Номер 1367, страница 411 - гдз по алгебре 10-11 класс учебник Алимов, Колягин

Алгебра, 10-11 класс Учебник, авторы: Алимов Шавкат Арифджанович, Колягин Юрий Михайлович, Ткачева Мария Владимировна, Федорова Надежда Евгеньевна, Шабунин Михаил Иванович, издательство Просвещение, Москва, 2014

Авторы: Алимов Ш. А., Колягин Ю. М., Ткачева М. В., Федорова Н. Е., Шабунин М. И.

Тип: Учебник

Издательство: Просвещение

Год издания: 2014 - 2025

Уровень обучения: базовый и углублённый

Цвет обложки: синий, фиолетовый

ISBN: 978-5-09-112136-0

Допущено Министерством просвещения Российской Федерации

Математика: алгебра и начала математического анализа, геометрия

Популярные ГДЗ в 10 классе

Упражнения для итогового повторения курса алгебры и начал математического анализа. 2. Уравнения - номер 1367, страница 411.

№1367 (с. 411)
Условие. №1367 (с. 411)
скриншот условия
Алгебра, 10-11 класс Учебник, авторы: Алимов Шавкат Арифджанович, Колягин Юрий Михайлович, Ткачева Мария Владимировна, Федорова Надежда Евгеньевна, Шабунин Михаил Иванович, издательство Просвещение, Москва, 2014, страница 411, номер 1367, Условие

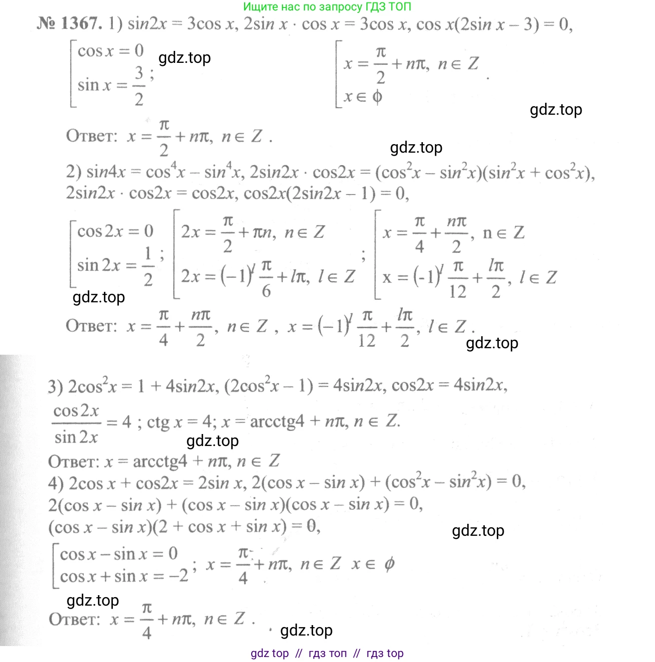
1367 1) $\sin 2x = 3 \cos x;$

2) $\sin 4x = \cos^4 x - \sin^4 x;$

3) $2 \cos^2 x = 1 + 4 \sin 2x;$

4) $2 \cos x + \cos 2x = 2 \sin x .$

Решение 1. №1367 (с. 411)
Алгебра, 10-11 класс Учебник, авторы: Алимов Шавкат Арифджанович, Колягин Юрий Михайлович, Ткачева Мария Владимировна, Федорова Надежда Евгеньевна, Шабунин Михаил Иванович, издательство Просвещение, Москва, 2014, страница 411, номер 1367, Решение 1
Алгебра, 10-11 класс Учебник, авторы: Алимов Шавкат Арифджанович, Колягин Юрий Михайлович, Ткачева Мария Владимировна, Федорова Надежда Евгеньевна, Шабунин Михаил Иванович, издательство Просвещение, Москва, 2014, страница 411, номер 1367, Решение 1 (продолжение 2)
Алгебра, 10-11 класс Учебник, авторы: Алимов Шавкат Арифджанович, Колягин Юрий Михайлович, Ткачева Мария Владимировна, Федорова Надежда Евгеньевна, Шабунин Михаил Иванович, издательство Просвещение, Москва, 2014, страница 411, номер 1367, Решение 1 (продолжение 3)
Алгебра, 10-11 класс Учебник, авторы: Алимов Шавкат Арифджанович, Колягин Юрий Михайлович, Ткачева Мария Владимировна, Федорова Надежда Евгеньевна, Шабунин Михаил Иванович, издательство Просвещение, Москва, 2014, страница 411, номер 1367, Решение 1 (продолжение 4)
Решение 2. №1367 (с. 411)
Алгебра, 10-11 класс Учебник, авторы: Алимов Шавкат Арифджанович, Колягин Юрий Михайлович, Ткачева Мария Владимировна, Федорова Надежда Евгеньевна, Шабунин Михаил Иванович, издательство Просвещение, Москва, 2014, страница 411, номер 1367, Решение 2
Алгебра, 10-11 класс Учебник, авторы: Алимов Шавкат Арифджанович, Колягин Юрий Михайлович, Ткачева Мария Владимировна, Федорова Надежда Евгеньевна, Шабунин Михаил Иванович, издательство Просвещение, Москва, 2014, страница 411, номер 1367, Решение 2 (продолжение 2)
Решение 5. №1367 (с. 411)
Алгебра, 10-11 класс Учебник, авторы: Алимов Шавкат Арифджанович, Колягин Юрий Михайлович, Ткачева Мария Владимировна, Федорова Надежда Евгеньевна, Шабунин Михаил Иванович, издательство Просвещение, Москва, 2014, страница 411, номер 1367, Решение 5
Решение 7. №1367 (с. 411)
Алгебра, 10-11 класс Учебник, авторы: Алимов Шавкат Арифджанович, Колягин Юрий Михайлович, Ткачева Мария Владимировна, Федорова Надежда Евгеньевна, Шабунин Михаил Иванович, издательство Просвещение, Москва, 2014, страница 411, номер 1367, Решение 7
Алгебра, 10-11 класс Учебник, авторы: Алимов Шавкат Арифджанович, Колягин Юрий Михайлович, Ткачева Мария Владимировна, Федорова Надежда Евгеньевна, Шабунин Михаил Иванович, издательство Просвещение, Москва, 2014, страница 411, номер 1367, Решение 7 (продолжение 2)
Решение 8. №1367 (с. 411)

1) Исходное уравнение: $ \sin 2x = 3 \cos x $.

Применим формулу синуса двойного угла $ \sin 2x = 2 \sin x \cos x $:
$ 2 \sin x \cos x = 3 \cos x $

Перенесем все члены в одну сторону:
$ 2 \sin x \cos x - 3 \cos x = 0 $

Вынесем общий множитель $ \cos x $ за скобки:
$ \cos x (2 \sin x - 3) = 0 $

Произведение равно нулю, когда хотя бы один из множителей равен нулю. Рассматриваем два случая:

a) $ \cos x = 0 $
Это частный случай тригонометрического уравнения, решениями которого являются:
$ x = \frac{\pi}{2} + \pi n, \text{ где } n \in \mathbb{Z} $

b) $ 2 \sin x - 3 = 0 $
$ 2 \sin x = 3 $
$ \sin x = \frac{3}{2} $
Поскольку область значений функции синуса $ [-1; 1] $, а $ \frac{3}{2} > 1 $, это уравнение не имеет решений.

Таким образом, единственной серией решений является та, что получена в пункте а).
Ответ: $ x = \frac{\pi}{2} + \pi n, n \in \mathbb{Z} $.


2) Исходное уравнение: $ \sin 4x = \cos^4 x - \sin^4 x $.

Преобразуем правую часть уравнения, используя формулу разности квадратов $ a^2 - b^2 = (a-b)(a+b) $:
$ \cos^4 x - \sin^4 x = (\cos^2 x - \sin^2 x)(\cos^2 x + \sin^2 x) $

Используем основное тригонометрическое тождество $ \sin^2 x + \cos^2 x = 1 $ и формулу косинуса двойного угла $ \cos 2x = \cos^2 x - \sin^2 x $:
$ (\cos 2x)(1) = \cos 2x $

Уравнение принимает вид:
$ \sin 4x = \cos 2x $

Применим формулу синуса двойного угла для $ \sin 4x = \sin(2 \cdot 2x) = 2 \sin 2x \cos 2x $:
$ 2 \sin 2x \cos 2x = \cos 2x $

Перенесем все в одну сторону и вынесем $ \cos 2x $ за скобки:
$ 2 \sin 2x \cos 2x - \cos 2x = 0 $
$ \cos 2x (2 \sin 2x - 1) = 0 $

Рассматриваем два случая:

a) $ \cos 2x = 0 $
$ 2x = \frac{\pi}{2} + \pi k, \text{ где } k \in \mathbb{Z} $
$ x = \frac{\pi}{4} + \frac{\pi k}{2}, \text{ где } k \in \mathbb{Z} $

b) $ 2 \sin 2x - 1 = 0 $
$ \sin 2x = \frac{1}{2} $
Общее решение для $ \sin u = a $: $ u = (-1)^n \arcsin(a) + \pi n $.
$ 2x = (-1)^n \arcsin\left(\frac{1}{2}\right) + \pi n, \text{ где } n \in \mathbb{Z} $
$ 2x = (-1)^n \frac{\pi}{6} + \pi n $
$ x = (-1)^n \frac{\pi}{12} + \frac{\pi n}{2}, \text{ где } n \in \mathbb{Z} $

Ответ: $ x = \frac{\pi}{4} + \frac{\pi k}{2}, k \in \mathbb{Z}; \quad x = (-1)^n \frac{\pi}{12} + \frac{\pi n}{2}, n \in \mathbb{Z} $.


3) Исходное уравнение: $ 2 \cos^2 x = 1 + 4 \sin 2x $.

Используем формулу понижения степени для косинуса, которая является следствием формулы косинуса двойного угла: $ 2 \cos^2 x = 1 + \cos 2x $.

Подставим это в уравнение:
$ 1 + \cos 2x = 1 + 4 \sin 2x $

Упрощаем, вычитая 1 из обеих частей:
$ \cos 2x = 4 \sin 2x $

Если предположить, что $ \cos 2x \neq 0 $, разделим обе части уравнения на $ \cos 2x $:
$ 1 = 4 \frac{\sin 2x}{\cos 2x} $
$ 1 = 4 \tan 2x $
$ \tan 2x = \frac{1}{4} $
(Проверка предположения: если $ \cos 2x = 0 $, то из уравнения $ \cos 2x = 4 \sin 2x $ следует, что $ 4 \sin 2x = 0 $, то есть $ \sin 2x = 0 $. Но $ \sin 2x $ и $ \cos 2x $ не могут быть одновременно равны нулю, так как $ \sin^2 2x + \cos^2 2x = 1 $. Следовательно, наше предположение верно).

Теперь решаем уравнение $ \tan 2x = \frac{1}{4} $:
$ 2x = \arctan\left(\frac{1}{4}\right) + \pi n, \text{ где } n \in \mathbb{Z} $
$ x = \frac{1}{2} \arctan\left(\frac{1}{4}\right) + \frac{\pi n}{2}, \text{ где } n \in \mathbb{Z} $

Ответ: $ x = \frac{1}{2} \arctan\left(\frac{1}{4}\right) + \frac{\pi n}{2}, n \in \mathbb{Z} $.


4) Исходное уравнение: $ 2 \cos x + \cos 2x = 2 \sin x $.

Применим формулу косинуса двойного угла $ \cos 2x = \cos^2 x - \sin^2 x $:
$ 2 \cos x + \cos^2 x - \sin^2 x = 2 \sin x $

Перегруппируем члены:
$ (2 \cos x - 2 \sin x) + (\cos^2 x - \sin^2 x) = 0 $

В первой скобке вынесем 2, а вторую разложим как разность квадратов:
$ 2(\cos x - \sin x) + (\cos x - \sin x)(\cos x + \sin x) = 0 $

Вынесем общий множитель $ (\cos x - \sin x) $ за скобки:
$ (\cos x - \sin x) (2 + \cos x + \sin x) = 0 $

Рассматриваем два случая:

a) $ \cos x - \sin x = 0 $
$ \cos x = \sin x $
Если $ \cos x = 0 $, то и $ \sin x = 0 $, что невозможно. Значит, $ \cos x \neq 0 $, и мы можем разделить обе части на $ \cos x $:
$ 1 = \tan x $
$ x = \frac{\pi}{4} + \pi n, \text{ где } n \in \mathbb{Z} $

b) $ 2 + \cos x + \sin x = 0 $
$ \cos x + \sin x = -2 $
Преобразуем левую часть методом вспомогательного угла: $ \cos x + \sin x = \sqrt{2}\left(\frac{1}{\sqrt{2}}\cos x + \frac{1}{\sqrt{2}}\sin x\right) = \sqrt{2}\cos\left(x - \frac{\pi}{4}\right) $.
Получаем уравнение:
$ \sqrt{2}\cos\left(x - \frac{\pi}{4}\right) = -2 $
$ \cos\left(x - \frac{\pi}{4}\right) = -\frac{2}{\sqrt{2}} = -\sqrt{2} $
Поскольку $ -\sqrt{2} \approx -1.414 $, что меньше -1, а область значений косинуса $ [-1; 1] $, это уравнение не имеет решений.

Таким образом, решением исходного уравнения является только первая серия корней.
Ответ: $ x = \frac{\pi}{4} + \pi n, n \in \mathbb{Z} $.

Помогло решение? Оставьте отзыв в комментариях ниже.

Присоединяйтесь к Телеграм-группе @top_gdz

Присоединиться

Мы подготовили для вас ответ c подробным объяснением домашего задания по алгебре за 10-11 класс, для упражнения номер 1367 расположенного на странице 411 к учебнику 2014 года издания для учащихся школ и гимназий.

Теперь на нашем сайте ГДЗ.ТОП вы всегда легко и бесплатно найдёте условие с правильным ответом на вопрос «Как решить ДЗ» и «Как сделать» задание по алгебре к упражнению №1367 (с. 411), авторов: Алимов (Шавкат Арифджанович), Колягин (Юрий Михайлович), Ткачева (Мария Владимировна), Федорова (Надежда Евгеньевна), Шабунин (Михаил Иванович), ФГОС (старый) базовый и углублённый уровень обучения учебного пособия издательства Просвещение.