Номер 1384, страница 411 - гдз по алгебре 10-11 класс учебник Алимов, Колягин

Алгебра, 10-11 класс Учебник, авторы: Алимов Шавкат Арифджанович, Колягин Юрий Михайлович, Ткачева Мария Владимировна, Федорова Надежда Евгеньевна, Шабунин Михаил Иванович, издательство Просвещение, Москва, 2014

Авторы: Алимов Ш. А., Колягин Ю. М., Ткачева М. В., Федорова Н. Е., Шабунин М. И.

Тип: Учебник

Издательство: Просвещение

Год издания: 2014 - 2025

Уровень обучения: базовый и углублённый

Цвет обложки: синий, фиолетовый

ISBN: 978-5-09-112136-0

Допущено Министерством просвещения Российской Федерации

Математика: алгебра и начала математического анализа, геометрия

Популярные ГДЗ в 10 классе

Упражнения для итогового повторения курса алгебры и начал математического анализа. 2. Уравнения - номер 1384, страница 411.

№1384 (с. 411)
Условие. №1384 (с. 411)
скриншот условия
Алгебра, 10-11 класс Учебник, авторы: Алимов Шавкат Арифджанович, Колягин Юрий Михайлович, Ткачева Мария Владимировна, Федорова Надежда Евгеньевна, Шабунин Михаил Иванович, издательство Просвещение, Москва, 2014, страница 411, номер 1384, Условие

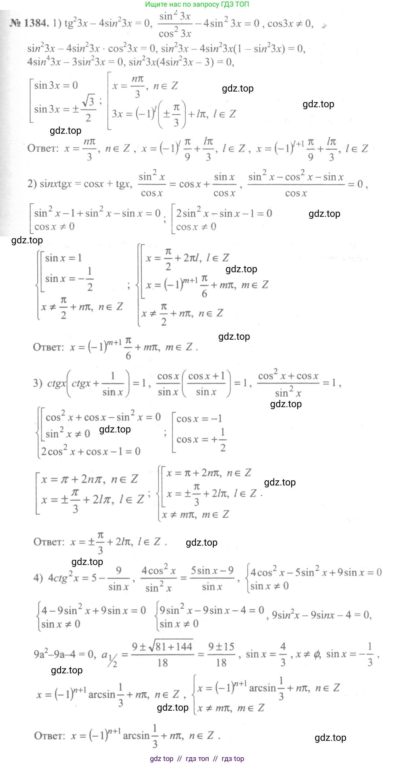
1384 1) $\text{tg}^2 3x - 4 \sin^2 3x = 0;$

2) $\sin x \text{tg} x = \cos x + \text{tg} x;$

3) $\text{ctg} x \left(\text{ctg} x + \frac{1}{\sin x}\right) = 1;$

4) $4 \text{ctg}^2 x = 5 - \frac{9}{\sin x}.$

Решение 1. №1384 (с. 411)
Алгебра, 10-11 класс Учебник, авторы: Алимов Шавкат Арифджанович, Колягин Юрий Михайлович, Ткачева Мария Владимировна, Федорова Надежда Евгеньевна, Шабунин Михаил Иванович, издательство Просвещение, Москва, 2014, страница 411, номер 1384, Решение 1
Алгебра, 10-11 класс Учебник, авторы: Алимов Шавкат Арифджанович, Колягин Юрий Михайлович, Ткачева Мария Владимировна, Федорова Надежда Евгеньевна, Шабунин Михаил Иванович, издательство Просвещение, Москва, 2014, страница 411, номер 1384, Решение 1 (продолжение 2)
Алгебра, 10-11 класс Учебник, авторы: Алимов Шавкат Арифджанович, Колягин Юрий Михайлович, Ткачева Мария Владимировна, Федорова Надежда Евгеньевна, Шабунин Михаил Иванович, издательство Просвещение, Москва, 2014, страница 411, номер 1384, Решение 1 (продолжение 3)
Алгебра, 10-11 класс Учебник, авторы: Алимов Шавкат Арифджанович, Колягин Юрий Михайлович, Ткачева Мария Владимировна, Федорова Надежда Евгеньевна, Шабунин Михаил Иванович, издательство Просвещение, Москва, 2014, страница 411, номер 1384, Решение 1 (продолжение 4)
Решение 2. №1384 (с. 411)
Алгебра, 10-11 класс Учебник, авторы: Алимов Шавкат Арифджанович, Колягин Юрий Михайлович, Ткачева Мария Владимировна, Федорова Надежда Евгеньевна, Шабунин Михаил Иванович, издательство Просвещение, Москва, 2014, страница 411, номер 1384, Решение 2
Алгебра, 10-11 класс Учебник, авторы: Алимов Шавкат Арифджанович, Колягин Юрий Михайлович, Ткачева Мария Владимировна, Федорова Надежда Евгеньевна, Шабунин Михаил Иванович, издательство Просвещение, Москва, 2014, страница 411, номер 1384, Решение 2 (продолжение 2)
Алгебра, 10-11 класс Учебник, авторы: Алимов Шавкат Арифджанович, Колягин Юрий Михайлович, Ткачева Мария Владимировна, Федорова Надежда Евгеньевна, Шабунин Михаил Иванович, издательство Просвещение, Москва, 2014, страница 411, номер 1384, Решение 2 (продолжение 3)
Решение 5. №1384 (с. 411)
Алгебра, 10-11 класс Учебник, авторы: Алимов Шавкат Арифджанович, Колягин Юрий Михайлович, Ткачева Мария Владимировна, Федорова Надежда Евгеньевна, Шабунин Михаил Иванович, издательство Просвещение, Москва, 2014, страница 411, номер 1384, Решение 5
Решение 7. №1384 (с. 411)
Алгебра, 10-11 класс Учебник, авторы: Алимов Шавкат Арифджанович, Колягин Юрий Михайлович, Ткачева Мария Владимировна, Федорова Надежда Евгеньевна, Шабунин Михаил Иванович, издательство Просвещение, Москва, 2014, страница 411, номер 1384, Решение 7
Алгебра, 10-11 класс Учебник, авторы: Алимов Шавкат Арифджанович, Колягин Юрий Михайлович, Ткачева Мария Владимировна, Федорова Надежда Евгеньевна, Шабунин Михаил Иванович, издательство Просвещение, Москва, 2014, страница 411, номер 1384, Решение 7 (продолжение 2) Алгебра, 10-11 класс Учебник, авторы: Алимов Шавкат Арифджанович, Колягин Юрий Михайлович, Ткачева Мария Владимировна, Федорова Надежда Евгеньевна, Шабунин Михаил Иванович, издательство Просвещение, Москва, 2014, страница 411, номер 1384, Решение 7 (продолжение 3) Алгебра, 10-11 класс Учебник, авторы: Алимов Шавкат Арифджанович, Колягин Юрий Михайлович, Ткачева Мария Владимировна, Федорова Надежда Евгеньевна, Шабунин Михаил Иванович, издательство Просвещение, Москва, 2014, страница 411, номер 1384, Решение 7 (продолжение 4)
Решение 8. №1384 (с. 411)

1) Дано уравнение $ \operatorname{tg}^2 3x - 4 \sin^2 3x = 0 $.
Область допустимых значений (ОДЗ) определяется условием существования тангенса: $ \cos(3x) \neq 0 $, что означает $ 3x \neq \frac{\pi}{2} + \pi n $, и, следовательно, $ x \neq \frac{\pi}{6} + \frac{\pi n}{3} $, где $ n \in \mathbb{Z} $.
Запишем тангенс через синус и косинус: $ \frac{\sin^2 3x}{\cos^2 3x} - 4 \sin^2 3x = 0 $.
Вынесем общий множитель $ \sin^2 3x $ за скобки:
$ \sin^2 3x \left( \frac{1}{\cos^2 3x} - 4 \right) = 0 $.
Произведение равно нулю, если один из множителей равен нулю.
Случай 1: $ \sin^2 3x = 0 $
$ \sin 3x = 0 $
$ 3x = \pi k $, где $ k \in \mathbb{Z} $
$ x = \frac{\pi k}{3} $
Эти решения удовлетворяют ОДЗ, так как если $ 3x = \pi k $, то $ \cos(3x) = \cos(\pi k) = \pm 1 \neq 0 $.
Случай 2: $ \frac{1}{\cos^2 3x} - 4 = 0 $
$ \frac{1}{\cos^2 3x} = 4 $
$ \cos^2 3x = \frac{1}{4} $
$ \cos 3x = \pm \frac{1}{2} $
Это дает две серии решений:
$ 3x = \pm \frac{\pi}{3} + 2\pi m \implies x = \pm \frac{\pi}{9} + \frac{2\pi m}{3} $, $ m \in \mathbb{Z} $
$ 3x = \pm \frac{2\pi}{3} + 2\pi p \implies x = \pm \frac{2\pi}{9} + \frac{2\pi p}{3} $, $ p \in \mathbb{Z} $
Все полученные серии решений ($ x = \frac{\pi k}{3} $, $ x = \pm \frac{\pi}{9} + \frac{2\pi m}{3} $, $ x = \pm \frac{2\pi}{9} + \frac{2\pi p}{3} $) можно объединить в одну общую формулу: $ x = \frac{\pi n}{9} $, где $ n \in \mathbb{Z} $.
Проверим: если $n$ кратно 3 ($n=3k$), то $x = \frac{3\pi k}{9} = \frac{\pi k}{3}$, что соответствует первому случаю. Если $n$ не кратно 3, то $3x = \frac{\pi n}{3}$ и $\cos^2(3x) = \cos^2(\frac{\pi n}{3}) = (\pm\frac{1}{2})^2 = \frac{1}{4}$, что соответствует второму случаю.
Ответ: $ x = \frac{\pi n}{9}, n \in \mathbb{Z} $.

2) Дано уравнение $ \sin x \operatorname{tg} x = \cos x + \operatorname{tg} x $.
ОДЗ: $ \cos x \neq 0 \implies x \neq \frac{\pi}{2} + \pi k $, $ k \in \mathbb{Z} $.
Перенесем все члены в левую часть: $ \sin x \operatorname{tg} x - \operatorname{tg} x - \cos x = 0 $.
Сгруппируем и вынесем $ \operatorname{tg} x $ за скобки: $ \operatorname{tg} x(\sin x - 1) - \cos x = 0 $.
Заменим $ \operatorname{tg} x = \frac{\sin x}{\cos x} $: $ \frac{\sin x}{\cos x}(\sin x - 1) - \cos x = 0 $.
Умножим обе части уравнения на $ \cos x $ (что допустимо в рамках ОДЗ):
$ \sin x(\sin x - 1) - \cos^2 x = 0 $
$ \sin^2 x - \sin x - \cos^2 x = 0 $
Используем основное тригонометрическое тождество $ \cos^2 x = 1 - \sin^2 x $:
$ \sin^2 x - \sin x - (1 - \sin^2 x) = 0 $
$ 2\sin^2 x - \sin x - 1 = 0 $
Сделаем замену $ t = \sin x $, где $ |t| \le 1 $. Получим квадратное уравнение: $ 2t^2 - t - 1 = 0 $.
Корни: $ t_1 = \frac{1+3}{4} = 1 $ и $ t_2 = \frac{1-3}{4} = -\frac{1}{2} $.
Вернемся к замене:
1. $ \sin x = 1 \implies x = \frac{\pi}{2} + 2\pi n $, $ n \in \mathbb{Z} $. Эти значения не входят в ОДЗ, так как для них $ \cos x = 0 $. Это посторонние корни.
2. $ \sin x = -\frac{1}{2} \implies x = (-1)^{m}\arcsin(-\frac{1}{2}) + \pi m = (-1)^{m+1}\frac{\pi}{6} + \pi m $, $ m \in \mathbb{Z} $. Эти значения удовлетворяют ОДЗ.
Ответ: $ x = (-1)^{k+1} \frac{\pi}{6} + \pi k, k \in \mathbb{Z} $.

3) Дано уравнение $ \operatorname{ctg} x \left( \operatorname{ctg} x + \frac{1}{\sin x} \right) = 1 $.
ОДЗ: $ \sin x \neq 0 \implies x \neq \pi k $, $ k \in \mathbb{Z} $.
Заменим $ \operatorname{ctg} x = \frac{\cos x}{\sin x} $:
$ \frac{\cos x}{\sin x} \left( \frac{\cos x}{\sin x} + \frac{1}{\sin x} \right) = 1 $
$ \frac{\cos x}{\sin x} \cdot \frac{\cos x + 1}{\sin x} = 1 $
$ \frac{\cos x(\cos x + 1)}{\sin^2 x} = 1 $
Умножим обе части на $ \sin^2 x $: $ \cos x(\cos x + 1) = \sin^2 x $.
Заменим $ \sin^2 x = 1 - \cos^2 x $: $ \cos^2 x + \cos x = 1 - \cos^2 x $.
$ 2\cos^2 x + \cos x - 1 = 0 $.
Сделаем замену $ t = \cos x $, где $ |t| \le 1 $: $ 2t^2 + t - 1 = 0 $.
Корни: $ t_1 = \frac{-1+3}{4} = \frac{1}{2} $ и $ t_2 = \frac{-1-3}{4} = -1 $.
Вернемся к замене:
1. $ \cos x = \frac{1}{2} \implies x = \pm \frac{\pi}{3} + 2\pi n $, $ n \in \mathbb{Z} $. Эти значения удовлетворяют ОДЗ, так как $ \sin(\pm \frac{\pi}{3}) = \pm \frac{\sqrt{3}}{2} \neq 0 $.
2. $ \cos x = -1 \implies x = \pi + 2\pi m $, $ m \in \mathbb{Z} $. Эти значения не входят в ОДЗ, так как для них $ \sin x = 0 $. Это посторонние корни.
Ответ: $ x = \pm \frac{\pi}{3} + 2\pi k, k \in \mathbb{Z} $.

4) Дано уравнение $ 4 \operatorname{ctg}^2 x = 5 - \frac{9}{\sin x} $.
ОДЗ: $ \sin x \neq 0 \implies x \neq \pi k $, $ k \in \mathbb{Z} $.
Используем тождество $ \operatorname{ctg}^2 x = \frac{\cos^2 x}{\sin^2 x} = \frac{1-\sin^2 x}{\sin^2 x} = \frac{1}{\sin^2 x} - 1 $:
$ 4 \left( \frac{1}{\sin^2 x} - 1 \right) = 5 - \frac{9}{\sin x} $
$ \frac{4}{\sin^2 x} - 4 = 5 - \frac{9}{\sin x} $
$ \frac{4}{\sin^2 x} + \frac{9}{\sin x} - 9 = 0 $
Сделаем замену $ t = \frac{1}{\sin x} $. Так как $ |\sin x| \le 1 $ и $ \sin x \neq 0 $, то $ |t| \ge 1 $.
Получим квадратное уравнение: $ 4t^2 + 9t - 9 = 0 $.
Дискриминант $ D = 9^2 - 4 \cdot 4 \cdot (-9) = 81 + 144 = 225 = 15^2 $.
$ t = \frac{-9 \pm 15}{8} $.
$ t_1 = \frac{-9+15}{8} = \frac{6}{8} = \frac{3}{4} $. Этот корень не удовлетворяет условию $ |t| \ge 1 $.
$ t_2 = \frac{-9-15}{8} = -\frac{24}{8} = -3 $. Этот корень удовлетворяет условию $ |t| \ge 1 $.
Вернемся к замене: $ \frac{1}{\sin x} = -3 \implies \sin x = -\frac{1}{3} $.
Решение этого уравнения: $ x = (-1)^n \arcsin(-\frac{1}{3}) + \pi n $, что можно записать как $ x = (-1)^{n+1} \arcsin(\frac{1}{3}) + \pi n $, $ n \in \mathbb{Z} $.
Ответ: $ x = (-1)^{k+1} \arcsin\left(\frac{1}{3}\right) + \pi k, k \in \mathbb{Z} $.

Помогло решение? Оставьте отзыв в комментариях ниже.

Присоединяйтесь к Телеграм-группе @top_gdz

Присоединиться

Мы подготовили для вас ответ c подробным объяснением домашего задания по алгебре за 10-11 класс, для упражнения номер 1384 расположенного на странице 411 к учебнику 2014 года издания для учащихся школ и гимназий.

Теперь на нашем сайте ГДЗ.ТОП вы всегда легко и бесплатно найдёте условие с правильным ответом на вопрос «Как решить ДЗ» и «Как сделать» задание по алгебре к упражнению №1384 (с. 411), авторов: Алимов (Шавкат Арифджанович), Колягин (Юрий Михайлович), Ткачева (Мария Владимировна), Федорова (Надежда Евгеньевна), Шабунин (Михаил Иванович), ФГОС (старый) базовый и углублённый уровень обучения учебного пособия издательства Просвещение.