Номер 1373, страница 411 - гдз по алгебре 10-11 класс учебник Алимов, Колягин

Алгебра, 10-11 класс Учебник, авторы: Алимов Шавкат Арифджанович, Колягин Юрий Михайлович, Ткачева Мария Владимировна, Федорова Надежда Евгеньевна, Шабунин Михаил Иванович, издательство Просвещение, Москва, 2014

Авторы: Алимов Ш. А., Колягин Ю. М., Ткачева М. В., Федорова Н. Е., Шабунин М. И.

Тип: Учебник

Издательство: Просвещение

Год издания: 2014 - 2025

Уровень обучения: базовый и углублённый

Цвет обложки: синий, фиолетовый

ISBN: 978-5-09-112136-0

Допущено Министерством просвещения Российской Федерации

Математика: алгебра и начала математического анализа, геометрия

Популярные ГДЗ в 10 классе

Упражнения для итогового повторения курса алгебры и начал математического анализа. 2. Уравнения - номер 1373, страница 411.

№1373 (с. 411)
Условие. №1373 (с. 411)
скриншот условия
Алгебра, 10-11 класс Учебник, авторы: Алимов Шавкат Арифджанович, Колягин Юрий Михайлович, Ткачева Мария Владимировна, Федорова Надежда Евгеньевна, Шабунин Михаил Иванович, издательство Просвещение, Москва, 2014, страница 411, номер 1373, Условие

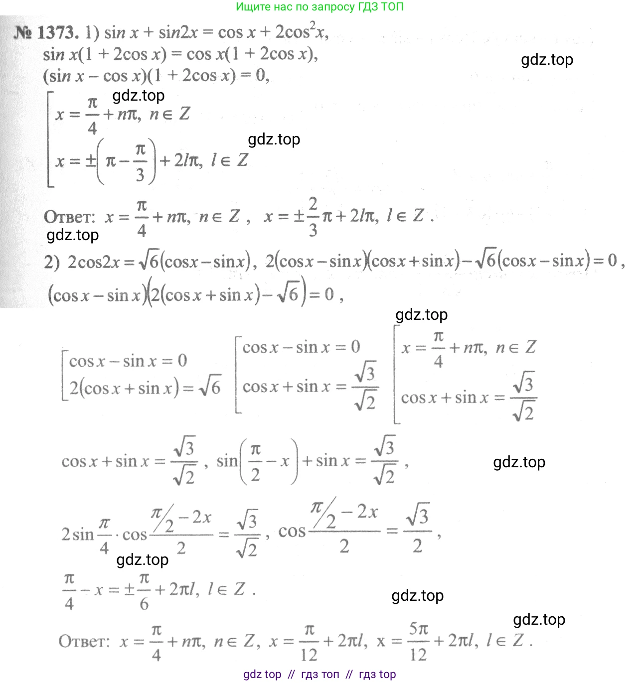
1373 1) $ \sin x + \sin 2x = \cos x + 2 \cos^2 x; $

2) $ 2 \cos 2x = \sqrt{6} (\cos x - \sin x). $

Решение 1. №1373 (с. 411)
Алгебра, 10-11 класс Учебник, авторы: Алимов Шавкат Арифджанович, Колягин Юрий Михайлович, Ткачева Мария Владимировна, Федорова Надежда Евгеньевна, Шабунин Михаил Иванович, издательство Просвещение, Москва, 2014, страница 411, номер 1373, Решение 1
Алгебра, 10-11 класс Учебник, авторы: Алимов Шавкат Арифджанович, Колягин Юрий Михайлович, Ткачева Мария Владимировна, Федорова Надежда Евгеньевна, Шабунин Михаил Иванович, издательство Просвещение, Москва, 2014, страница 411, номер 1373, Решение 1 (продолжение 2)
Решение 2. №1373 (с. 411)
Алгебра, 10-11 класс Учебник, авторы: Алимов Шавкат Арифджанович, Колягин Юрий Михайлович, Ткачева Мария Владимировна, Федорова Надежда Евгеньевна, Шабунин Михаил Иванович, издательство Просвещение, Москва, 2014, страница 411, номер 1373, Решение 2
Решение 3. №1373 (с. 411)
Алгебра, 10-11 класс Учебник, авторы: Алимов Шавкат Арифджанович, Колягин Юрий Михайлович, Ткачева Мария Владимировна, Федорова Надежда Евгеньевна, Шабунин Михаил Иванович, издательство Просвещение, Москва, 2014, страница 411, номер 1373, Решение 3
Решение 5. №1373 (с. 411)
Алгебра, 10-11 класс Учебник, авторы: Алимов Шавкат Арифджанович, Колягин Юрий Михайлович, Ткачева Мария Владимировна, Федорова Надежда Евгеньевна, Шабунин Михаил Иванович, издательство Просвещение, Москва, 2014, страница 411, номер 1373, Решение 5
Решение 7. №1373 (с. 411)
Алгебра, 10-11 класс Учебник, авторы: Алимов Шавкат Арифджанович, Колягин Юрий Михайлович, Ткачева Мария Владимировна, Федорова Надежда Евгеньевна, Шабунин Михаил Иванович, издательство Просвещение, Москва, 2014, страница 411, номер 1373, Решение 7 Алгебра, 10-11 класс Учебник, авторы: Алимов Шавкат Арифджанович, Колягин Юрий Михайлович, Ткачева Мария Владимировна, Федорова Надежда Евгеньевна, Шабунин Михаил Иванович, издательство Просвещение, Москва, 2014, страница 411, номер 1373, Решение 7 (продолжение 2)
Решение 8. №1373 (с. 411)

1) $ \sin x + \sin 2x = \cos x + 2 \cos^2 x $

Для решения данного уравнения воспользуемся формулой синуса двойного угла $ \sin 2x = 2 \sin x \cos x $.

$ \sin x + 2 \sin x \cos x = \cos x + 2 \cos^2 x $

Перенесем все члены уравнения в левую часть:

$ \sin x + 2 \sin x \cos x - \cos x - 2 \cos^2 x = 0 $

Сгруппируем слагаемые для последующего разложения на множители:

$ (\sin x - \cos x) + (2 \sin x \cos x - 2 \cos^2 x) = 0 $

Вынесем общий множитель $ 2 \cos x $ из второй группы:

$ (\sin x - \cos x) + 2 \cos x (\sin x - \cos x) = 0 $

Теперь вынесем общий множитель $ (\sin x - \cos x) $ за скобки:

$ (\sin x - \cos x)(1 + 2 \cos x) = 0 $

Произведение равно нулю тогда и только тогда, когда хотя бы один из множителей равен нулю. Это приводит к двум независимым уравнениям.

Уравнение 1:

$ \sin x - \cos x = 0 $

$ \sin x = \cos x $

Разделим обе части на $ \cos x $, предполагая, что $ \cos x \neq 0 $. Если $ \cos x = 0 $, то $ x = \frac{\pi}{2} + \pi k $, и тогда $ \sin x = \pm 1 $, что не удовлетворяет уравнению $ \sin x = \cos x $. Следовательно, деление возможно.

$ \tan x = 1 $

Решением этого уравнения является серия корней:

$ x = \frac{\pi}{4} + \pi n, \text{ где } n \in \mathbb{Z} $

Уравнение 2:

$ 1 + 2 \cos x = 0 $

$ 2 \cos x = -1 $

$ \cos x = -\frac{1}{2} $

Решением этого уравнения является серия корней:

$ x = \pm \arccos(-\frac{1}{2}) + 2\pi k, \text{ где } k \in \mathbb{Z} $

$ x = \pm \frac{2\pi}{3} + 2\pi k, \text{ где } k \in \mathbb{Z} $

Объединяя решения обоих уравнений, получаем полный ответ.

Ответ: $ x = \frac{\pi}{4} + \pi n, n \in \mathbb{Z}; \quad x = \pm \frac{2\pi}{3} + 2\pi k, k \in \mathbb{Z}. $

2) $ 2 \cos 2x = \sqrt{6} (\cos x - \sin x) $

Воспользуемся формулой косинуса двойного угла $ \cos 2x = \cos^2 x - \sin^2 x $ и разложим ее как разность квадратов:

$ 2(\cos^2 x - \sin^2 x) = \sqrt{6} (\cos x - \sin x) $

$ 2(\cos x - \sin x)(\cos x + \sin x) = \sqrt{6} (\cos x - \sin x) $

Перенесем все члены в левую часть уравнения:

$ 2(\cos x - \sin x)(\cos x + \sin x) - \sqrt{6} (\cos x - \sin x) = 0 $

Вынесем общий множитель $ (\cos x - \sin x) $ за скобки:

$ (\cos x - \sin x) \left( 2(\cos x + \sin x) - \sqrt{6} \right) = 0 $

Это уравнение распадается на два.

Уравнение 1:

$ \cos x - \sin x = 0 $

$ \cos x = \sin x $

Разделив на $ \cos x \neq 0 $ (как и в задаче 1), получаем:

$ \tan x = 1 $

$ x = \frac{\pi}{4} + \pi n, \text{ где } n \in \mathbb{Z} $

Уравнение 2:

$ 2(\cos x + \sin x) - \sqrt{6} = 0 $

$ \cos x + \sin x = \frac{\sqrt{6}}{2} $

Для решения этого уравнения используем метод вспомогательного угла. Умножим и разделим левую часть на $ R = \sqrt{1^2 + 1^2} = \sqrt{2} $:

$ \sqrt{2} \left( \frac{1}{\sqrt{2}}\cos x + \frac{1}{\sqrt{2}}\sin x \right) = \frac{\sqrt{6}}{2} $

Поскольку $ \cos\frac{\pi}{4} = \frac{1}{\sqrt{2}} $ и $ \sin\frac{\pi}{4} = \frac{1}{\sqrt{2}} $, мы можем использовать формулу синуса суммы $ \sin(a+b) = \sin a \cos b + \cos a \sin b $:

$ \sqrt{2} \left( \sin\frac{\pi}{4}\cos x + \cos\frac{\pi}{4}\sin x \right) = \frac{\sqrt{6}}{2} $

$ \sqrt{2} \sin\left(x + \frac{\pi}{4}\right) = \frac{\sqrt{6}}{2} $

Выразим $ \sin\left(x + \frac{\pi}{4}\right) $:

$ \sin\left(x + \frac{\pi}{4}\right) = \frac{\sqrt{6}}{2\sqrt{2}} = \frac{\sqrt{3}}{2} $

Решим полученное простейшее тригонометрическое уравнение:

$ x + \frac{\pi}{4} = (-1)^k \arcsin\left(\frac{\sqrt{3}}{2}\right) + \pi k, \text{ где } k \in \mathbb{Z} $

$ x + \frac{\pi}{4} = (-1)^k \frac{\pi}{3} + \pi k $

$ x = -\frac{\pi}{4} + (-1)^k \frac{\pi}{3} + \pi k, \text{ где } k \in \mathbb{Z} $

Объединяя решения обоих уравнений, получаем итоговый ответ.

Ответ: $ x = \frac{\pi}{4} + \pi n, n \in \mathbb{Z}; \quad x = -\frac{\pi}{4} + (-1)^k \frac{\pi}{3} + \pi k, k \in \mathbb{Z}. $

Помогло решение? Оставьте отзыв в комментариях ниже.

Присоединяйтесь к Телеграм-группе @top_gdz

Присоединиться

Мы подготовили для вас ответ c подробным объяснением домашего задания по алгебре за 10-11 класс, для упражнения номер 1373 расположенного на странице 411 к учебнику 2014 года издания для учащихся школ и гимназий.

Теперь на нашем сайте ГДЗ.ТОП вы всегда легко и бесплатно найдёте условие с правильным ответом на вопрос «Как решить ДЗ» и «Как сделать» задание по алгебре к упражнению №1373 (с. 411), авторов: Алимов (Шавкат Арифджанович), Колягин (Юрий Михайлович), Ткачева (Мария Владимировна), Федорова (Надежда Евгеньевна), Шабунин (Михаил Иванович), ФГОС (старый) базовый и углублённый уровень обучения учебного пособия издательства Просвещение.