Номер 1371, страница 411 - гдз по алгебре 10-11 класс учебник Алимов, Колягин

Алгебра, 10-11 класс Учебник, авторы: Алимов Шавкат Арифджанович, Колягин Юрий Михайлович, Ткачева Мария Владимировна, Федорова Надежда Евгеньевна, Шабунин Михаил Иванович, издательство Просвещение, Москва, 2014

Авторы: Алимов Ш. А., Колягин Ю. М., Ткачева М. В., Федорова Н. Е., Шабунин М. И.

Тип: Учебник

Издательство: Просвещение

Год издания: 2014 - 2026

Уровень обучения: базовый и углублённый

Цвет обложки: синий, фиолетовый

ISBN: 978-5-09-112136-0

Допущено Министерством просвещения Российской Федерации

Математика: алгебра и начала математического анализа, геометрия

Популярные ГДЗ в 10 классе

Упражнения для итогового повторения курса алгебры и начал математического анализа. 2. Уравнения - номер 1371, страница 411.

№1371 (с. 411)
Условие. №1371 (с. 411)
скриншот условия
Алгебра, 10-11 класс Учебник, авторы: Алимов Шавкат Арифджанович, Колягин Юрий Михайлович, Ткачева Мария Владимировна, Федорова Надежда Евгеньевна, Шабунин Михаил Иванович, издательство Просвещение, Москва, 2014, страница 411, номер 1371, Условие

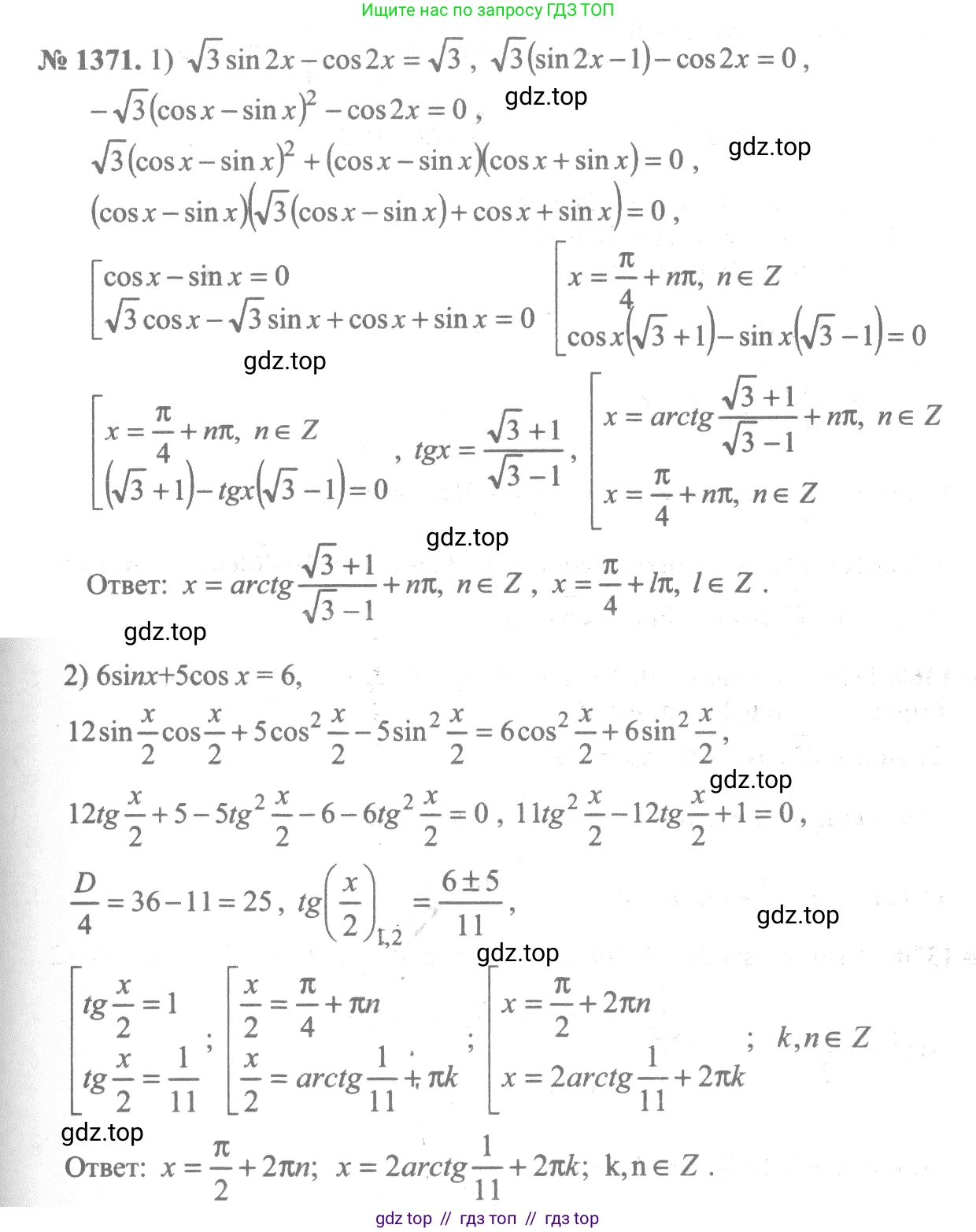
1371 1) $\sqrt{3} \sin 2x - \cos 2x = \sqrt{3}$;

2) $6 \sin x + 5 \cos x = 6.$

Решение 1. №1371 (с. 411)
Алгебра, 10-11 класс Учебник, авторы: Алимов Шавкат Арифджанович, Колягин Юрий Михайлович, Ткачева Мария Владимировна, Федорова Надежда Евгеньевна, Шабунин Михаил Иванович, издательство Просвещение, Москва, 2014, страница 411, номер 1371, Решение 1
Алгебра, 10-11 класс Учебник, авторы: Алимов Шавкат Арифджанович, Колягин Юрий Михайлович, Ткачева Мария Владимировна, Федорова Надежда Евгеньевна, Шабунин Михаил Иванович, издательство Просвещение, Москва, 2014, страница 411, номер 1371, Решение 1 (продолжение 2)
Решение 2. №1371 (с. 411)
Алгебра, 10-11 класс Учебник, авторы: Алимов Шавкат Арифджанович, Колягин Юрий Михайлович, Ткачева Мария Владимировна, Федорова Надежда Евгеньевна, Шабунин Михаил Иванович, издательство Просвещение, Москва, 2014, страница 411, номер 1371, Решение 2
Алгебра, 10-11 класс Учебник, авторы: Алимов Шавкат Арифджанович, Колягин Юрий Михайлович, Ткачева Мария Владимировна, Федорова Надежда Евгеньевна, Шабунин Михаил Иванович, издательство Просвещение, Москва, 2014, страница 411, номер 1371, Решение 2 (продолжение 2)
Решение 3. №1371 (с. 411)
Алгебра, 10-11 класс Учебник, авторы: Алимов Шавкат Арифджанович, Колягин Юрий Михайлович, Ткачева Мария Владимировна, Федорова Надежда Евгеньевна, Шабунин Михаил Иванович, издательство Просвещение, Москва, 2014, страница 411, номер 1371, Решение 3
Решение 5. №1371 (с. 411)
Алгебра, 10-11 класс Учебник, авторы: Алимов Шавкат Арифджанович, Колягин Юрий Михайлович, Ткачева Мария Владимировна, Федорова Надежда Евгеньевна, Шабунин Михаил Иванович, издательство Просвещение, Москва, 2014, страница 411, номер 1371, Решение 5
Решение 7. №1371 (с. 411)
Алгебра, 10-11 класс Учебник, авторы: Алимов Шавкат Арифджанович, Колягин Юрий Михайлович, Ткачева Мария Владимировна, Федорова Надежда Евгеньевна, Шабунин Михаил Иванович, издательство Просвещение, Москва, 2014, страница 411, номер 1371, Решение 7 Алгебра, 10-11 класс Учебник, авторы: Алимов Шавкат Арифджанович, Колягин Юрий Михайлович, Ткачева Мария Владимировна, Федорова Надежда Евгеньевна, Шабунин Михаил Иванович, издательство Просвещение, Москва, 2014, страница 411, номер 1371, Решение 7 (продолжение 2)
Решение 8. №1371 (с. 411)

1) Данное уравнение является линейным тригонометрическим уравнением вида $a \sin y + b \cos y = c$. Решим его методом введения вспомогательного угла. Исходное уравнение: $\sqrt{3} \sin 2x - \cos 2x = \sqrt{3}$.Здесь коэффициенты $a = \sqrt{3}$ и $b = -1$. Найдем значение выражения $\sqrt{a^2 + b^2} = \sqrt{(\sqrt{3})^2 + (-1)^2} = \sqrt{3+1} = \sqrt{4} = 2$.Разделим обе части уравнения на 2:$\frac{\sqrt{3}}{2} \sin 2x - \frac{1}{2} \cos 2x = \frac{\sqrt{3}}{2}$.Заметим, что $\frac{\sqrt{3}}{2} = \cos \frac{\pi}{6}$ и $\frac{1}{2} = \sin \frac{\pi}{6}$.Подставим эти значения в уравнение:$\cos \frac{\pi}{6} \cdot \sin 2x - \sin \frac{\pi}{6} \cdot \cos 2x = \frac{\sqrt{3}}{2}$.Левую часть уравнения можно свернуть по формуле синуса разности $\sin(\alpha - \beta) = \sin\alpha \cos\beta - \cos\alpha \sin\beta$, где $\alpha = 2x$ и $\beta = \frac{\pi}{6}$.Получаем уравнение:$\sin(2x - \frac{\pi}{6}) = \frac{\sqrt{3}}{2}$.Решим это простейшее тригонометрическое уравнение. Общее решение имеет вид:$2x - \frac{\pi}{6} = (-1)^n \arcsin\left(\frac{\sqrt{3}}{2}\right) + \pi n$, где $n \in \mathbb{Z}$.$2x - \frac{\pi}{6} = (-1)^n \frac{\pi}{3} + \pi n$.Выразим $x$:$2x = \frac{\pi}{6} + (-1)^n \frac{\pi}{3} + \pi n$.Рассмотрим два случая:1. Если $n$ — четное, то есть $n = 2k$, где $k \in \mathbb{Z}$:$x = \frac{1}{2}\left(\frac{\pi}{6} + \frac{\pi}{3} + 2\pi k\right) = \frac{1}{2}\left(\frac{3\pi}{6} + 2\pi k\right) = \frac{1}{2}\left(\frac{\pi}{2} + 2\pi k\right) = \frac{\pi}{4} + \pi k$.2. Если $n$ — нечетное, то есть $n = 2k+1$, где $k \in \mathbb{Z}$:$x = \frac{1}{2}\left(\frac{\pi}{6} - \frac{\pi}{3} + \pi(2k+1)\right) = \frac{1}{2}\left(-\frac{\pi}{6} + \pi + 2\pi k\right) = \frac{1}{2}\left(\frac{5\pi}{6} + 2\pi k\right) = \frac{5\pi}{12} + \pi k$.Таким образом, получаем две серии решений.

Ответ: $x = \frac{\pi}{4} + \pi k, k \in \mathbb{Z}; \quad x = \frac{5\pi}{12} + \pi k, k \in \mathbb{Z}$.

2) Для решения уравнения $6 \sin x + 5 \cos x = 6$ воспользуемся универсальной тригонометрической подстановкой.Пусть $t = \tan \frac{x}{2}$. Тогда $\sin x = \frac{2t}{1+t^2}$ и $\cos x = \frac{1-t^2}{1+t^2}$.Данная подстановка применима, если $x \neq \pi + 2\pi k$, где $k \in \mathbb{Z}$. Проверим, являются ли эти значения корнями. Подстановка $x = \pi$ в уравнение дает $6 \cdot 0 + 5 \cdot (-1) = -5$, что не равно 6. Следовательно, мы не теряем корней при использовании этой подстановки.Подставим выражения для синуса и косинуса в уравнение:$6 \left(\frac{2t}{1+t^2}\right) + 5 \left(\frac{1-t^2}{1+t^2}\right) = 6$.Домножим обе части на $1+t^2$:$12t + 5(1-t^2) = 6(1+t^2)$.$12t + 5 - 5t^2 = 6 + 6t^2$.Перенесем все члены в одну сторону, чтобы получить квадратное уравнение относительно $t$:$11t^2 - 12t + 1 = 0$.Решим это квадратное уравнение. Дискриминант $D = (-12)^2 - 4 \cdot 11 \cdot 1 = 144 - 44 = 100 = 10^2$.Корни уравнения:$t_1 = \frac{12 - 10}{2 \cdot 11} = \frac{2}{22} = \frac{1}{11}$.$t_2 = \frac{12 + 10}{2 \cdot 11} = \frac{22}{22} = 1$.Теперь вернемся к замене $t = \tan \frac{x}{2}$:1. $\tan \frac{x}{2} = 1 \implies \frac{x}{2} = \frac{\pi}{4} + \pi n \implies x = \frac{\pi}{2} + 2\pi n$, где $n \in \mathbb{Z}$.2. $\tan \frac{x}{2} = \frac{1}{11} \implies \frac{x}{2} = \arctan\left(\frac{1}{11}\right) + \pi n \implies x = 2 \arctan\left(\frac{1}{11}\right) + 2\pi n$, где $n \in \mathbb{Z}$.

Ответ: $x = \frac{\pi}{2} + 2\pi n, n \in \mathbb{Z}; \quad x = 2 \arctan\left(\frac{1}{11}\right) + 2\pi n, n \in \mathbb{Z}$.

Помогло решение? Оставьте отзыв в комментариях ниже.

Присоединяйтесь к Телеграм-группе @top_gdz

Присоединиться

Мы подготовили для вас ответ c подробным объяснением домашего задания по алгебре за 10-11 класс, для упражнения номер 1371 расположенного на странице 411 к учебнику 2014 года издания для учащихся школ и гимназий.

Теперь на нашем сайте ГДЗ.ТОП вы всегда легко и бесплатно найдёте условие с правильным ответом на вопрос «Как решить ДЗ» и «Как сделать» задание по алгебре к упражнению №1371 (с. 411), авторов: Алимов (Шавкат Арифджанович), Колягин (Юрий Михайлович), Ткачева (Мария Владимировна), Федорова (Надежда Евгеньевна), Шабунин (Михаил Иванович), ФГОС (старый) базовый и углублённый уровень обучения учебного пособия издательства Просвещение.