Номер 1355, страница 410 - гдз по алгебре 10-11 класс учебник Алимов, Колягин

Алгебра, 10-11 класс Учебник, авторы: Алимов Шавкат Арифджанович, Колягин Юрий Михайлович, Ткачева Мария Владимировна, Федорова Надежда Евгеньевна, Шабунин Михаил Иванович, издательство Просвещение, Москва, 2014

Авторы: Алимов Ш. А., Колягин Ю. М., Ткачева М. В., Федорова Н. Е., Шабунин М. И.

Тип: Учебник

Издательство: Просвещение

Год издания: 2014 - 2025

Уровень обучения: базовый и углублённый

Цвет обложки: синий, фиолетовый

ISBN: 978-5-09-112136-0

Допущено Министерством просвещения Российской Федерации

Математика: алгебра и начала математического анализа, геометрия

Популярные ГДЗ в 10 классе

Упражнения для итогового повторения курса алгебры и начал математического анализа. 2. Уравнения - номер 1355, страница 410.

№1355 (с. 410)
Условие. №1355 (с. 410)
скриншот условия
Алгебра, 10-11 класс Учебник, авторы: Алимов Шавкат Арифджанович, Колягин Юрий Михайлович, Ткачева Мария Владимировна, Федорова Надежда Евгеньевна, Шабунин Михаил Иванович, издательство Просвещение, Москва, 2014, страница 410, номер 1355, Условие

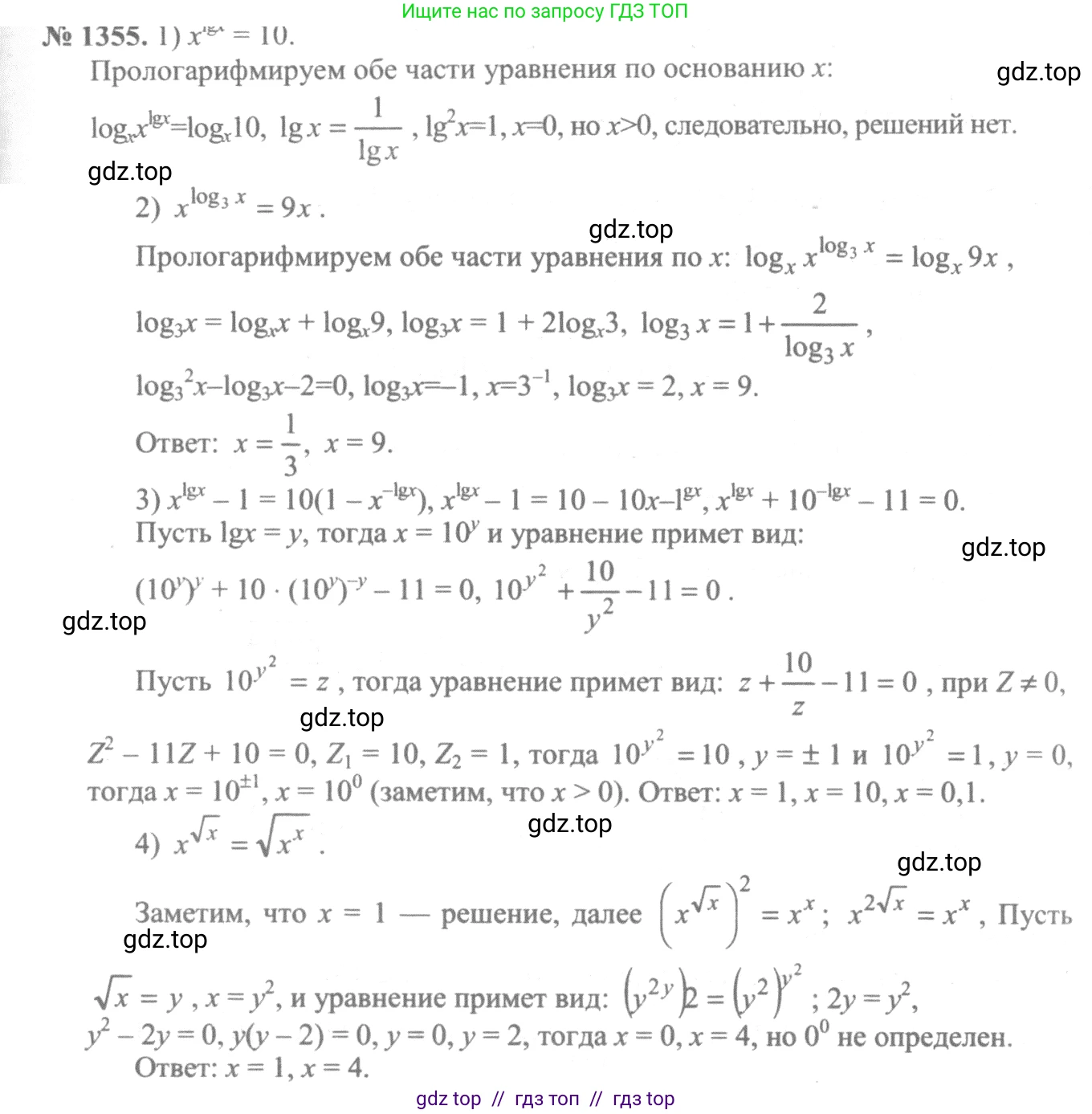
1355 1) $x^{\lg x} = 10;$

2) $x^{\log_3 x} = 9x;$

3) $x^{\lg x} - 1 = 10 (1 - x^{-\lg x});$

4) $x^{\sqrt{x}} = \sqrt{x^x}.$

Решение 1. №1355 (с. 410)
Алгебра, 10-11 класс Учебник, авторы: Алимов Шавкат Арифджанович, Колягин Юрий Михайлович, Ткачева Мария Владимировна, Федорова Надежда Евгеньевна, Шабунин Михаил Иванович, издательство Просвещение, Москва, 2014, страница 410, номер 1355, Решение 1
Алгебра, 10-11 класс Учебник, авторы: Алимов Шавкат Арифджанович, Колягин Юрий Михайлович, Ткачева Мария Владимировна, Федорова Надежда Евгеньевна, Шабунин Михаил Иванович, издательство Просвещение, Москва, 2014, страница 410, номер 1355, Решение 1 (продолжение 2)
Алгебра, 10-11 класс Учебник, авторы: Алимов Шавкат Арифджанович, Колягин Юрий Михайлович, Ткачева Мария Владимировна, Федорова Надежда Евгеньевна, Шабунин Михаил Иванович, издательство Просвещение, Москва, 2014, страница 410, номер 1355, Решение 1 (продолжение 3)
Алгебра, 10-11 класс Учебник, авторы: Алимов Шавкат Арифджанович, Колягин Юрий Михайлович, Ткачева Мария Владимировна, Федорова Надежда Евгеньевна, Шабунин Михаил Иванович, издательство Просвещение, Москва, 2014, страница 410, номер 1355, Решение 1 (продолжение 4)
Решение 2. №1355 (с. 410)
Алгебра, 10-11 класс Учебник, авторы: Алимов Шавкат Арифджанович, Колягин Юрий Михайлович, Ткачева Мария Владимировна, Федорова Надежда Евгеньевна, Шабунин Михаил Иванович, издательство Просвещение, Москва, 2014, страница 410, номер 1355, Решение 2
Алгебра, 10-11 класс Учебник, авторы: Алимов Шавкат Арифджанович, Колягин Юрий Михайлович, Ткачева Мария Владимировна, Федорова Надежда Евгеньевна, Шабунин Михаил Иванович, издательство Просвещение, Москва, 2014, страница 410, номер 1355, Решение 2 (продолжение 2)
Алгебра, 10-11 класс Учебник, авторы: Алимов Шавкат Арифджанович, Колягин Юрий Михайлович, Ткачева Мария Владимировна, Федорова Надежда Евгеньевна, Шабунин Михаил Иванович, издательство Просвещение, Москва, 2014, страница 410, номер 1355, Решение 2 (продолжение 3)
Решение 5. №1355 (с. 410)
Алгебра, 10-11 класс Учебник, авторы: Алимов Шавкат Арифджанович, Колягин Юрий Михайлович, Ткачева Мария Владимировна, Федорова Надежда Евгеньевна, Шабунин Михаил Иванович, издательство Просвещение, Москва, 2014, страница 410, номер 1355, Решение 5
Решение 7. №1355 (с. 410)
Алгебра, 10-11 класс Учебник, авторы: Алимов Шавкат Арифджанович, Колягин Юрий Михайлович, Ткачева Мария Владимировна, Федорова Надежда Евгеньевна, Шабунин Михаил Иванович, издательство Просвещение, Москва, 2014, страница 410, номер 1355, Решение 7
Алгебра, 10-11 класс Учебник, авторы: Алимов Шавкат Арифджанович, Колягин Юрий Михайлович, Ткачева Мария Владимировна, Федорова Надежда Евгеньевна, Шабунин Михаил Иванович, издательство Просвещение, Москва, 2014, страница 410, номер 1355, Решение 7 (продолжение 2) Алгебра, 10-11 класс Учебник, авторы: Алимов Шавкат Арифджанович, Колягин Юрий Михайлович, Ткачева Мария Владимировна, Федорова Надежда Евгеньевна, Шабунин Михаил Иванович, издательство Просвещение, Москва, 2014, страница 410, номер 1355, Решение 7 (продолжение 3)
Решение 8. №1355 (с. 410)

1) $x^{\lg x} = 10$

Область допустимых значений (ОДЗ): основание степени и аргумент логарифма должны быть положительными, следовательно, $x > 0$.

Прологарифмируем обе части уравнения по основанию 10:

$\lg(x^{\lg x}) = \lg(10)$

Используя свойство логарифма $\lg(a^b) = b \cdot \lg a$, получаем:

$(\lg x) \cdot (\lg x) = 1$

$(\lg x)^2 = 1$

Отсюда следует, что $\lg x$ может принимать два значения:

$\lg x = 1$ или $\lg x = -1$

Решаем каждое уравнение:

Если $\lg x = 1$, то $x_1 = 10^1 = 10$.

Если $\lg x = -1$, то $x_2 = 10^{-1} = 0.1$.

Оба корня удовлетворяют ОДЗ ($x > 0$).

Ответ: $10; 0.1$.

2) $x^{\log_3 x} = 9x$

ОДЗ: $x > 0$.

Прологарифмируем обе части уравнения по основанию 3:

$\log_3(x^{\log_3 x}) = \log_3(9x)$

Применяем свойства логарифмов $\log_a(b^c) = c \cdot \log_a b$ и $\log_a(bc) = \log_a b + \log_a c$:

$(\log_3 x) \cdot (\log_3 x) = \log_3 9 + \log_3 x$

$(\log_3 x)^2 = 2 + \log_3 x$

Сделаем замену переменной. Пусть $t = \log_3 x$. Уравнение примет вид:

$t^2 = 2 + t$

$t^2 - t - 2 = 0$

Решаем квадратное уравнение (например, по теореме Виета):

$t_1 = 2$, $t_2 = -1$.

Возвращаемся к исходной переменной:

1) $\log_3 x = 2 \implies x_1 = 3^2 = 9$.

2) $\log_3 x = -1 \implies x_2 = 3^{-1} = \frac{1}{3}$.

Оба корня удовлетворяют ОДЗ ($x > 0$).

Ответ: $9; \frac{1}{3}$.

3) $x^{\lg x} - 1 = 10(1 - x^{-\lg x})$

ОДЗ: $x > 0$.

Преобразуем уравнение, используя свойство $a^{-n} = \frac{1}{a^n}$:

$x^{\lg x} - 1 = 10(1 - \frac{1}{x^{\lg x}})$

$x^{\lg x} - 1 = 10 - \frac{10}{x^{\lg x}}$

Сделаем замену переменной. Пусть $y = x^{\lg x}$. Так как $x > 0$, то $y > 0$.

$y - 1 = 10 - \frac{10}{y}$

Умножим обе части на $y$ (так как $y \neq 0$):

$y^2 - y = 10y - 10$

$y^2 - 11y + 10 = 0$

Решаем квадратное уравнение:

$y_1 = 10$, $y_2 = 1$.

Выполняем обратную замену:

1) $x^{\lg x} = 10$. Это уравнение из пункта 1), его корни $x_1 = 10$ и $x_2 = 0.1$.

2) $x^{\lg x} = 1$. Прологарифмируем по основанию 10:

$\lg(x^{\lg x}) = \lg(1)$

$(\lg x)^2 = 0$

$\lg x = 0 \implies x_3 = 10^0 = 1$.

Все три корня удовлетворяют ОДЗ ($x > 0$).

Ответ: $10; 0.1; 1$.

4) $x^{\sqrt{x}} = \sqrt{x^x}$

ОДЗ: $x > 0$.

Преобразуем правую часть уравнения: $\sqrt{x^x} = (x^x)^{1/2} = x^{x/2}$.

Уравнение принимает вид:

$x^{\sqrt{x}} = x^{x/2}$

Равенство степеней с одинаковым основанием возможно в двух случаях:

Случай 1: Основание равно 1.

$x = 1$. Проверка: $1^{\sqrt{1}} = \sqrt{1^1} \implies 1 = 1$. Корень подходит.

Случай 2: Показатели степеней равны (при условии $x \neq 1$).

$\sqrt{x} = \frac{x}{2}$

Так как по ОДЗ $x > 0$, мы можем возвести обе части в квадрат:

$x = (\frac{x}{2})^2$

$x = \frac{x^2}{4}$

$4x = x^2$

$x^2 - 4x = 0$

$x(x-4) = 0$

Получаем два корня: $x=0$ и $x=4$. Корень $x=0$ не входит в ОДЗ. Остается $x=4$.

Проверка для $x=4$: $4^{\sqrt{4}} = 4^2 = 16$. Правая часть: $\sqrt{4^4} = \sqrt{256} = 16$. Равенство верно.

Ответ: $1; 4$.

Помогло решение? Оставьте отзыв в комментариях ниже.

Присоединяйтесь к Телеграм-группе @top_gdz

Присоединиться

Мы подготовили для вас ответ c подробным объяснением домашего задания по алгебре за 10-11 класс, для упражнения номер 1355 расположенного на странице 410 к учебнику 2014 года издания для учащихся школ и гимназий.

Теперь на нашем сайте ГДЗ.ТОП вы всегда легко и бесплатно найдёте условие с правильным ответом на вопрос «Как решить ДЗ» и «Как сделать» задание по алгебре к упражнению №1355 (с. 410), авторов: Алимов (Шавкат Арифджанович), Колягин (Юрий Михайлович), Ткачева (Мария Владимировна), Федорова (Надежда Евгеньевна), Шабунин (Михаил Иванович), ФГОС (старый) базовый и углублённый уровень обучения учебного пособия издательства Просвещение.