Номер 1383, страница 411 - гдз по алгебре 10-11 класс учебник Алимов, Колягин

Алгебра, 10-11 класс Учебник, авторы: Алимов Шавкат Арифджанович, Колягин Юрий Михайлович, Ткачева Мария Владимировна, Федорова Надежда Евгеньевна, Шабунин Михаил Иванович, издательство Просвещение, Москва, 2014

Авторы: Алимов Ш. А., Колягин Ю. М., Ткачева М. В., Федорова Н. Е., Шабунин М. И.

Тип: Учебник

Издательство: Просвещение

Год издания: 2014 - 2025

Уровень обучения: базовый и углублённый

Цвет обложки: синий, фиолетовый

ISBN: 978-5-09-112136-0

Допущено Министерством просвещения Российской Федерации

Математика: алгебра и начала математического анализа, геометрия

Популярные ГДЗ в 10 классе

Упражнения для итогового повторения курса алгебры и начал математического анализа. 2. Уравнения - номер 1383, страница 411.

№1383 (с. 411)
Условие. №1383 (с. 411)
скриншот условия
Алгебра, 10-11 класс Учебник, авторы: Алимов Шавкат Арифджанович, Колягин Юрий Михайлович, Ткачева Мария Владимировна, Федорова Надежда Евгеньевна, Шабунин Михаил Иванович, издательство Просвещение, Москва, 2014, страница 411, номер 1383, Условие

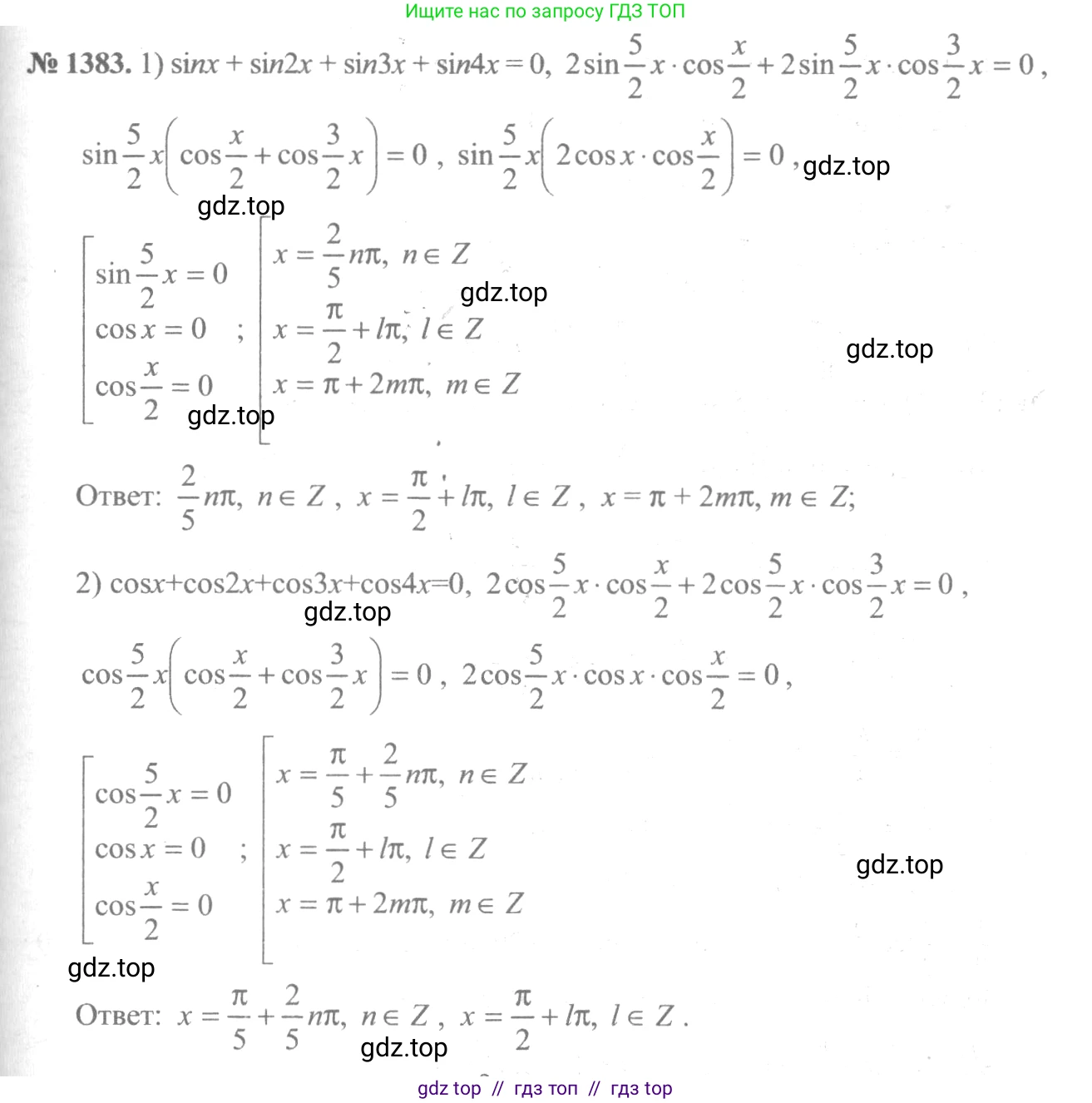
1383 1) $\sin x + \sin 2x + \sin 3x + \sin 4x = 0$;

2) $\cos x + \cos 2x + \cos 3x + \cos 4x = 0.$

Решение 1. №1383 (с. 411)
Алгебра, 10-11 класс Учебник, авторы: Алимов Шавкат Арифджанович, Колягин Юрий Михайлович, Ткачева Мария Владимировна, Федорова Надежда Евгеньевна, Шабунин Михаил Иванович, издательство Просвещение, Москва, 2014, страница 411, номер 1383, Решение 1
Алгебра, 10-11 класс Учебник, авторы: Алимов Шавкат Арифджанович, Колягин Юрий Михайлович, Ткачева Мария Владимировна, Федорова Надежда Евгеньевна, Шабунин Михаил Иванович, издательство Просвещение, Москва, 2014, страница 411, номер 1383, Решение 1 (продолжение 2)
Решение 2. №1383 (с. 411)
Алгебра, 10-11 класс Учебник, авторы: Алимов Шавкат Арифджанович, Колягин Юрий Михайлович, Ткачева Мария Владимировна, Федорова Надежда Евгеньевна, Шабунин Михаил Иванович, издательство Просвещение, Москва, 2014, страница 411, номер 1383, Решение 2
Решение 3. №1383 (с. 411)
Алгебра, 10-11 класс Учебник, авторы: Алимов Шавкат Арифджанович, Колягин Юрий Михайлович, Ткачева Мария Владимировна, Федорова Надежда Евгеньевна, Шабунин Михаил Иванович, издательство Просвещение, Москва, 2014, страница 411, номер 1383, Решение 3
Решение 5. №1383 (с. 411)
Алгебра, 10-11 класс Учебник, авторы: Алимов Шавкат Арифджанович, Колягин Юрий Михайлович, Ткачева Мария Владимировна, Федорова Надежда Евгеньевна, Шабунин Михаил Иванович, издательство Просвещение, Москва, 2014, страница 411, номер 1383, Решение 5
Решение 7. №1383 (с. 411)
Алгебра, 10-11 класс Учебник, авторы: Алимов Шавкат Арифджанович, Колягин Юрий Михайлович, Ткачева Мария Владимировна, Федорова Надежда Евгеньевна, Шабунин Михаил Иванович, издательство Просвещение, Москва, 2014, страница 411, номер 1383, Решение 7 Алгебра, 10-11 класс Учебник, авторы: Алимов Шавкат Арифджанович, Колягин Юрий Михайлович, Ткачева Мария Владимировна, Федорова Надежда Евгеньевна, Шабунин Михаил Иванович, издательство Просвещение, Москва, 2014, страница 411, номер 1383, Решение 7 (продолжение 2)
Решение 8. №1383 (с. 411)

1) Решим уравнение $\sin x + \sin 2x + \sin 3x + \sin 4x = 0$.
Для решения сгруппируем слагаемые: $(\sin 4x + \sin x) + (\sin 3x + \sin 2x) = 0$.
Применим формулу суммы синусов $\sin \alpha + \sin \beta = 2 \sin\frac{\alpha+\beta}{2} \cos\frac{\alpha-\beta}{2}$:
Для первой группы: $\sin 4x + \sin x = 2 \sin\frac{4x+x}{2} \cos\frac{4x-x}{2} = 2 \sin\frac{5x}{2} \cos\frac{3x}{2}$.
Для второй группы: $\sin 3x + \sin 2x = 2 \sin\frac{3x+2x}{2} \cos\frac{3x-2x}{2} = 2 \sin\frac{5x}{2} \cos\frac{x}{2}$.
Подставим полученные выражения обратно в уравнение:
$2 \sin\frac{5x}{2} \cos\frac{3x}{2} + 2 \sin\frac{5x}{2} \cos\frac{x}{2} = 0$.
Вынесем общий множитель $2 \sin\frac{5x}{2}$ за скобки:
$2 \sin\frac{5x}{2} (\cos\frac{3x}{2} + \cos\frac{x}{2}) = 0$.
Теперь применим формулу суммы косинусов $\cos \alpha + \cos \beta = 2 \cos\frac{\alpha+\beta}{2} \cos\frac{\alpha-\beta}{2}$ к выражению в скобках:
$\cos\frac{3x}{2} + \cos\frac{x}{2} = 2 \cos\frac{\frac{3x}{2}+\frac{x}{2}}{2} \cos\frac{\frac{3x}{2}-\frac{x}{2}}{2} = 2 \cos\frac{2x}{2} \cos\frac{x}{2} = 2 \cos x \cos\frac{x}{2}$.
Уравнение принимает вид:
$2 \sin\frac{5x}{2} \cdot (2 \cos x \cos\frac{x}{2}) = 0$, или $4 \sin\frac{5x}{2} \cos x \cos\frac{x}{2} = 0$.
Произведение равно нулю, если хотя бы один из множителей равен нулю. Рассматриваем три случая:
1. $\sin\frac{5x}{2} = 0 \Rightarrow \frac{5x}{2} = \pi k \Rightarrow x = \frac{2\pi k}{5}, k \in \mathbb{Z}$.
2. $\cos x = 0 \Rightarrow x = \frac{\pi}{2} + \pi n, n \in \mathbb{Z}$.
3. $\cos\frac{x}{2} = 0 \Rightarrow \frac{x}{2} = \frac{\pi}{2} + \pi m \Rightarrow x = \pi + 2\pi m, m \in \mathbb{Z}$.
Эти три серии решений являются ответом к задаче.
Ответ: $x = \frac{2\pi k}{5}; x = \frac{\pi}{2} + \pi n; x = \pi + 2\pi m$, где $k, n, m \in \mathbb{Z}$.

2) Решим уравнение $\cos x + \cos 2x + \cos 3x + \cos 4x = 0$.
Сгруппируем слагаемые аналогично предыдущему пункту: $(\cos 4x + \cos x) + (\cos 3x + \cos 2x) = 0$.
Применим формулу суммы косинусов $\cos \alpha + \cos \beta = 2 \cos\frac{\alpha+\beta}{2} \cos\frac{\alpha-\beta}{2}$:
$2 \cos\frac{4x+x}{2} \cos\frac{4x-x}{2} + 2 \cos\frac{3x+2x}{2} \cos\frac{3x-2x}{2} = 0$.
$2 \cos\frac{5x}{2} \cos\frac{3x}{2} + 2 \cos\frac{5x}{2} \cos\frac{x}{2} = 0$.
Вынесем общий множитель $2 \cos\frac{5x}{2}$ за скобки:
$2 \cos\frac{5x}{2} (\cos\frac{3x}{2} + \cos\frac{x}{2}) = 0$.
Вновь применим формулу суммы косинусов к выражению в скобках:
$2 \cos\frac{5x}{2} \cdot (2 \cos x \cos\frac{x}{2}) = 0$, или $4 \cos\frac{5x}{2} \cos x \cos\frac{x}{2} = 0$.
Произведение равно нулю, если хотя бы один из множителей равен нулю. Рассматриваем три случая:
1. $\cos\frac{5x}{2} = 0 \Rightarrow \frac{5x}{2} = \frac{\pi}{2} + \pi k \Rightarrow x = \frac{\pi}{5} + \frac{2\pi k}{5}, k \in \mathbb{Z}$.
2. $\cos x = 0 \Rightarrow x = \frac{\pi}{2} + \pi n, n \in \mathbb{Z}$.
3. $\cos\frac{x}{2} = 0 \Rightarrow \frac{x}{2} = \frac{\pi}{2} + \pi m \Rightarrow x = \pi + 2\pi m, m \in \mathbb{Z}$.
Проверим, не является ли какая-либо из серий решений подмножеством другой.
Рассмотрим третью серию $x = \pi + 2\pi m$. Если подставить эти значения в $\cos\frac{5x}{2}$, получим $\cos\frac{5(\pi + 2\pi m)}{2} = \cos(\frac{5\pi}{2} + 5\pi m) = \cos(\frac{\pi}{2} + 2\pi + 5\pi m) = \cos(\frac{\pi}{2} + (2+5m)\pi)$. Так как $2+5m$ является целым числом, то $\cos(\frac{\pi}{2} + (2+5m)\pi) = 0$. Это означает, что все решения из третьей серии уже содержатся в первой серии.
Проверим на пересечение серии $x = \frac{\pi}{5} + \frac{2\pi k}{5}$ и $x = \frac{\pi}{2} + \pi n$. Приравняем их: $\frac{\pi}{5} + \frac{2\pi k}{5} = \frac{\pi}{2} + \pi n$. Умножим обе части на $\frac{10}{\pi}$: $2 + 4k = 5 + 10n \Rightarrow 4k - 10n = 3$. В левой части стоит четное число, а в правой — нечетное. Это уравнение не имеет решений в целых числах, значит, эти две серии решений не пересекаются.
Таким образом, общее решение состоит из первой и второй серий.
Ответ: $x = \frac{\pi}{5} + \frac{2\pi k}{5}, x = \frac{\pi}{2} + \pi n$, где $k, n \in \mathbb{Z}$.

Помогло решение? Оставьте отзыв в комментариях ниже.

Присоединяйтесь к Телеграм-группе @top_gdz

Присоединиться

Мы подготовили для вас ответ c подробным объяснением домашего задания по алгебре за 10-11 класс, для упражнения номер 1383 расположенного на странице 411 к учебнику 2014 года издания для учащихся школ и гимназий.

Теперь на нашем сайте ГДЗ.ТОП вы всегда легко и бесплатно найдёте условие с правильным ответом на вопрос «Как решить ДЗ» и «Как сделать» задание по алгебре к упражнению №1383 (с. 411), авторов: Алимов (Шавкат Арифджанович), Колягин (Юрий Михайлович), Ткачева (Мария Владимировна), Федорова (Надежда Евгеньевна), Шабунин (Михаил Иванович), ФГОС (старый) базовый и углублённый уровень обучения учебного пособия издательства Просвещение.