Номер 1366, страница 411 - гдз по алгебре 10-11 класс учебник Алимов, Колягин

Алгебра, 10-11 класс Учебник, авторы: Алимов Шавкат Арифджанович, Колягин Юрий Михайлович, Ткачева Мария Владимировна, Федорова Надежда Евгеньевна, Шабунин Михаил Иванович, издательство Просвещение, Москва, 2014

Авторы: Алимов Ш. А., Колягин Ю. М., Ткачева М. В., Федорова Н. Е., Шабунин М. И.

Тип: Учебник

Издательство: Просвещение

Год издания: 2014 - 2025

Уровень обучения: базовый и углублённый

Цвет обложки: синий, фиолетовый

ISBN: 978-5-09-112136-0

Допущено Министерством просвещения Российской Федерации

Математика: алгебра и начала математического анализа, геометрия

Популярные ГДЗ в 10 классе

Упражнения для итогового повторения курса алгебры и начал математического анализа. 2. Уравнения - номер 1366, страница 411.

№1366 (с. 411)
Условие. №1366 (с. 411)
скриншот условия
Алгебра, 10-11 класс Учебник, авторы: Алимов Шавкат Арифджанович, Колягин Юрий Михайлович, Ткачева Мария Владимировна, Федорова Надежда Евгеньевна, Шабунин Михаил Иванович, издательство Просвещение, Москва, 2014, страница 411, номер 1366, Условие

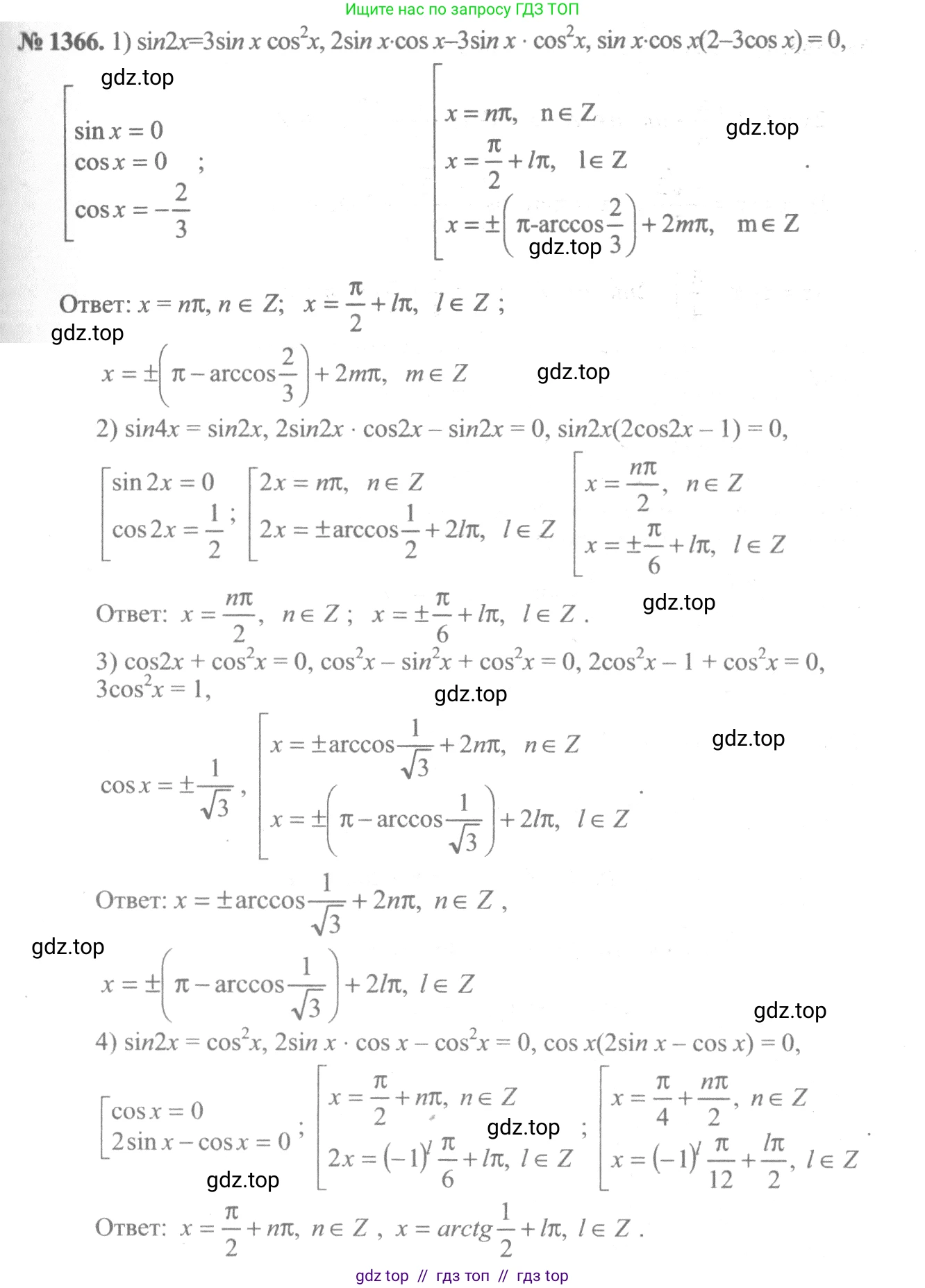
1366 1) $ \sin 2x = 3 \sin x \cos^2 x; $

2) $ \sin 4x = \sin 2x, $

3) $ \cos 2x + \cos^2 x = 0; $

4) $ \sin 2x = \cos^2 x. $

Решение 1. №1366 (с. 411)
Алгебра, 10-11 класс Учебник, авторы: Алимов Шавкат Арифджанович, Колягин Юрий Михайлович, Ткачева Мария Владимировна, Федорова Надежда Евгеньевна, Шабунин Михаил Иванович, издательство Просвещение, Москва, 2014, страница 411, номер 1366, Решение 1
Алгебра, 10-11 класс Учебник, авторы: Алимов Шавкат Арифджанович, Колягин Юрий Михайлович, Ткачева Мария Владимировна, Федорова Надежда Евгеньевна, Шабунин Михаил Иванович, издательство Просвещение, Москва, 2014, страница 411, номер 1366, Решение 1 (продолжение 2)
Алгебра, 10-11 класс Учебник, авторы: Алимов Шавкат Арифджанович, Колягин Юрий Михайлович, Ткачева Мария Владимировна, Федорова Надежда Евгеньевна, Шабунин Михаил Иванович, издательство Просвещение, Москва, 2014, страница 411, номер 1366, Решение 1 (продолжение 3)
Алгебра, 10-11 класс Учебник, авторы: Алимов Шавкат Арифджанович, Колягин Юрий Михайлович, Ткачева Мария Владимировна, Федорова Надежда Евгеньевна, Шабунин Михаил Иванович, издательство Просвещение, Москва, 2014, страница 411, номер 1366, Решение 1 (продолжение 4)
Решение 2. №1366 (с. 411)
Алгебра, 10-11 класс Учебник, авторы: Алимов Шавкат Арифджанович, Колягин Юрий Михайлович, Ткачева Мария Владимировна, Федорова Надежда Евгеньевна, Шабунин Михаил Иванович, издательство Просвещение, Москва, 2014, страница 411, номер 1366, Решение 2
Алгебра, 10-11 класс Учебник, авторы: Алимов Шавкат Арифджанович, Колягин Юрий Михайлович, Ткачева Мария Владимировна, Федорова Надежда Евгеньевна, Шабунин Михаил Иванович, издательство Просвещение, Москва, 2014, страница 411, номер 1366, Решение 2 (продолжение 2)
Решение 5. №1366 (с. 411)
Алгебра, 10-11 класс Учебник, авторы: Алимов Шавкат Арифджанович, Колягин Юрий Михайлович, Ткачева Мария Владимировна, Федорова Надежда Евгеньевна, Шабунин Михаил Иванович, издательство Просвещение, Москва, 2014, страница 411, номер 1366, Решение 5
Решение 7. №1366 (с. 411)
Алгебра, 10-11 класс Учебник, авторы: Алимов Шавкат Арифджанович, Колягин Юрий Михайлович, Ткачева Мария Владимировна, Федорова Надежда Евгеньевна, Шабунин Михаил Иванович, издательство Просвещение, Москва, 2014, страница 411, номер 1366, Решение 7
Алгебра, 10-11 класс Учебник, авторы: Алимов Шавкат Арифджанович, Колягин Юрий Михайлович, Ткачева Мария Владимировна, Федорова Надежда Евгеньевна, Шабунин Михаил Иванович, издательство Просвещение, Москва, 2014, страница 411, номер 1366, Решение 7 (продолжение 2) Алгебра, 10-11 класс Учебник, авторы: Алимов Шавкат Арифджанович, Колягин Юрий Михайлович, Ткачева Мария Владимировна, Федорова Надежда Евгеньевна, Шабунин Михаил Иванович, издательство Просвещение, Москва, 2014, страница 411, номер 1366, Решение 7 (продолжение 3)
Решение 8. №1366 (с. 411)

1) $ \sin 2x = 3 \sin x \cos^2 x $

Используем формулу синуса двойного угла $ \sin 2x = 2 \sin x \cos x $.

$ 2 \sin x \cos x = 3 \sin x \cos^2 x $

Перенесем все члены уравнения в левую часть:

$ 2 \sin x \cos x - 3 \sin x \cos^2 x = 0 $

Вынесем общий множитель $ \sin x \cos x $ за скобки:

$ \sin x \cos x (2 - 3 \cos x) = 0 $

Произведение равно нулю, когда хотя бы один из множителей равен нулю. Получаем совокупность трех уравнений:

1. $ \sin x = 0 \implies x = \pi n, n \in \mathbb{Z} $.

2. $ \cos x = 0 \implies x = \frac{\pi}{2} + \pi k, k \in \mathbb{Z} $.

3. $ 2 - 3 \cos x = 0 \implies 3 \cos x = 2 \implies \cos x = \frac{2}{3} \implies x = \pm \arccos \frac{2}{3} + 2\pi m, m \in \mathbb{Z} $.

Первые две серии решений $ x = \pi n $ и $ x = \frac{\pi}{2} + \pi k $ можно объединить в одну: $ x = \frac{\pi j}{2}, j \in \mathbb{Z} $.

Ответ: $ x = \frac{\pi n}{2}, n \in \mathbb{Z} $; $ x = \pm \arccos \frac{2}{3} + 2\pi k, k \in \mathbb{Z} $.

2) $ \sin 4x = \sin 2x $

Перенесем $ \sin 2x $ в левую часть:

$ \sin 4x - \sin 2x = 0 $

Применим формулу синуса двойного угла для $ \sin 4x $: $ \sin 4x = 2 \sin 2x \cos 2x $.

$ 2 \sin 2x \cos 2x - \sin 2x = 0 $

Вынесем общий множитель $ \sin 2x $ за скобки:

$ \sin 2x (2 \cos 2x - 1) = 0 $

Получаем совокупность двух уравнений:

1. $ \sin 2x = 0 \implies 2x = \pi n \implies x = \frac{\pi n}{2}, n \in \mathbb{Z} $.

2. $ 2 \cos 2x - 1 = 0 \implies \cos 2x = \frac{1}{2} \implies 2x = \pm \frac{\pi}{3} + 2\pi k \implies x = \pm \frac{\pi}{6} + \pi k, k \in \mathbb{Z} $.

Ответ: $ x = \frac{\pi n}{2}, n \in \mathbb{Z} $; $ x = \pm \frac{\pi}{6} + \pi k, k \in \mathbb{Z} $.

3) $ \cos 2x + \cos^2 x = 0 $

Используем формулу косинуса двойного угла $ \cos 2x = 2 \cos^2 x - 1 $, чтобы привести уравнение к одной тригонометрической функции.

$ (2 \cos^2 x - 1) + \cos^2 x = 0 $

$ 3 \cos^2 x - 1 = 0 $

$ \cos^2 x = \frac{1}{3} $

Другой способ решения — использовать формулу понижения степени $ \cos^2 x = \frac{1 + \cos 2x}{2} $.

$ \cos 2x + \frac{1 + \cos 2x}{2} = 0 $

Умножим обе части на 2:

$ 2 \cos 2x + 1 + \cos 2x = 0 $

$ 3 \cos 2x = -1 $

$ \cos 2x = -\frac{1}{3} $

Отсюда находим $ 2x $:

$ 2x = \pm \arccos(-\frac{1}{3}) + 2\pi n, n \in \mathbb{Z} $

И окончательно находим $ x $:

$ x = \pm \frac{1}{2} \arccos(-\frac{1}{3}) + \pi n, n \in \mathbb{Z} $

Ответ: $ x = \pm \frac{1}{2} \arccos(-\frac{1}{3}) + \pi n, n \in \mathbb{Z} $.

4) $ \sin 2x = \cos^2 x $

Применим формулу синуса двойного угла $ \sin 2x = 2 \sin x \cos x $.

$ 2 \sin x \cos x = \cos^2 x $

Перенесем все в левую часть:

$ 2 \sin x \cos x - \cos^2 x = 0 $

Вынесем общий множитель $ \cos x $ за скобки:

$ \cos x (2 \sin x - \cos x) = 0 $

Получаем совокупность двух уравнений:

1. $ \cos x = 0 \implies x = \frac{\pi}{2} + \pi n, n \in \mathbb{Z} $.

2. $ 2 \sin x - \cos x = 0 $. Это однородное тригонометрическое уравнение. Заметим, что если $ \cos x = 0 $, то из уравнения следует $ 2 \sin x = 0 $, что невозможно, так как $ \sin x $ и $ \cos x $ не могут быть одновременно равны нулю. Следовательно, мы можем разделить обе части уравнения на $ \cos x \ne 0 $.

$ \frac{2 \sin x}{\cos x} - \frac{\cos x}{\cos x} = 0 $

$ 2 \tan x - 1 = 0 $

$ \tan x = \frac{1}{2} $

$ x = \arctan \frac{1}{2} + \pi k, k \in \mathbb{Z} $.

Ответ: $ x = \frac{\pi}{2} + \pi n, n \in \mathbb{Z} $; $ x = \arctan \frac{1}{2} + \pi k, k \in \mathbb{Z} $.

Помогло решение? Оставьте отзыв в комментариях ниже.

Присоединяйтесь к Телеграм-группе @top_gdz

Присоединиться

Мы подготовили для вас ответ c подробным объяснением домашего задания по алгебре за 10-11 класс, для упражнения номер 1366 расположенного на странице 411 к учебнику 2014 года издания для учащихся школ и гимназий.

Теперь на нашем сайте ГДЗ.ТОП вы всегда легко и бесплатно найдёте условие с правильным ответом на вопрос «Как решить ДЗ» и «Как сделать» задание по алгебре к упражнению №1366 (с. 411), авторов: Алимов (Шавкат Арифджанович), Колягин (Юрий Михайлович), Ткачева (Мария Владимировна), Федорова (Надежда Евгеньевна), Шабунин (Михаил Иванович), ФГОС (старый) базовый и углублённый уровень обучения учебного пособия издательства Просвещение.