Номер 1385, страница 412 - гдз по алгебре 10-11 класс учебник Алимов, Колягин

Алгебра, 10-11 класс Учебник, авторы: Алимов Шавкат Арифджанович, Колягин Юрий Михайлович, Ткачева Мария Владимировна, Федорова Надежда Евгеньевна, Шабунин Михаил Иванович, издательство Просвещение, Москва, 2014

Авторы: Алимов Ш. А., Колягин Ю. М., Ткачева М. В., Федорова Н. Е., Шабунин М. И.

Тип: Учебник

Издательство: Просвещение

Год издания: 2014 - 2025

Уровень обучения: базовый и углублённый

Цвет обложки: синий, фиолетовый

ISBN: 978-5-09-112136-0

Допущено Министерством просвещения Российской Федерации

Математика: алгебра и начала математического анализа, геометрия

Популярные ГДЗ в 10 классе

Упражнения для итогового повторения курса алгебры и начал математического анализа. 2. Уравнения - номер 1385, страница 412.

№1385 (с. 412)
Условие. №1385 (с. 412)
скриншот условия
Алгебра, 10-11 класс Учебник, авторы: Алимов Шавкат Арифджанович, Колягин Юрий Михайлович, Ткачева Мария Владимировна, Федорова Надежда Евгеньевна, Шабунин Михаил Иванович, издательство Просвещение, Москва, 2014, страница 412, номер 1385, Условие

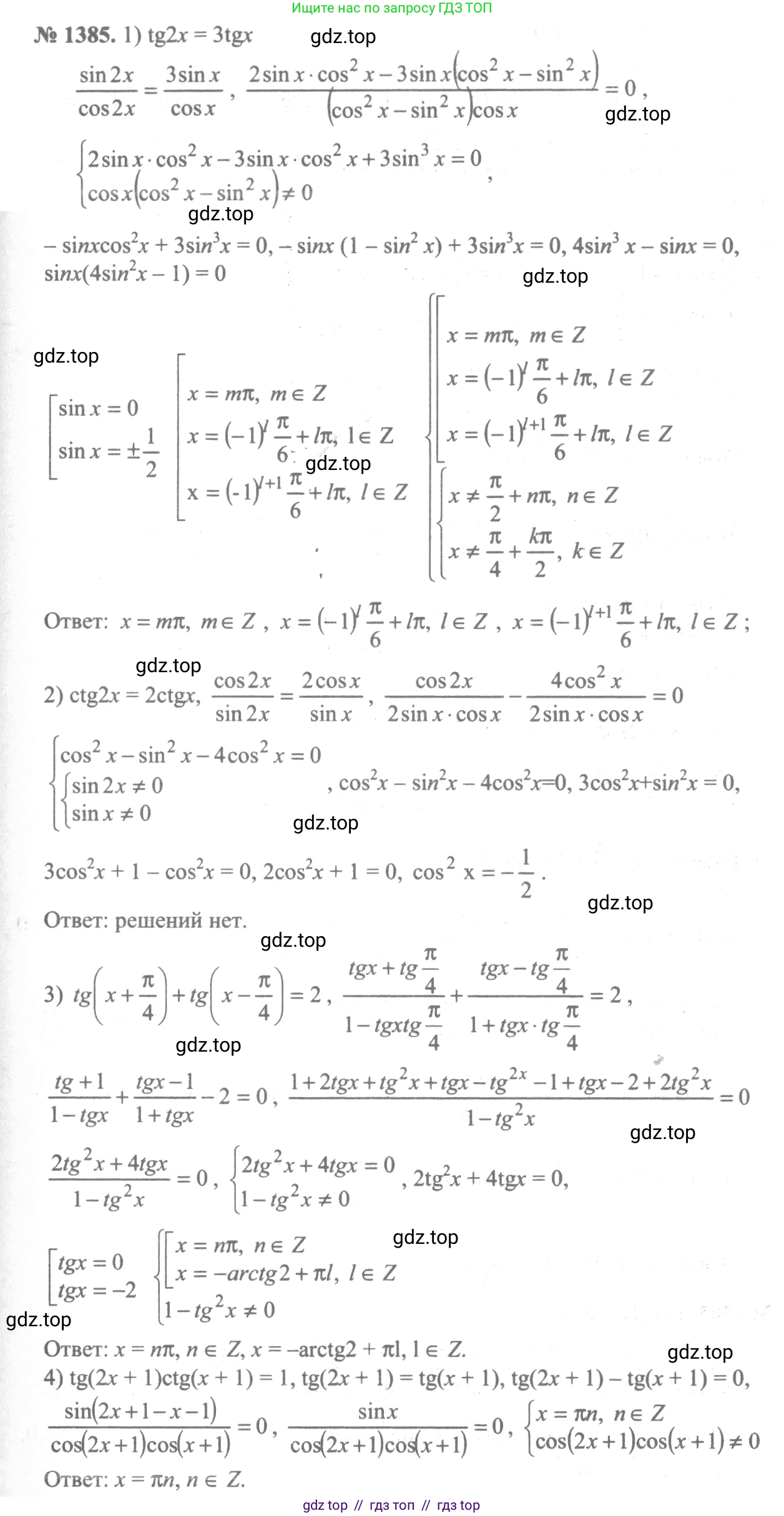
1385 1) $ \operatorname{tg} 2x = 3 \operatorname{tg} x; $

2) $ \operatorname{ctg} 2x = 2 \operatorname{ctg} x; $

3) $ \operatorname{tg} \left(x + \frac{\pi}{4}\right) + \operatorname{tg} \left(x - \frac{\pi}{4}\right) = 2; $

4) $ \operatorname{tg} (2x + 1) \operatorname{ctg} (x + 1) = 1. $

Решение 1. №1385 (с. 412)
Алгебра, 10-11 класс Учебник, авторы: Алимов Шавкат Арифджанович, Колягин Юрий Михайлович, Ткачева Мария Владимировна, Федорова Надежда Евгеньевна, Шабунин Михаил Иванович, издательство Просвещение, Москва, 2014, страница 412, номер 1385, Решение 1
Алгебра, 10-11 класс Учебник, авторы: Алимов Шавкат Арифджанович, Колягин Юрий Михайлович, Ткачева Мария Владимировна, Федорова Надежда Евгеньевна, Шабунин Михаил Иванович, издательство Просвещение, Москва, 2014, страница 412, номер 1385, Решение 1 (продолжение 2)
Алгебра, 10-11 класс Учебник, авторы: Алимов Шавкат Арифджанович, Колягин Юрий Михайлович, Ткачева Мария Владимировна, Федорова Надежда Евгеньевна, Шабунин Михаил Иванович, издательство Просвещение, Москва, 2014, страница 412, номер 1385, Решение 1 (продолжение 3)
Алгебра, 10-11 класс Учебник, авторы: Алимов Шавкат Арифджанович, Колягин Юрий Михайлович, Ткачева Мария Владимировна, Федорова Надежда Евгеньевна, Шабунин Михаил Иванович, издательство Просвещение, Москва, 2014, страница 412, номер 1385, Решение 1 (продолжение 4)
Решение 2. №1385 (с. 412)
Алгебра, 10-11 класс Учебник, авторы: Алимов Шавкат Арифджанович, Колягин Юрий Михайлович, Ткачева Мария Владимировна, Федорова Надежда Евгеньевна, Шабунин Михаил Иванович, издательство Просвещение, Москва, 2014, страница 412, номер 1385, Решение 2
Алгебра, 10-11 класс Учебник, авторы: Алимов Шавкат Арифджанович, Колягин Юрий Михайлович, Ткачева Мария Владимировна, Федорова Надежда Евгеньевна, Шабунин Михаил Иванович, издательство Просвещение, Москва, 2014, страница 412, номер 1385, Решение 2 (продолжение 2)
Алгебра, 10-11 класс Учебник, авторы: Алимов Шавкат Арифджанович, Колягин Юрий Михайлович, Ткачева Мария Владимировна, Федорова Надежда Евгеньевна, Шабунин Михаил Иванович, издательство Просвещение, Москва, 2014, страница 412, номер 1385, Решение 2 (продолжение 3)
Решение 5. №1385 (с. 412)
Алгебра, 10-11 класс Учебник, авторы: Алимов Шавкат Арифджанович, Колягин Юрий Михайлович, Ткачева Мария Владимировна, Федорова Надежда Евгеньевна, Шабунин Михаил Иванович, издательство Просвещение, Москва, 2014, страница 412, номер 1385, Решение 5
Решение 7. №1385 (с. 412)
Алгебра, 10-11 класс Учебник, авторы: Алимов Шавкат Арифджанович, Колягин Юрий Михайлович, Ткачева Мария Владимировна, Федорова Надежда Евгеньевна, Шабунин Михаил Иванович, издательство Просвещение, Москва, 2014, страница 412, номер 1385, Решение 7
Алгебра, 10-11 класс Учебник, авторы: Алимов Шавкат Арифджанович, Колягин Юрий Михайлович, Ткачева Мария Владимировна, Федорова Надежда Евгеньевна, Шабунин Михаил Иванович, издательство Просвещение, Москва, 2014, страница 412, номер 1385, Решение 7 (продолжение 2) Алгебра, 10-11 класс Учебник, авторы: Алимов Шавкат Арифджанович, Колягин Юрий Михайлович, Ткачева Мария Владимировна, Федорова Надежда Евгеньевна, Шабунин Михаил Иванович, издательство Просвещение, Москва, 2014, страница 412, номер 1385, Решение 7 (продолжение 3)
Решение 8. №1385 (с. 412)

1) $\tg 2x = 3 \tg x$

Определим область допустимых значений (ОДЗ). Тангенс определен, когда его аргумент не равен $\frac{\pi}{2} + \pi k, k \in \mathbb{Z}$.

1. $2x \neq \frac{\pi}{2} + \pi n \implies x \neq \frac{\pi}{4} + \frac{\pi n}{2}, n \in \mathbb{Z}$

2. $x \neq \frac{\pi}{2} + \pi m, m \in \mathbb{Z}$

Используем формулу тангенса двойного угла: $\tg 2x = \frac{2 \tg x}{1 - \tg^2 x}$.

Подставим в исходное уравнение:

$\frac{2 \tg x}{1 - \tg^2 x} = 3 \tg x$

Перенесем все в левую часть и вынесем $\tg x$ за скобки:

$\tg x \left( \frac{2}{1 - \tg^2 x} - 3 \right) = 0$

Это равенство выполняется в двух случаях:

Случай 1:

$\tg x = 0$

$x = \pi k, k \in \mathbb{Z}$

Эти корни удовлетворяют ОДЗ.

Случай 2:

$\frac{2}{1 - \tg^2 x} - 3 = 0$

$\frac{2}{1 - \tg^2 x} = 3$

$2 = 3(1 - \tg^2 x)$

$2 = 3 - 3 \tg^2 x$

$3 \tg^2 x = 1$

$\tg^2 x = \frac{1}{3}$

$\tg x = \pm \sqrt{\frac{1}{3}} = \pm \frac{1}{\sqrt{3}} = \pm \frac{\sqrt{3}}{3}$

Отсюда получаем две серии корней:

$\tg x = \frac{\sqrt{3}}{3} \implies x = \frac{\pi}{6} + \pi k, k \in \mathbb{Z}$

$\tg x = -\frac{\sqrt{3}}{3} \implies x = -\frac{\pi}{6} + \pi k, k \in \mathbb{Z}$

Эти серии можно объединить в одну: $x = \pm \frac{\pi}{6} + \pi k, k \in \mathbb{Z}$.

Все найденные корни удовлетворяют ОДЗ.

Ответ: $x = \pi k, x = \pm \frac{\pi}{6} + \pi k, k \in \mathbb{Z}$.

2) $\ctg 2x = 2 \ctg x$

ОДЗ: Аргумент котангенса не должен быть равен $\pi k, k \in \mathbb{Z}$.

1. $2x \neq \pi n \implies x \neq \frac{\pi n}{2}, n \in \mathbb{Z}$

2. $x \neq \pi m, m \in \mathbb{Z}$

Объединяя условия, получаем $x \neq \frac{\pi n}{2}, n \in \mathbb{Z}$.

Используем формулу котангенса двойного угла: $\ctg 2x = \frac{\ctg^2 x - 1}{2 \ctg x}$.

Подставим в уравнение:

$\frac{\ctg^2 x - 1}{2 \ctg x} = 2 \ctg x$

Умножим обе части на $2 \ctg x$, учитывая, что по ОДЗ $\ctg x$ не равен нулю и определен.

$\ctg^2 x - 1 = 4 \ctg^2 x$

$3 \ctg^2 x = -1$

$\ctg^2 x = -\frac{1}{3}$

Квадрат действительного числа не может быть отрицательным, следовательно, данное уравнение не имеет действительных решений.

Ответ: решений нет.

3) $\tg\left(x+\frac{\pi}{4}\right) + \tg\left(x-\frac{\pi}{4}\right) = 2$

ОДЗ: Аргументы тангенсов не должны быть равны $\frac{\pi}{2} + \pi k, k \in \mathbb{Z}$.

1. $x + \frac{\pi}{4} \neq \frac{\pi}{2} + \pi n \implies x \neq \frac{\pi}{4} + \pi n, n \in \mathbb{Z}$

2. $x - \frac{\pi}{4} \neq \frac{\pi}{2} + \pi m \implies x \neq \frac{3\pi}{4} + \pi m, m \in \mathbb{Z}$

Используем формулы тангенса суммы и разности:

$\tg\left(x+\frac{\pi}{4}\right) = \frac{\tg x + \tg\frac{\pi}{4}}{1 - \tg x \tg\frac{\pi}{4}} = \frac{\tg x + 1}{1 - \tg x}$

$\tg\left(x-\frac{\pi}{4}\right) = \frac{\tg x - \tg\frac{\pi}{4}}{1 + \tg x \tg\frac{\pi}{4}} = \frac{\tg x - 1}{1 + \tg x}$

Подставим в уравнение:

$\frac{\tg x + 1}{1 - \tg x} + \frac{\tg x - 1}{1 + \tg x} = 2$

Приведем к общему знаменателю $(1 - \tg x)(1 + \tg x) = 1 - \tg^2 x$:

$\frac{(\tg x + 1)(1 + \tg x) + (\tg x - 1)(1 - \tg x)}{1 - \tg^2 x} = 2$

$\frac{(\tg x + 1)^2 - (1 - \tg x)^2}{1 - \tg^2 x} = 2$

$\frac{(\tg^2 x + 2\tg x + 1) - (1 - 2\tg x + \tg^2 x)}{1 - \tg^2 x} = 2$

$\frac{4 \tg x}{1 - \tg^2 x} = 2$

Разделим обе части на 2:

$\frac{2 \tg x}{1 - \tg^2 x} = 1$

Левая часть является формулой тангенса двойного угла $\tg 2x$:

$\tg 2x = 1$

$2x = \frac{\pi}{4} + \pi k, k \in \mathbb{Z}$

$x = \frac{\pi}{8} + \frac{\pi k}{2}, k \in \mathbb{Z}$

Данная серия корней не совпадает с ограничениями ОДЗ, значит, является решением.

Ответ: $x = \frac{\pi}{8} + \frac{\pi k}{2}, k \in \mathbb{Z}$.

4) $\tg(2x+1) \ctg(x+1) = 1$

ОДЗ:

1. Аргумент тангенса не равен $\frac{\pi}{2} + \pi n$: $2x+1 \neq \frac{\pi}{2} + \pi n \implies x \neq \frac{\pi}{4} - \frac{1}{2} + \frac{\pi n}{2}, n \in \mathbb{Z}$

2. Аргумент котангенса не равен $\pi m$: $x+1 \neq \pi m \implies x \neq -1 + \pi m, m \in \mathbb{Z}$

Преобразуем уравнение, используя тождество $\ctg \alpha = \frac{1}{\tg \alpha}$:

$\tg(2x+1) \cdot \frac{1}{\tg(x+1)} = 1$

Отсюда следует, что $\tg(x+1)$ не должен быть равен нулю, что уже учтено в ОДЗ для котангенса ($x+1 \neq \pi m$).

$\tg(2x+1) = \tg(x+1)$

Равенство тангенсов $\tg \alpha = \tg \beta$ выполняется, когда $\alpha = \beta + \pi k, k \in \mathbb{Z}$.

$2x+1 = (x+1) + \pi k$

$2x+1 = x+1 + \pi k$

$2x - x = 1 - 1 + \pi k$

$x = \pi k, k \in \mathbb{Z}$

Проверим, удовлетворяет ли решение ОДЗ.

1. $\pi k = \frac{\pi}{4} - \frac{1}{2} + \frac{\pi n}{2} \implies \pi(k - \frac{n}{2} - \frac{1}{4}) = -\frac{1}{2}$. Равенство невозможно, так как слева стоит произведение иррационального числа $\pi$ на рациональное, а справа рациональное.

2. $\pi k = -1 + \pi m \implies \pi(k-m) = -1$. Равенство невозможно, так как $\pi$ иррационально.

Решение удовлетворяет ОДЗ.

Ответ: $x = \pi k, k \in \mathbb{Z}$.

Помогло решение? Оставьте отзыв в комментариях ниже.

Присоединяйтесь к Телеграм-группе @top_gdz

Присоединиться

Мы подготовили для вас ответ c подробным объяснением домашего задания по алгебре за 10-11 класс, для упражнения номер 1385 расположенного на странице 412 к учебнику 2014 года издания для учащихся школ и гимназий.

Теперь на нашем сайте ГДЗ.ТОП вы всегда легко и бесплатно найдёте условие с правильным ответом на вопрос «Как решить ДЗ» и «Как сделать» задание по алгебре к упражнению №1385 (с. 412), авторов: Алимов (Шавкат Арифджанович), Колягин (Юрий Михайлович), Ткачева (Мария Владимировна), Федорова (Надежда Евгеньевна), Шабунин (Михаил Иванович), ФГОС (старый) базовый и углублённый уровень обучения учебного пособия издательства Просвещение.