Номер 1294, страница 406 - гдз по алгебре 10-11 класс учебник Алимов, Колягин

Алгебра, 10-11 класс Учебник, авторы: Алимов Шавкат Арифджанович, Колягин Юрий Михайлович, Ткачева Мария Владимировна, Федорова Надежда Евгеньевна, Шабунин Михаил Иванович, издательство Просвещение, Москва, 2014

Авторы: Алимов Ш. А., Колягин Ю. М., Ткачева М. В., Федорова Н. Е., Шабунин М. И.

Тип: Учебник

Издательство: Просвещение

Год издания: 2014 - 2025

Уровень обучения: базовый и углублённый

Цвет обложки: синий, фиолетовый

ISBN: 978-5-09-112136-0

Допущено Министерством просвещения Российской Федерации

Математика: алгебра и начала математического анализа, геометрия

Популярные ГДЗ в 10 классе

Упражнения для итогового повторения курса алгебры и начал математического анализа. 1. Числа и алгебраические преобразования - номер 1294, страница 406.

№1294 (с. 406)
Условие. №1294 (с. 406)
скриншот условия
Алгебра, 10-11 класс Учебник, авторы: Алимов Шавкат Арифджанович, Колягин Юрий Михайлович, Ткачева Мария Владимировна, Федорова Надежда Евгеньевна, Шабунин Михаил Иванович, издательство Просвещение, Москва, 2014, страница 406, номер 1294, Условие

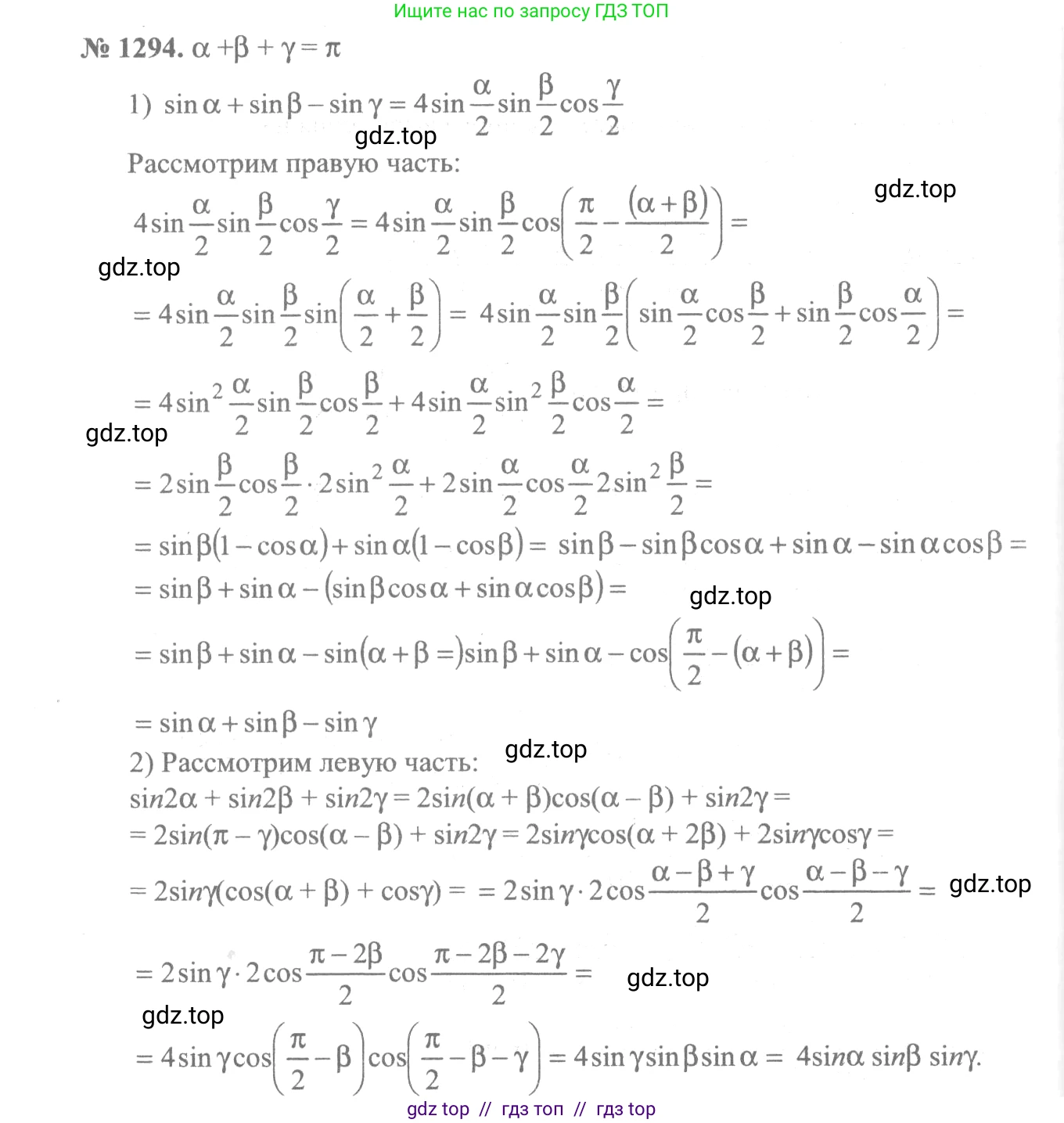
1294 Доказать, что если $\alpha + \beta + \gamma = \pi$, то:

1) $\sin \alpha + \sin \beta - \sin \gamma = 4 \sin \frac{\alpha}{2} \sin \frac{\beta}{2} \cos \frac{\gamma}{2}$;

2) $\sin 2\alpha + \sin 2\beta + \sin 2\gamma = 4 \sin \alpha \sin \beta \sin \gamma$.

Решение 1. №1294 (с. 406)
Алгебра, 10-11 класс Учебник, авторы: Алимов Шавкат Арифджанович, Колягин Юрий Михайлович, Ткачева Мария Владимировна, Федорова Надежда Евгеньевна, Шабунин Михаил Иванович, издательство Просвещение, Москва, 2014, страница 406, номер 1294, Решение 1
Алгебра, 10-11 класс Учебник, авторы: Алимов Шавкат Арифджанович, Колягин Юрий Михайлович, Ткачева Мария Владимировна, Федорова Надежда Евгеньевна, Шабунин Михаил Иванович, издательство Просвещение, Москва, 2014, страница 406, номер 1294, Решение 1 (продолжение 2)
Решение 2. №1294 (с. 406)
Алгебра, 10-11 класс Учебник, авторы: Алимов Шавкат Арифджанович, Колягин Юрий Михайлович, Ткачева Мария Владимировна, Федорова Надежда Евгеньевна, Шабунин Михаил Иванович, издательство Просвещение, Москва, 2014, страница 406, номер 1294, Решение 2
Решение 3. №1294 (с. 406)
Алгебра, 10-11 класс Учебник, авторы: Алимов Шавкат Арифджанович, Колягин Юрий Михайлович, Ткачева Мария Владимировна, Федорова Надежда Евгеньевна, Шабунин Михаил Иванович, издательство Просвещение, Москва, 2014, страница 406, номер 1294, Решение 3
Решение 5. №1294 (с. 406)
Алгебра, 10-11 класс Учебник, авторы: Алимов Шавкат Арифджанович, Колягин Юрий Михайлович, Ткачева Мария Владимировна, Федорова Надежда Евгеньевна, Шабунин Михаил Иванович, издательство Просвещение, Москва, 2014, страница 406, номер 1294, Решение 5
Решение 7. №1294 (с. 406)
Алгебра, 10-11 класс Учебник, авторы: Алимов Шавкат Арифджанович, Колягин Юрий Михайлович, Ткачева Мария Владимировна, Федорова Надежда Евгеньевна, Шабунин Михаил Иванович, издательство Просвещение, Москва, 2014, страница 406, номер 1294, Решение 7 Алгебра, 10-11 класс Учебник, авторы: Алимов Шавкат Арифджанович, Колягин Юрий Михайлович, Ткачева Мария Владимировна, Федорова Надежда Евгеньевна, Шабунин Михаил Иванович, издательство Просвещение, Москва, 2014, страница 406, номер 1294, Решение 7 (продолжение 2)
Решение 8. №1294 (с. 406)

1) Докажем тождество $ \sin \alpha + \sin \beta - \sin \gamma = 4 \sin \frac{\alpha}{2} \sin \frac{\beta}{2} \cos \frac{\gamma}{2} $ при условии $ \alpha + \beta + \gamma = \pi $.

Преобразуем левую часть равенства. Сгруппируем первые два слагаемых и применим формулу суммы синусов:

$ \sin \alpha + \sin \beta = 2 \sin \frac{\alpha+\beta}{2} \cos \frac{\alpha-\beta}{2} $

Получаем:

$ (\sin \alpha + \sin \beta) - \sin \gamma = 2 \sin \frac{\alpha+\beta}{2} \cos \frac{\alpha-\beta}{2} - \sin \gamma $

Из условия $ \alpha + \beta + \gamma = \pi $ следует, что $ \alpha + \beta = \pi - \gamma $, а значит $ \frac{\alpha+\beta}{2} = \frac{\pi - \gamma}{2} = \frac{\pi}{2} - \frac{\gamma}{2} $.

Используя формулу приведения $ \sin(\frac{\pi}{2} - x) = \cos x $, получаем:

$ \sin \frac{\alpha+\beta}{2} = \sin(\frac{\pi}{2} - \frac{\gamma}{2}) = \cos \frac{\gamma}{2} $

Подставим это в наше выражение. Также применим формулу синуса двойного угла для $ \sin \gamma = 2 \sin \frac{\gamma}{2} \cos \frac{\gamma}{2} $:

$ 2 \cos \frac{\gamma}{2} \cos \frac{\alpha-\beta}{2} - 2 \sin \frac{\gamma}{2} \cos \frac{\gamma}{2} $

Вынесем общий множитель $ 2 \cos \frac{\gamma}{2} $ за скобки:

$ 2 \cos \frac{\gamma}{2} \left( \cos \frac{\alpha-\beta}{2} - \sin \frac{\gamma}{2} \right) $

Теперь преобразуем $ \sin \frac{\gamma}{2} $. Из условия $ \alpha + \beta + \gamma = \pi $ следует, что $ \gamma = \pi - (\alpha + \beta) $, а значит $ \frac{\gamma}{2} = \frac{\pi}{2} - \frac{\alpha+\beta}{2} $.

Используя формулу приведения $ \sin(\frac{\pi}{2} - x) = \cos x $, получаем:

$ \sin \frac{\gamma}{2} = \sin(\frac{\pi}{2} - \frac{\alpha+\beta}{2}) = \cos \frac{\alpha+\beta}{2} $

Подставим это в выражение в скобках:

$ 2 \cos \frac{\gamma}{2} \left( \cos \frac{\alpha-\beta}{2} - \cos \frac{\alpha+\beta}{2} \right) $

Применим формулу разности косинусов $ \cos A - \cos B = -2 \sin \frac{A+B}{2} \sin \frac{A-B}{2} $:

$ \cos \frac{\alpha-\beta}{2} - \cos \frac{\alpha+\beta}{2} = -2 \sin \frac{\frac{\alpha-\beta}{2} + \frac{\alpha+\beta}{2}}{2} \sin \frac{\frac{\alpha-\beta}{2} - \frac{\alpha+\beta}{2}}{2} = -2 \sin \frac{\alpha}{2} \sin(-\frac{\beta}{2}) $

Так как $ \sin(-x) = -\sin x $, то:

$ -2 \sin \frac{\alpha}{2} (-\sin \frac{\beta}{2}) = 2 \sin \frac{\alpha}{2} \sin \frac{\beta}{2} $

Подставим результат обратно в наше основное выражение:

$ 2 \cos \frac{\gamma}{2} \left( 2 \sin \frac{\alpha}{2} \sin \frac{\beta}{2} \right) = 4 \sin \frac{\alpha}{2} \sin \frac{\beta}{2} \cos \frac{\gamma}{2} $

Левая часть равна правой, что и требовалось доказать.

Ответ: Тождество доказано.

2) Докажем тождество $ \sin 2\alpha + \sin 2\beta + \sin 2\gamma = 4 \sin \alpha \sin \beta \sin \gamma $ при условии $ \alpha + \beta + \gamma = \pi $.

Преобразуем левую часть равенства. Применим формулу суммы синусов для первых двух слагаемых:

$ \sin 2\alpha + \sin 2\beta = 2 \sin \frac{2\alpha+2\beta}{2} \cos \frac{2\alpha-2\beta}{2} = 2 \sin(\alpha+\beta) \cos(\alpha-\beta) $

Получаем:

$ (\sin 2\alpha + \sin 2\beta) + \sin 2\gamma = 2 \sin(\alpha+\beta) \cos(\alpha-\beta) + \sin 2\gamma $

Из условия $ \alpha + \beta + \gamma = \pi $ следует, что $ \alpha + \beta = \pi - \gamma $.

Используя формулу приведения $ \sin(\pi - x) = \sin x $, получаем:

$ \sin(\alpha+\beta) = \sin(\pi - \gamma) = \sin \gamma $

Подставим это в наше выражение. Также применим формулу синуса двойного угла для $ \sin 2\gamma = 2 \sin \gamma \cos \gamma $:

$ 2 \sin \gamma \cos(\alpha-\beta) + 2 \sin \gamma \cos \gamma $

Вынесем общий множитель $ 2 \sin \gamma $ за скобки:

$ 2 \sin \gamma (\cos(\alpha-\beta) + \cos \gamma) $

Теперь преобразуем $ \cos \gamma $. Из условия $ \alpha + \beta + \gamma = \pi $ следует, что $ \gamma = \pi - (\alpha + \beta) $.

Используя формулу приведения $ \cos(\pi - x) = -\cos x $, получаем:

$ \cos \gamma = \cos(\pi - (\alpha+\beta)) = -\cos(\alpha+\beta) $

Подставим это в выражение в скобках:

$ 2 \sin \gamma (\cos(\alpha-\beta) - \cos(\alpha+\beta)) $

Применим формулу разности косинусов $ \cos A - \cos B = -2 \sin \frac{A+B}{2} \sin \frac{A-B}{2} $:

$ \cos(\alpha-\beta) - \cos(\alpha+\beta) = -2 \sin \frac{(\alpha-\beta)+(\alpha+\beta)}{2} \sin \frac{(\alpha-\beta)-(\alpha+\beta)}{2} = -2 \sin \alpha \sin(-\beta) $

Так как $ \sin(-\beta) = -\sin \beta $, то:

$ -2 \sin \alpha (-\sin \beta) = 2 \sin \alpha \sin \beta $

Подставим результат обратно в наше основное выражение:

$ 2 \sin \gamma (2 \sin \alpha \sin \beta) = 4 \sin \alpha \sin \beta \sin \gamma $

Левая часть равна правой, что и требовалось доказать.

Ответ: Тождество доказано.

Помогло решение? Оставьте отзыв в комментариях ниже.

Присоединяйтесь к Телеграм-группе @top_gdz

Присоединиться

Мы подготовили для вас ответ c подробным объяснением домашего задания по алгебре за 10-11 класс, для упражнения номер 1294 расположенного на странице 406 к учебнику 2014 года издания для учащихся школ и гимназий.

Теперь на нашем сайте ГДЗ.ТОП вы всегда легко и бесплатно найдёте условие с правильным ответом на вопрос «Как решить ДЗ» и «Как сделать» задание по алгебре к упражнению №1294 (с. 406), авторов: Алимов (Шавкат Арифджанович), Колягин (Юрий Михайлович), Ткачева (Мария Владимировна), Федорова (Надежда Евгеньевна), Шабунин (Михаил Иванович), ФГОС (старый) базовый и углублённый уровень обучения учебного пособия издательства Просвещение.