлович, Ткачева Мария Владимировна, Федорова Надежда Евгеньевна, Шабунин Михаил Иванович, издательство Просвещение, Москва, 2014, страница 405, номер 1285, Решение 5
Решение 7. №1285 (с. 405)
Алгебра, 10-11 класс Учебник, авторы: Алимов Шавкат Арифджанович, Колягин Юрий Михайлович, Ткачева Мария Владимировна, Федорова Надежда Евгеньевна, Шабунин Михаил Иванович, издательство Просвещение, Москва, 2014, страница 405, номер 1285, Решение 7 Алгебра, 10-11 класс Учебник, авторы: Алимов Шавкат Арифджанович, Колягин Юрий Михайлович, Ткачева Мария Владимировна, Федорова Надежда Евгеньевна, Шабунин Михаил Иванович, издательство Просвещение, Москва, 2014, страница 405, номер 1285, Решение 7 (продолжение 2)
Решение 8. №1285 (с. 405)

1)

Упростим выражение $\left( \frac{a + \sqrt{ab}}{\sqrt{a^2 + ab}} - \frac{\sqrt{ab + b^2}}{\sqrt{ab} + b} \right)^{-2} - \frac{\sqrt{a^3b} + \sqrt{ab^3}}{2ab}$. Область допустимых значений: $a > 0$, $b > 0$.

Выполним преобразования по шагам.

1. Упростим выражение в скобках. Для этого преобразуем каждую дробь:

Первая дробь: $\frac{a + \sqrt{ab}}{\sqrt{a^2 + ab}} = \frac{\sqrt{a}(\sqrt{a} + \sqrt{b})}{\sqrt{a(a+b)}} = \frac{\sqrt{a}(\sqrt{a} + \sqrt{b})}{\sqrt{a}\sqrt{a+b}} = \frac{\sqrt{a} + \sqrt{b}}{\sqrt{a+b}}$.

Вторая дробь: $\frac{\sqrt{ab + b^2}}{\sqrt{ab} + b} = \frac{\sqrt{b(a+b)}}{\sqrt{b}(\sqrt{a} + \sqrt{b})} = \frac{\sqrt{b}\sqrt{a+b}}{\sqrt{b}(\sqrt{a}+\sqrt{b})} = \frac{\sqrt{a+b}}{\sqrt{a}+\sqrt{b}}$.

Теперь найдем разность этих дробей, приведя их к общему знаменателю:

$\frac{\sqrt{a} + \sqrt{b}}{\sqrt{a+b}} - \frac{\sqrt{a+b}}{\sqrt{a} + \sqrt{b}} = \frac{(\sqrt{a} + \sqrt{b})^2 - (\sqrt{a+b})^2}{(\sqrt{a+b})(\sqrt{a} + \sqrt{b})} = \frac{(a + 2\sqrt{ab} + b) - (a+b)}{(\sqrt{a+b})(\sqrt{a} + \sqrt{b})} = \frac{2\sqrt{ab}}{(\sqrt{a+b})(\sqrt{a} + \sqrt{b})}$.

2. Возведем полученное выражение в степень -2. Это эквивалентно возведению в квадрат обратной дроби:

$\left( \frac{2\sqrt{ab}}{(\sqrt{a+b})(\sqrt{a} + \sqrt{b})} \right)^{-2} = \left( \frac{(\sqrt{a+b})(\sqrt{a} + \sqrt{b})}{2\sqrt{ab}} \right)^{2} = \frac{(\sqrt{a+b})^2(\sqrt{a} + \sqrt{b})^2}{(2\sqrt{ab})^2} = \frac{(a+b)(a + 2\sqrt{ab} + b)}{4ab}$.

3. Упростим вторую часть исходного выражения (вычитаемое):

$\frac{\sqrt{a^3b} + \sqrt{ab^3}}{2ab} = \frac{\sqrt{a^2 \cdot ab} + \sqrt{b^2 \cdot ab}}{2ab} = \frac{a\sqrt{ab} + b\sqrt{ab}}{2ab} = \frac{(a+b)\sqrt{ab}}{2ab}$.

4. Выполним вычитание, приведя дроби к общему знаменателю $4ab$:

$\frac{(a+b)(a + 2\sqrt{ab} + b)}{4ab} - \frac{(a+b)\sqrt{ab}}{2ab} = \frac{(a+b)(a + 2\sqrt{ab} + b)}{4ab} - \frac{2(a+b)\sqrt{ab}}{4ab}$

$= \frac{(a+b)(a + 2\sqrt{ab} + b) - 2(a+b)\sqrt{ab}}{4ab}$

Вынесем общий множитель $(a+b)$ в числителе:

$= \frac{(a+b)(a + 2\sqrt{ab} + b - 2\sqrt{ab})}{4ab} = \frac{(a+b)(a+b)}{4ab} = \frac{(a+b)^2}{4ab}$.

Ответ: $\frac{(a+b)^2}{4ab}$.

2)

Упростим выражение $(\sqrt{a} + \sqrt{b})^{-2} \cdot \left( \frac{1}{a} + \frac{1}{b} \right) + \frac{2\left(a^{-\frac{1}{2}} + b^{-\frac{1}{2}}\right)}{(\sqrt{a} + \sqrt{b})^3}$. Область допустимых значений: $a > 0$, $b > 0$.

Разобьем решение на шаги.

1. Упростим первое слагаемое:

$(\sqrt{a} + \sqrt{b})^{-2} \cdot \left( \frac{1}{a} + \frac{1}{b} \right) = \frac{1}{(\sqrt{a} + \sqrt{b})^2} \cdot \left( \frac{b+a}{ab} \right) = \frac{a+b}{ab(\sqrt{a} + \sqrt{b})^2}$.

2. Упростим второе слагаемое. Сначала преобразуем его числитель:

$2\left(a^{-\frac{1}{2}} + b^{-\frac{1}{2}}\right) = 2\left(\frac{1}{\sqrt{a}} + \frac{1}{\sqrt{b}}\right) = 2\left(\frac{\sqrt{b} + \sqrt{a}}{\sqrt{ab}}\right) = \frac{2(\sqrt{a}+\sqrt{b})}{\sqrt{ab}}$.

Теперь подставим упрощенный числитель обратно в дробь:

$\frac{\frac{2(\sqrt{a}+\sqrt{b})}{\sqrt{ab}}}{(\sqrt{a} + \sqrt{b})^3} = \frac{2(\sqrt{a}+\sqrt{b})}{\sqrt{ab}(\sqrt{a} + \sqrt{b})^3} = \frac{2}{\sqrt{ab}(\sqrt{a} + \sqrt{b})^2}$.

3. Сложим полученные выражения. Для этого приведем вторую дробь к общему знаменателю $ab(\sqrt{a} + \sqrt{b})^2$, домножив ее числитель и знаменатель на $\sqrt{ab}$:

$\frac{a+b}{ab(\sqrt{a} + \sqrt{b})^2} + \frac{2}{\sqrt{ab}(\sqrt{a} + \sqrt{b})^2} = \frac{a+b}{ab(\sqrt{a} + \sqrt{b})^2} + \frac{2\sqrt{ab}}{ab(\sqrt{a} + \sqrt{b})^2}$

$= \frac{a+b+2\sqrt{ab}}{ab(\sqrt{a} + \sqrt{b})^2}$.

Заметим, что числитель является формулой квадрата суммы: $a+2\sqrt{ab}+b = (\sqrt{a}+\sqrt{b})^2$.

Подставим это в выражение и сократим дробь:

$\frac{(\sqrt{a}+\sqrt{b})^2}{ab(\sqrt{a} + \sqrt{b})^2} = \frac{1}{ab}$.

Ответ: $\frac{1}{ab}$.

Помогло решение? Оставьте отзыв в комментариях ниже.

Присоединяйтесь к Телеграм-группе @top_gdz

Присоединиться

Мы подготовили для вас ответ c подробным объяснением домашего задания по алгебре за 10-11 класс, для упражнения номер 1285 расположенного на странице 405 к учебнику 2014 года издания для учащихся школ и гимназий.

Теперь на нашем сайте ГДЗ.ТОП вы всегда легко и бесплатно найдёте условие с правильным ответом на вопрос «Как решить ДЗ» и «Как сделать» задание по алгебре к упражнению №1285 (с. 405), авторов: Алимов (Шавкат Арифджанович), Колягин (Юрий Михайлович), Ткачева (Мария Владимировна), Федорова (Надежда Евгеньевна), Шабунин (Михаил Иванович), ФГОС (старый) базовый и углублённый уровень обучения учебного пособия издательства Просвещение.