Номер 1376, страница 411 - гдз по алгебре 10-11 класс учебник Алимов, Колягин

Алгебра, 10-11 класс Учебник, авторы: Алимов Шавкат Арифджанович, Колягин Юрий Михайлович, Ткачева Мария Владимировна, Федорова Надежда Евгеньевна, Шабунин Михаил Иванович, издательство Просвещение, Москва, 2014

Авторы: Алимов Ш. А., Колягин Ю. М., Ткачева М. В., Федорова Н. Е., Шабунин М. И.

Тип: Учебник

Издательство: Просвещение

Год издания: 2014 - 2025

Уровень обучения: базовый и углублённый

Цвет обложки: синий, фиолетовый

ISBN: 978-5-09-112136-0

Допущено Министерством просвещения Российской Федерации

Математика: алгебра и начала математического анализа, геометрия

Популярные ГДЗ в 10 классе

Упражнения для итогового повторения курса алгебры и начал математического анализа. 2. Уравнения - номер 1376, страница 411.

№1376 (с. 411)
Условие. №1376 (с. 411)
скриншот условия
Алгебра, 10-11 класс Учебник, авторы: Алимов Шавкат Арифджанович, Колягин Юрий Михайлович, Ткачева Мария Владимировна, Федорова Надежда Евгеньевна, Шабунин Михаил Иванович, издательство Просвещение, Москва, 2014, страница 411, номер 1376, Условие

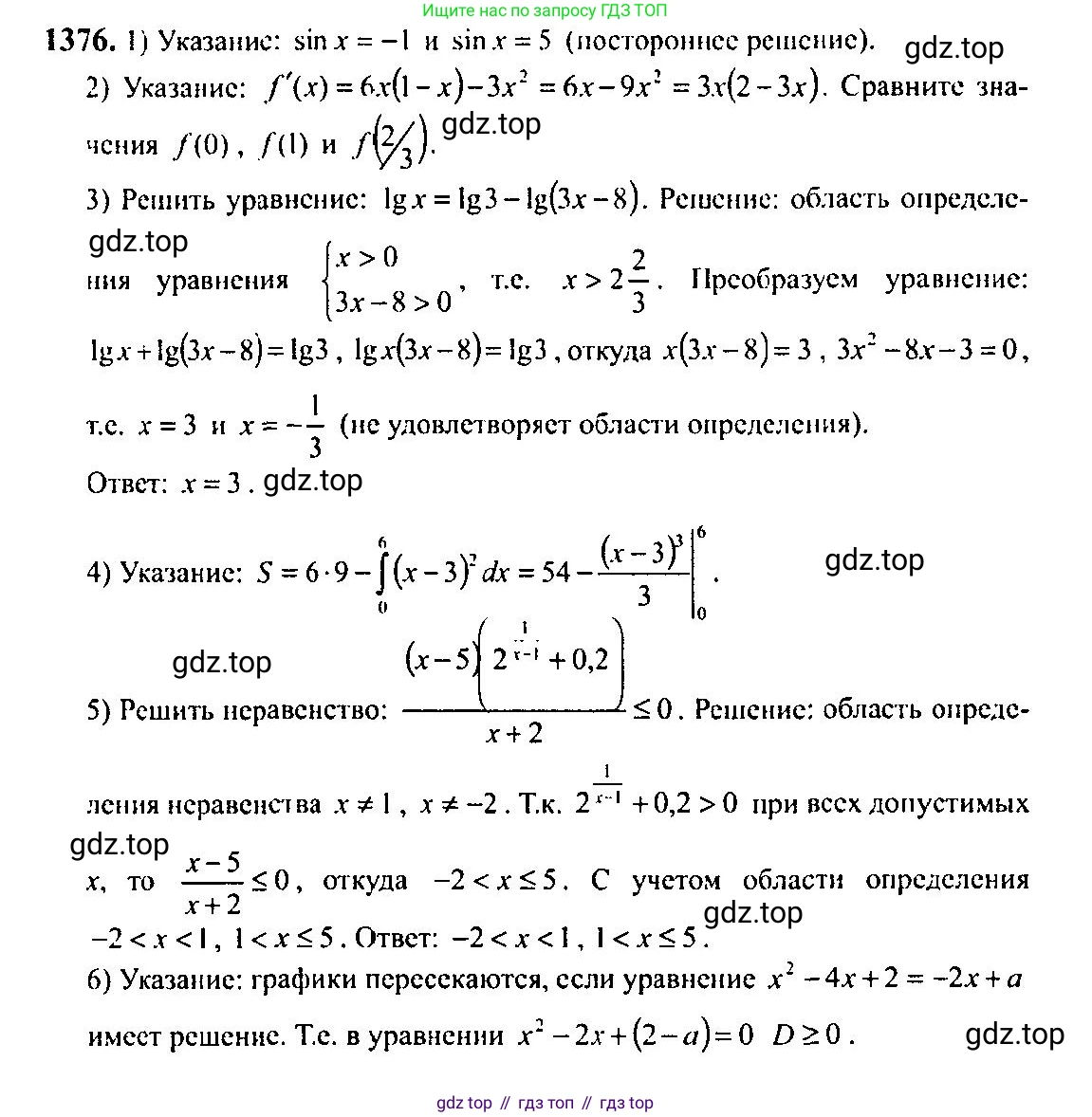
1376 1) $\sin^4 x - \cos^4 x + 2 \cos^2 x = \cos 2x;$

2) $2 \sin^2 x - \cos^4 x = 1 - \sin^4 x.$

Решение 1. №1376 (с. 411)
Алгебра, 10-11 класс Учебник, авторы: Алимов Шавкат Арифджанович, Колягин Юрий Михайлович, Ткачева Мария Владимировна, Федорова Надежда Евгеньевна, Шабунин Михаил Иванович, издательство Просвещение, Москва, 2014, страница 411, номер 1376, Решение 1
Алгебра, 10-11 класс Учебник, авторы: Алимов Шавкат Арифджанович, Колягин Юрий Михайлович, Ткачева Мария Владимировна, Федорова Надежда Евгеньевна, Шабунин Михаил Иванович, издательство Просвещение, Москва, 2014, страница 411, номер 1376, Решение 1 (продолжение 2)
Решение 2. №1376 (с. 411)
Алгебра, 10-11 класс Учебник, авторы: Алимов Шавкат Арифджанович, Колягин Юрий Михайлович, Ткачева Мария Владимировна, Федорова Надежда Евгеньевна, Шабунин Михаил Иванович, издательство Просвещение, Москва, 2014, страница 411, номер 1376, Решение 2
Решение 3. №1376 (с. 411)
Алгебра, 10-11 класс Учебник, авторы: Алимов Шавкат Арифджанович, Колягин Юрий Михайлович, Ткачева Мария Владимировна, Федорова Надежда Евгеньевна, Шабунин Михаил Иванович, издательство Просвещение, Москва, 2014, страница 411, номер 1376, Решение 3
Решение 5. №1376 (с. 411)
Алгебра, 10-11 класс Учебник, авторы: Алимов Шавкат Арифджанович, Колягин Юрий Михайлович, Ткачева Мария Владимировна, Федорова Надежда Евгеньевна, Шабунин Михаил Иванович, издательство Просвещение, Москва, 2014, страница 411, номер 1376, Решение 5
Решение 7. №1376 (с. 411)
Алгебра, 10-11 класс Учебник, авторы: Алимов Шавкат Арифджанович, Колягин Юрий Михайлович, Ткачева Мария Владимировна, Федорова Надежда Евгеньевна, Шабунин Михаил Иванович, издательство Просвещение, Москва, 2014, страница 411, номер 1376, Решение 7
Решение 8. №1376 (с. 411)

1) $sin^4 x - cos^4 x + 2 cos^2 x = cos 2x$

Для решения данного уравнения преобразуем его левую часть. Выражение $sin^4 x - cos^4 x$ можно разложить по формуле разности квадратов:

$sin^4 x - cos^4 x = (sin^2 x - cos^2 x)(sin^2 x + cos^2 x)$

Используем основное тригонометрическое тождество $sin^2 x + cos^2 x = 1$ и формулу косинуса двойного угла $cos 2x = cos^2 x - sin^2 x$. Из формулы двойного угла следует, что $sin^2 x - cos^2 x = -cos 2x$.

Подставим эти значения в разложенное выражение:

$(sin^2 x - cos^2 x)(sin^2 x + cos^2 x) = (-cos 2x) \cdot 1 = -cos 2x$

Теперь вернемся к исходному уравнению, заменив $sin^4 x - cos^4 x$ на $-cos 2x$:

$-cos 2x + 2 cos^2 x = cos 2x$

Перенесем $-cos 2x$ из левой части в правую:

$2 cos^2 x = cos 2x + cos 2x$

$2 cos^2 x = 2 cos 2x$

Разделим обе части уравнения на 2:

$cos^2 x = cos 2x$

Снова применим формулу косинуса двойного угла, но в виде $cos 2x = 2 cos^2 x - 1$:

$cos^2 x = 2 cos^2 x - 1$

Перенесем все члены с $cos^2 x$ в одну сторону:

$1 = 2 cos^2 x - cos^2 x$

$cos^2 x = 1$

Это уравнение равносильно двум простым уравнениям: $cos x = 1$ или $cos x = -1$.

Решения для $cos x = 1$: $x = 2\pi k$, где $k \in \mathbb{Z}$.

Решения для $cos x = -1$: $x = \pi + 2\pi k$, где $k \in \mathbb{Z}$.

Обе серии решений можно объединить в одну общую формулу:

$x = \pi k, k \in \mathbb{Z}$

Ответ: $x = \pi k, k \in \mathbb{Z}$.

2) $2 sin^2 x - cos^4 x = 1 - sin^4 x$

Перенесем члены с $sin^4 x$ и $cos^4 x$ в левую часть уравнения:

$sin^4 x - cos^4 x + 2 sin^2 x = 1$

Как и в предыдущем примере, разложим $sin^4 x - cos^4 x$ по формуле разности квадратов:

$(sin^2 x - cos^2 x)(sin^2 x + cos^2 x) + 2 sin^2 x = 1$

Применив тождество $sin^2 x + cos^2 x = 1$, получим:

$(sin^2 x - cos^2 x) \cdot 1 + 2 sin^2 x = 1$

$sin^2 x - cos^2 x + 2 sin^2 x = 1$

Приведем подобные слагаемые:

$3 sin^2 x - cos^2 x = 1$

Теперь выразим $cos^2 x$ через $sin^2 x$ с помощью основного тригонометрического тождества $cos^2 x = 1 - sin^2 x$:

$3 sin^2 x - (1 - sin^2 x) = 1$

Раскроем скобки:

$3 sin^2 x - 1 + sin^2 x = 1$

$4 sin^2 x = 2$

$sin^2 x = \frac{2}{4} = \frac{1}{2}$

Это уравнение распадается на два:

$sin x = \sqrt{\frac{1}{2}} = \frac{\sqrt{2}}{2}$ или $sin x = -\sqrt{\frac{1}{2}} = -\frac{\sqrt{2}}{2}$

Решения этих уравнений — это все углы, для которых $|sin x| = \frac{\sqrt{2}}{2}$. Такими углами являются $\frac{\pi}{4}, \frac{3\pi}{4}, \frac{5\pi}{4}, \frac{7\pi}{4}$ и все углы, отличающиеся от них на $2\pi k$.

Все эти серии корней можно записать одной формулой, заметив, что они повторяются с периодом $\frac{\pi}{2}$:

$x = \frac{\pi}{4} + \frac{\pi k}{2}, k \in \mathbb{Z}$

Ответ: $x = \frac{\pi}{4} + \frac{\pi k}{2}, k \in \mathbb{Z}$.

Помогло решение? Оставьте отзыв в комментариях ниже.

Присоединяйтесь к Телеграм-группе @top_gdz

Присоединиться

Мы подготовили для вас ответ c подробным объяснением домашего задания по алгебре за 10-11 класс, для упражнения номер 1376 расположенного на странице 411 к учебнику 2014 года издания для учащихся школ и гимназий.

Теперь на нашем сайте ГДЗ.ТОП вы всегда легко и бесплатно найдёте условие с правильным ответом на вопрос «Как решить ДЗ» и «Как сделать» задание по алгебре к упражнению №1376 (с. 411), авторов: Алимов (Шавкат Арифджанович), Колягин (Юрий Михайлович), Ткачева (Мария Владимировна), Федорова (Надежда Евгеньевна), Шабунин (Михаил Иванович), ФГОС (старый) базовый и углублённый уровень обучения учебного пособия издательства Просвещение.