Номер 1357, страница 410 - гдз по алгебре 10-11 класс учебник Алимов, Колягин

Алгебра, 10-11 класс Учебник, авторы: Алимов Шавкат Арифджанович, Колягин Юрий Михайлович, Ткачева Мария Владимировна, Федорова Надежда Евгеньевна, Шабунин Михаил Иванович, издательство Просвещение, Москва, 2014

Авторы: Алимов Ш. А., Колягин Ю. М., Ткачева М. В., Федорова Н. Е., Шабунин М. И.

Тип: Учебник

Издательство: Просвещение

Год издания: 2014 - 2025

Уровень обучения: базовый и углублённый

Цвет обложки: синий, фиолетовый

ISBN: 978-5-09-112136-0

Допущено Министерством просвещения Российской Федерации

Математика: алгебра и начала математического анализа, геометрия

Популярные ГДЗ в 10 классе

Упражнения для итогового повторения курса алгебры и начал математического анализа. 2. Уравнения - номер 1357, страница 410.

№1357 (с. 410)
Условие. №1357 (с. 410)
скриншот условия
Алгебра, 10-11 класс Учебник, авторы: Алимов Шавкат Арифджанович, Колягин Юрий Михайлович, Ткачева Мария Владимировна, Федорова Надежда Евгеньевна, Шабунин Михаил Иванович, издательство Просвещение, Москва, 2014, страница 410, номер 1357, Условие

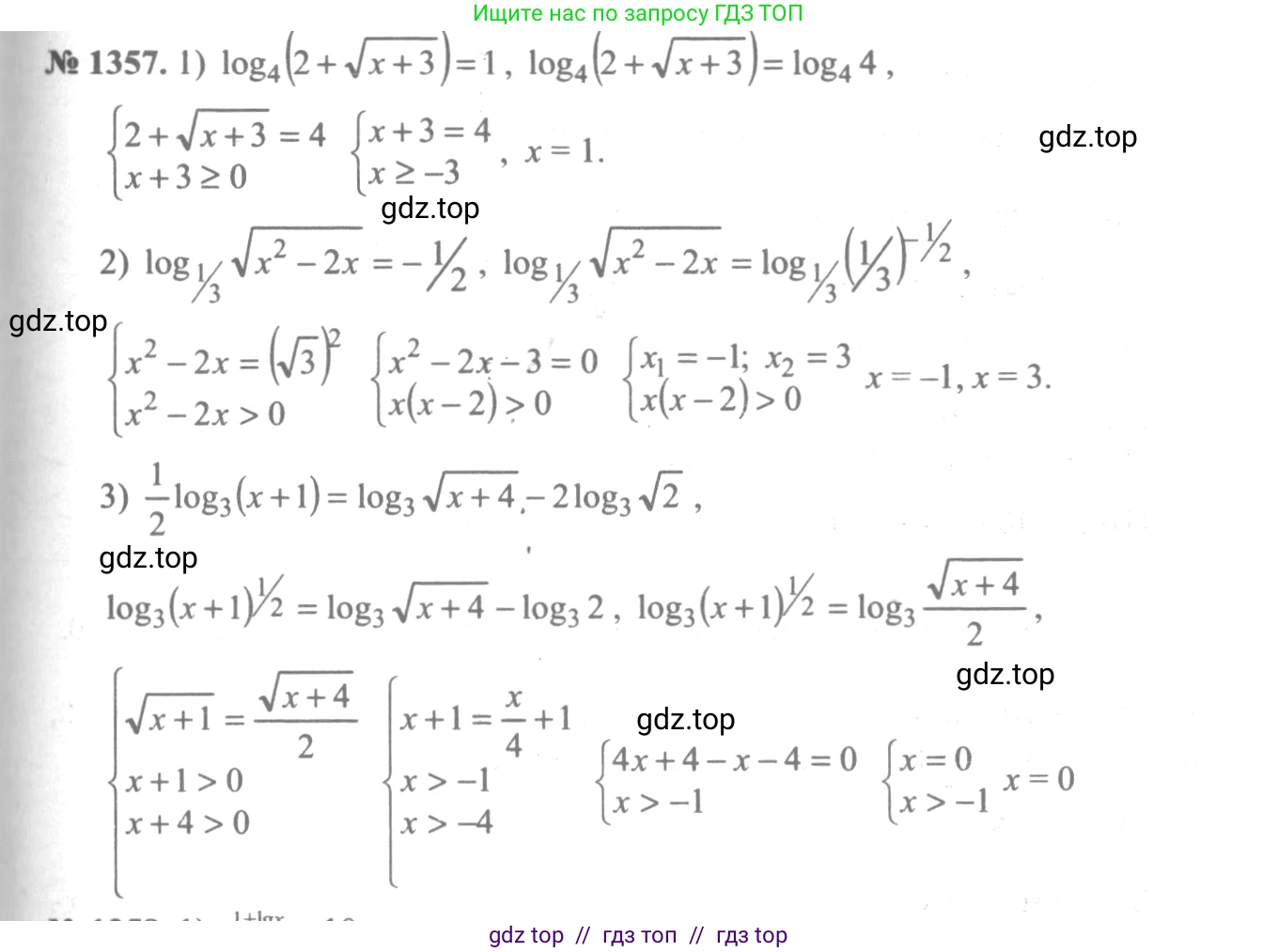
1357 1) $\log_4 (2 + \sqrt{x+3}) = 1$;

2) $\log_{\frac{1}{3}} \sqrt{x^2 - 2x} = -\frac{1}{2}$;

3) $\frac{1}{2} \log_3 (x+1) = \log_3 \sqrt{x+4} - 2 \log_3 \sqrt{2}$.

Решение 1. №1357 (с. 410)
Алгебра, 10-11 класс Учебник, авторы: Алимов Шавкат Арифджанович, Колягин Юрий Михайлович, Ткачева Мария Владимировна, Федорова Надежда Евгеньевна, Шабунин Михаил Иванович, издательство Просвещение, Москва, 2014, страница 410, номер 1357, Решение 1
Алгебра, 10-11 класс Учебник, авторы: Алимов Шавкат Арифджанович, Колягин Юрий Михайлович, Ткачева Мария Владимировна, Федорова Надежда Евгеньевна, Шабунин Михаил Иванович, издательство Просвещение, Москва, 2014, страница 410, номер 1357, Решение 1 (продолжение 2)
Решение 2. №1357 (с. 410)
Алгебра, 10-11 класс Учебник, авторы: Алимов Шавкат Арифджанович, Колягин Юрий Михайлович, Ткачева Мария Владимировна, Федорова Надежда Евгеньевна, Шабунин Михаил Иванович, издательство Просвещение, Москва, 2014, страница 410, номер 1357, Решение 2
Алгебра, 10-11 класс Учебник, авторы: Алимов Шавкат Арифджанович, Колягин Юрий Михайлович, Ткачева Мария Владимировна, Федорова Надежда Евгеньевна, Шабунин Михаил Иванович, издательство Просвещение, Москва, 2014, страница 410, номер 1357, Решение 2 (продолжение 2)
Решение 3. №1357 (с. 410)
Алгебра, 10-11 класс Учебник, авторы: Алимов Шавкат Арифджанович, Колягин Юрий Михайлович, Ткачева Мария Владимировна, Федорова Надежда Евгеньевна, Шабунин Михаил Иванович, издательство Просвещение, Москва, 2014, страница 410, номер 1357, Решение 3
Решение 5. №1357 (с. 410)
Алгебра, 10-11 класс Учебник, авторы: Алимов Шавкат Арифджанович, Колягин Юрий Михайлович, Ткачева Мария Владимировна, Федорова Надежда Евгеньевна, Шабунин Михаил Иванович, издательство Просвещение, Москва, 2014, страница 410, номер 1357, Решение 5
Решение 7. №1357 (с. 410)
Алгебра, 10-11 класс Учебник, авторы: Алимов Шавкат Арифджанович, Колягин Юрий Михайлович, Ткачева Мария Владимировна, Федорова Надежда Евгеньевна, Шабунин Михаил Иванович, издательство Просвещение, Москва, 2014, страница 410, номер 1357, Решение 7
Решение 8. №1357 (с. 410)

1)

Дано логарифмическое уравнение $ \log_4(2 + \sqrt{x + 3}) = 1 $.

Сначала определим область допустимых значений (ОДЗ). Аргумент логарифма должен быть положителен, а выражение под корнем — неотрицательно.

1. Условие для аргумента логарифма: $ 2 + \sqrt{x + 3} > 0 $. Поскольку $ \sqrt{x + 3} \ge 0 $, то $ 2 + \sqrt{x + 3} \ge 2 $. Это неравенство выполняется всегда, когда определен корень.

2. Условие для подкоренного выражения: $ x + 3 \ge 0 $, откуда $ x \ge -3 $.

Таким образом, ОДЗ уравнения: $ x \ge -3 $.

Теперь решим уравнение, используя определение логарифма $ \log_a(b) = c \Leftrightarrow a^c = b $:

$ 2 + \sqrt{x + 3} = 4^1 $

$ 2 + \sqrt{x + 3} = 4 $

Выразим корень:

$ \sqrt{x + 3} = 4 - 2 $

$ \sqrt{x + 3} = 2 $

Возведем обе части уравнения в квадрат, чтобы избавиться от корня:

$ (\sqrt{x + 3})^2 = 2^2 $

$ x + 3 = 4 $

$ x = 4 - 3 $

$ x = 1 $

Проверим, принадлежит ли найденный корень ОДЗ. Условие $ 1 \ge -3 $ выполняется. Следовательно, корень является решением уравнения.

Ответ: $ 1 $

2)

Дано логарифмическое уравнение $ \log_{\frac{1}{3}}\sqrt{x^2 - 2x} = -\frac{1}{2} $.

Найдем ОДЗ. Аргумент логарифма должен быть строго положителен:

$ \sqrt{x^2 - 2x} > 0 $

Это означает, что подкоренное выражение также должно быть строго положительным:

$ x^2 - 2x > 0 $

$ x(x - 2) > 0 $

Решая это неравенство методом интервалов, находим, что оно выполняется при $ x \in (-\infty, 0) \cup (2, +\infty) $. Это и есть ОДЗ.

Решим уравнение по определению логарифма:

$ \sqrt{x^2 - 2x} = \left(\frac{1}{3}\right)^{-\frac{1}{2}} $

Преобразуем правую часть: $ \left(\frac{1}{3}\right)^{-\frac{1}{2}} = (3^{-1})^{-\frac{1}{2}} = 3^{\frac{1}{2}} = \sqrt{3} $.

Получаем уравнение:

$ \sqrt{x^2 - 2x} = \sqrt{3} $

Возведем обе части в квадрат:

$ x^2 - 2x = 3 $

$ x^2 - 2x - 3 = 0 $

Это квадратное уравнение. Найдем его корни, например, по теореме Виета:

$ x_1 + x_2 = 2 $

$ x_1 \cdot x_2 = -3 $

Отсюда находим корни: $ x_1 = 3 $ и $ x_2 = -1 $.

Проверим, соответствуют ли корни ОДЗ ($ x < 0 $ или $ x > 2 $):

Корень $ x_1 = 3 $ удовлетворяет условию $ x > 2 $.

Корень $ x_2 = -1 $ удовлетворяет условию $ x < 0 $.

Оба корня подходят.

Ответ: $ -1; 3 $

3)

Дано уравнение $ \frac{1}{2}\log_3(x + 1) = \log_3\sqrt{x + 4} - 2\log_3\sqrt{2} $.

Найдем ОДЗ. Аргументы всех логарифмов должны быть положительны:

1. $ x + 1 > 0 \Rightarrow x > -1 $

2. $ \sqrt{x + 4} > 0 \Rightarrow x + 4 > 0 \Rightarrow x > -4 $

3. $ \sqrt{2} > 0 $ (верно всегда).

Объединяя условия, получаем ОДЗ: $ x > -1 $.

Преобразуем уравнение, используя свойства логарифмов $ n\log_a b = \log_a b^n $ и $ \log_a b - \log_a c = \log_a\left(\frac{b}{c}\right) $.

Преобразуем левую часть:

$ \frac{1}{2}\log_3(x + 1) = \log_3((x + 1)^{\frac{1}{2}}) = \log_3\sqrt{x + 1} $

Преобразуем правую часть:

$ \log_3\sqrt{x + 4} - 2\log_3\sqrt{2} = \log_3\sqrt{x + 4} - \log_3\left((\sqrt{2})^2\right) = \log_3\sqrt{x + 4} - \log_3 2 = \log_3\left(\frac{\sqrt{x + 4}}{2}\right) $

Теперь уравнение имеет вид:

$ \log_3\sqrt{x + 1} = \log_3\left(\frac{\sqrt{x + 4}}{2}\right) $

Так как основания логарифмов одинаковы, приравниваем их аргументы:

$ \sqrt{x + 1} = \frac{\sqrt{x + 4}}{2} $

Возведем обе части в квадрат:

$ x + 1 = \frac{x + 4}{4} $

Умножим обе части на 4:

$ 4(x + 1) = x + 4 $

$ 4x + 4 = x + 4 $

$ 3x = 0 $

$ x = 0 $

Проверим корень на соответствие ОДЗ ($ x > -1 $). Условие $ 0 > -1 $ выполняется.

Ответ: $ 0 $

Помогло решение? Оставьте отзыв в комментариях ниже.

Присоединяйтесь к Телеграм-группе @top_gdz

Присоединиться

Мы подготовили для вас ответ c подробным объяснением домашего задания по алгебре за 10-11 класс, для упражнения номер 1357 расположенного на странице 410 к учебнику 2014 года издания для учащихся школ и гимназий.

Теперь на нашем сайте ГДЗ.ТОП вы всегда легко и бесплатно найдёте условие с правильным ответом на вопрос «Как решить ДЗ» и «Как сделать» задание по алгебре к упражнению №1357 (с. 410), авторов: Алимов (Шавкат Арифджанович), Колягин (Юрий Михайлович), Ткачева (Мария Владимировна), Федорова (Надежда Евгеньевна), Шабунин (Михаил Иванович), ФГОС (старый) базовый и углублённый уровень обучения учебного пособия издательства Просвещение.