Номер 1382, страница 411 - гдз по алгебре 10-11 класс учебник Алимов, Колягин

Алгебра, 10-11 класс Учебник, авторы: Алимов Шавкат Арифджанович, Колягин Юрий Михайлович, Ткачева Мария Владимировна, Федорова Надежда Евгеньевна, Шабунин Михаил Иванович, издательство Просвещение, Москва, 2014

Авторы: Алимов Ш. А., Колягин Ю. М., Ткачева М. В., Федорова Н. Е., Шабунин М. И.

Тип: Учебник

Издательство: Просвещение

Год издания: 2014 - 2025

Уровень обучения: базовый и углублённый

Цвет обложки: синий, фиолетовый

ISBN: 978-5-09-112136-0

Допущено Министерством просвещения Российской Федерации

Математика: алгебра и начала математического анализа, геометрия

Популярные ГДЗ в 10 классе

Упражнения для итогового повторения курса алгебры и начал математического анализа. 2. Уравнения - номер 1382, страница 411.

№1382 (с. 411)
Условие. №1382 (с. 411)
скриншот условия
Алгебра, 10-11 класс Учебник, авторы: Алимов Шавкат Арифджанович, Колягин Юрий Михайлович, Ткачева Мария Владимировна, Федорова Надежда Евгеньевна, Шабунин Михаил Иванович, издательство Просвещение, Москва, 2014, страница 411, номер 1382, Условие

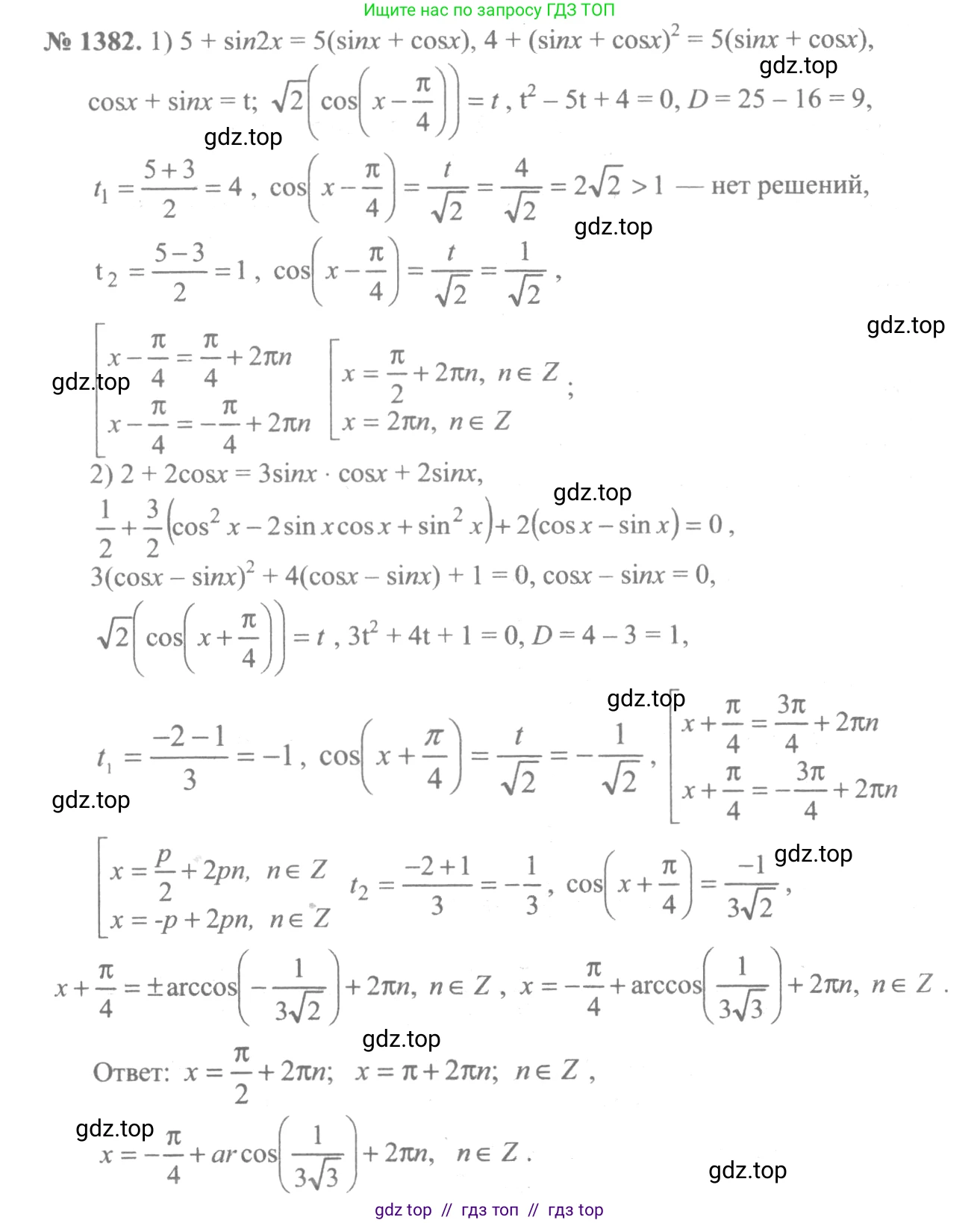
1382 1) $5 + \sin 2x = 5 (\sin x + \cos x);$

2) $2 + 2 \cos x = 3 \sin x \cos x + 2 \sin x.$

Решение 1. №1382 (с. 411)
Алгебра, 10-11 класс Учебник, авторы: Алимов Шавкат Арифджанович, Колягин Юрий Михайлович, Ткачева Мария Владимировна, Федорова Надежда Евгеньевна, Шабунин Михаил Иванович, издательство Просвещение, Москва, 2014, страница 411, номер 1382, Решение 1
Алгебра, 10-11 класс Учебник, авторы: Алимов Шавкат Арифджанович, Колягин Юрий Михайлович, Ткачева Мария Владимировна, Федорова Надежда Евгеньевна, Шабунин Михаил Иванович, издательство Просвещение, Москва, 2014, страница 411, номер 1382, Решение 1 (продолжение 2)
Решение 2. №1382 (с. 411)
Алгебра, 10-11 класс Учебник, авторы: Алимов Шавкат Арифджанович, Колягин Юрий Михайлович, Ткачева Мария Владимировна, Федорова Надежда Евгеньевна, Шабунин Михаил Иванович, издательство Просвещение, Москва, 2014, страница 411, номер 1382, Решение 2
Алгебра, 10-11 класс Учебник, авторы: Алимов Шавкат Арифджанович, Колягин Юрий Михайлович, Ткачева Мария Владимировна, Федорова Надежда Евгеньевна, Шабунин Михаил Иванович, издательство Просвещение, Москва, 2014, страница 411, номер 1382, Решение 2 (продолжение 2)
Решение 3. №1382 (с. 411)
Алгебра, 10-11 класс Учебник, авторы: Алимов Шавкат Арифджанович, Колягин Юрий Михайлович, Ткачева Мария Владимировна, Федорова Надежда Евгеньевна, Шабунин Михаил Иванович, издательство Просвещение, Москва, 2014, страница 411, номер 1382, Решение 3
Решение 5. №1382 (с. 411)
Алгебра, 10-11 класс Учебник, авторы: Алимов Шавкат Арифджанович, Колягин Юрий Михайлович, Ткачева Мария Владимировна, Федорова Надежда Евгеньевна, Шабунин Михаил Иванович, издательство Просвещение, Москва, 2014, страница 411, номер 1382, Решение 5
Решение 7. №1382 (с. 411)
Алгебра, 10-11 класс Учебник, авторы: Алимов Шавкат Арифджанович, Колягин Юрий Михайлович, Ткачева Мария Владимировна, Федорова Надежда Евгеньевна, Шабунин Михаил Иванович, издательство Просвещение, Москва, 2014, страница 411, номер 1382, Решение 7 Алгебра, 10-11 класс Учебник, авторы: Алимов Шавкат Арифджанович, Колягин Юрий Михайлович, Ткачева Мария Владимировна, Федорова Надежда Евгеньевна, Шабунин Михаил Иванович, издательство Просвещение, Москва, 2014, страница 411, номер 1382, Решение 7 (продолжение 2)
Решение 8. №1382 (с. 411)
1)

Решим уравнение $5 + \sin 2x = 5 (\sin x + \cos x)$.

Это уравнение является симметрическим относительно $\sin x$ и $\cos x$. Для его решения удобно ввести замену $t = \sin x + \cos x$.

Чтобы выразить $\sin 2x$ через $t$, возведем обе части замены в квадрат:

$t^2 = (\sin x + \cos x)^2 = \sin^2 x + 2 \sin x \cos x + \cos^2 x$.

Используя основное тригонометрическое тождество $\sin^2 x + \cos^2 x = 1$ и формулу синуса двойного угла $\sin 2x = 2 \sin x \cos x$, получаем:

$t^2 = 1 + \sin 2x$, откуда следует, что $\sin 2x = t^2 - 1$.

Подставим замену и полученное выражение в исходное уравнение:

$5 + (t^2 - 1) = 5t$

Упростим и получим квадратное уравнение относительно $t$:

$t^2 - 5t + 4 = 0$

Решим это уравнение. По теореме Виета (или через дискриминант) находим корни:

$t_1 = 1$, $t_2 = 4$.

Теперь выполним обратную замену для каждого из найденных корней.

Случай 1: $t = 4$.

$\sin x + \cos x = 4$.

Преобразуем левую часть с помощью метода введения вспомогательного угла. Умножим и разделим на $\sqrt{1^2+1^2} = \sqrt{2}$:

$\sqrt{2} \left(\frac{1}{\sqrt{2}}\sin x + \frac{1}{\sqrt{2}}\cos x\right) = 4$

$\sqrt{2} \sin(x + \frac{\pi}{4}) = 4$

$\sin(x + \frac{\pi}{4}) = \frac{4}{\sqrt{2}} = 2\sqrt{2}$.

Поскольку $2\sqrt{2} \approx 2.828 > 1$, а область значений функции синус $[-1, 1]$, это уравнение не имеет действительных решений.

Случай 2: $t = 1$.

$\sin x + \cos x = 1$.

Аналогично преобразуем левую часть:

$\sqrt{2} \sin(x + \frac{\pi}{4}) = 1$

$\sin(x + \frac{\pi}{4}) = \frac{1}{\sqrt{2}} = \frac{\sqrt{2}}{2}$.

Это стандартное тригонометрическое уравнение, которое распадается на две серии решений:

1) $x + \frac{\pi}{4} = \frac{\pi}{4} + 2\pi k \implies x = 2\pi k$, где $k \in \mathbb{Z}$.

2) $x + \frac{\pi}{4} = \frac{3\pi}{4} + 2\pi k \implies x = \frac{3\pi}{4} - \frac{\pi}{4} + 2\pi k \implies x = \frac{\pi}{2} + 2\pi k$, где $k \in \mathbb{Z}$.

Ответ: $2\pi k, \frac{\pi}{2} + 2\pi k$, где $k \in \mathbb{Z}$.

2)

Решим уравнение $2 + 2 \cos x = 3 \sin x \cos x + 2 \sin x$.

Перенесем все члены в левую часть:

$2 + 2 \cos x - 2 \sin x - 3 \sin x \cos x = 0$.

Перегруппируем слагаемые: $2(\cos x - \sin x) + 2 - 3\sin x \cos x = 0$.

Введем замену $t = \sin x - \cos x$.

Возведем обе части замены в квадрат:

$t^2 = (\sin x - \cos x)^2 = \sin^2 x - 2 \sin x \cos x + \cos^2 x = 1 - 2 \sin x \cos x$.

Отсюда выразим произведение $\sin x \cos x$:

$2 \sin x \cos x = 1 - t^2 \implies \sin x \cos x = \frac{1-t^2}{2}$.

Также заметим, что $\cos x - \sin x = -(\sin x - \cos x) = -t$.

Подставим эти выражения в преобразованное уравнение:

$2(-t) + 2 - 3\left(\frac{1-t^2}{2}\right) = 0$.

Умножим обе части уравнения на 2, чтобы избавиться от знаменателя:

$-4t + 4 - 3(1-t^2) = 0$

$-4t + 4 - 3 + 3t^2 = 0$

$3t^2 - 4t + 1 = 0$.

Решим полученное квадратное уравнение относительно $t$:

$D = (-4)^2 - 4 \cdot 3 \cdot 1 = 16 - 12 = 4 = 2^2$

$t_1 = \frac{4 - 2}{2 \cdot 3} = \frac{2}{6} = \frac{1}{3}$

$t_2 = \frac{4 + 2}{2 \cdot 3} = \frac{6}{6} = 1$

Выполним обратную замену для каждого из корней.

Случай 1: $t = 1$.

$\sin x - \cos x = 1$.

Используем метод вспомогательного угла:

$\sqrt{2}\left(\frac{1}{\sqrt{2}}\sin x - \frac{1}{\sqrt{2}}\cos x\right) = 1$

$\sqrt{2}\sin\left(x - \frac{\pi}{4}\right) = 1$

$\sin\left(x - \frac{\pi}{4}\right) = \frac{1}{\sqrt{2}} = \frac{\sqrt{2}}{2}$.

Получаем две серии решений:

а) $x - \frac{\pi}{4} = \frac{\pi}{4} + 2\pi k \implies x = \frac{\pi}{2} + 2\pi k$, где $k \in \mathbb{Z}$.

б) $x - \frac{\pi}{4} = \frac{3\pi}{4} + 2\pi k \implies x = \pi + 2\pi k$, где $k \in \mathbb{Z}$.

Случай 2: $t = 1/3$.

$\sin x - \cos x = \frac{1}{3}$.

$\sqrt{2}\sin\left(x - \frac{\pi}{4}\right) = \frac{1}{3}$

$\sin\left(x - \frac{\pi}{4}\right) = \frac{1}{3\sqrt{2}} = \frac{\sqrt{2}}{6}$.

Получаем еще две серии решений:

а) $x - \frac{\pi}{4} = \arcsin\left(\frac{\sqrt{2}}{6}\right) + 2\pi n \implies x = \frac{\pi}{4} + \arcsin\left(\frac{\sqrt{2}}{6}\right) + 2\pi n$, где $n \in \mathbb{Z}$.

б) $x - \frac{\pi}{4} = \pi - \arcsin\left(\frac{\sqrt{2}}{6}\right) + 2\pi n \implies x = \frac{5\pi}{4} - \arcsin\left(\frac{\sqrt{2}}{6}\right) + 2\pi n$, где $n \in \mathbb{Z}$.

Ответ: $\frac{\pi}{2} + 2\pi k, \pi + 2\pi k, \frac{\pi}{4} + \arcsin(\frac{\sqrt{2}}{6}) + 2\pi n, \frac{5\pi}{4} - \arcsin(\frac{\sqrt{2}}{6}) + 2\pi n$, где $k, n \in \mathbb{Z}$.

Помогло решение? Оставьте отзыв в комментариях ниже.

Присоединяйтесь к Телеграм-группе @top_gdz

Присоединиться

Мы подготовили для вас ответ c подробным объяснением домашего задания по алгебре за 10-11 класс, для упражнения номер 1382 расположенного на странице 411 к учебнику 2014 года издания для учащихся школ и гимназий.

Теперь на нашем сайте ГДЗ.ТОП вы всегда легко и бесплатно найдёте условие с правильным ответом на вопрос «Как решить ДЗ» и «Как сделать» задание по алгебре к упражнению №1382 (с. 411), авторов: Алимов (Шавкат Арифджанович), Колягин (Юрий Михайлович), Ткачева (Мария Владимировна), Федорова (Надежда Евгеньевна), Шабунин (Михаил Иванович), ФГОС (старый) базовый и углублённый уровень обучения учебного пособия издательства Просвещение.