Номер 1381, страница 411 - гдз по алгебре 10-11 класс учебник Алимов, Колягин

Алгебра, 10-11 класс Учебник, авторы: Алимов Шавкат Арифджанович, Колягин Юрий Михайлович, Ткачева Мария Владимировна, Федорова Надежда Евгеньевна, Шабунин Михаил Иванович, издательство Просвещение, Москва, 2014

Авторы: Алимов Ш. А., Колягин Ю. М., Ткачева М. В., Федорова Н. Е., Шабунин М. И.

Тип: Учебник

Издательство: Просвещение

Год издания: 2014 - 2026

Уровень обучения: базовый и углублённый

Цвет обложки: синий, фиолетовый

ISBN: 978-5-09-112136-0

Допущено Министерством просвещения Российской Федерации

Математика: алгебра и начала математического анализа, геометрия

Популярные ГДЗ в 10 классе

Упражнения для итогового повторения курса алгебры и начал математического анализа. 2. Уравнения - номер 1381, страница 411.

№1381 (с. 411)
Условие. №1381 (с. 411)
скриншот условия
Алгебра, 10-11 класс Учебник, авторы: Алимов Шавкат Арифджанович, Колягин Юрий Михайлович, Ткачева Мария Владимировна, Федорова Надежда Евгеньевна, Шабунин Михаил Иванович, издательство Просвещение, Москва, 2014, страница 411, номер 1381, Условие

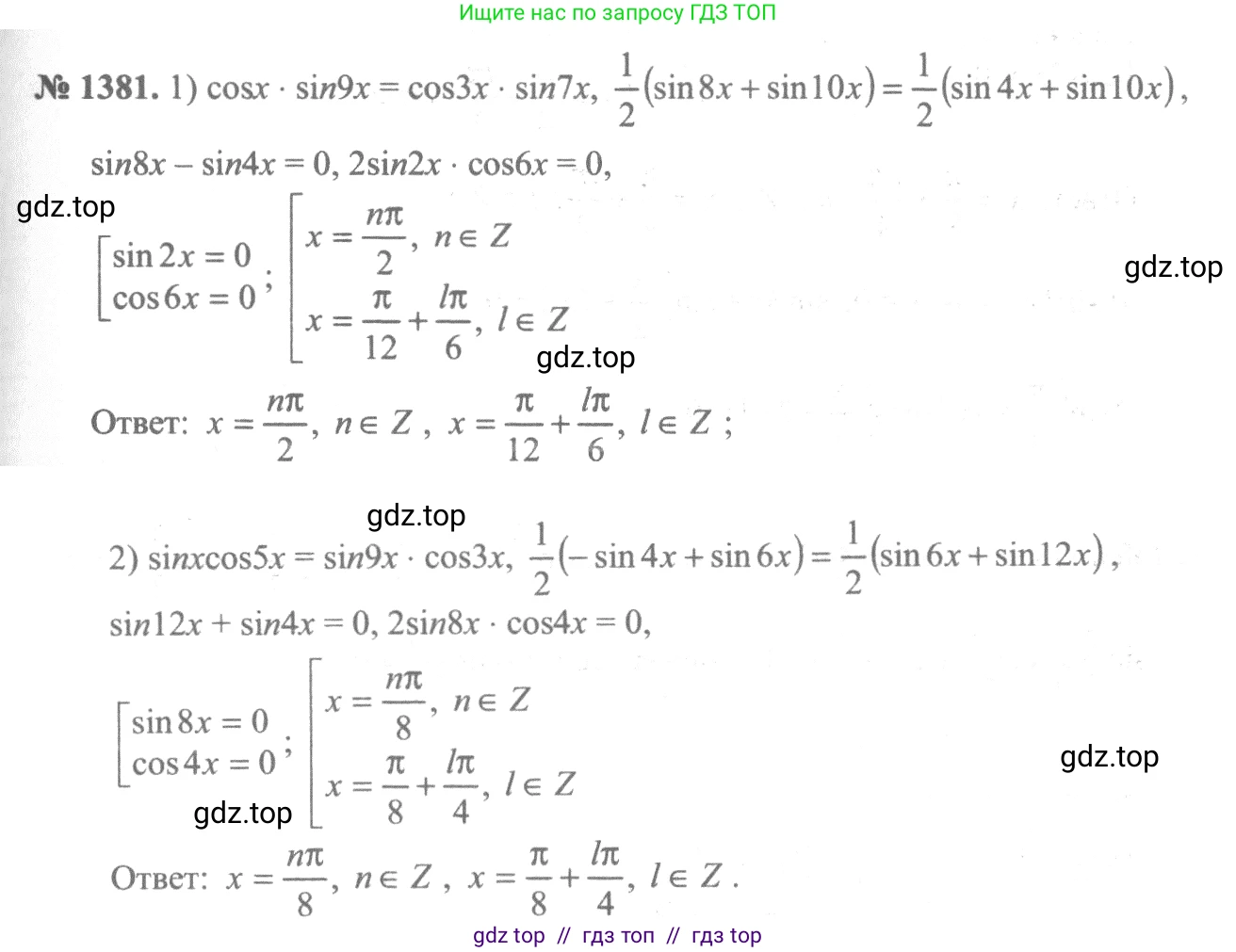
1381 1) $\cos x \sin 9x = \cos 3x \sin 7x$;

2) $\sin x \cos 5x = \sin 9x \cos 3x$.

Решение 1. №1381 (с. 411)
Алгебра, 10-11 класс Учебник, авторы: Алимов Шавкат Арифджанович, Колягин Юрий Михайлович, Ткачева Мария Владимировна, Федорова Надежда Евгеньевна, Шабунин Михаил Иванович, издательство Просвещение, Москва, 2014, страница 411, номер 1381, Решение 1
Алгебра, 10-11 класс Учебник, авторы: Алимов Шавкат Арифджанович, Колягин Юрий Михайлович, Ткачева Мария Владимировна, Федорова Надежда Евгеньевна, Шабунин Михаил Иванович, издательство Просвещение, Москва, 2014, страница 411, номер 1381, Решение 1 (продолжение 2)
Решение 2. №1381 (с. 411)
Алгебра, 10-11 класс Учебник, авторы: Алимов Шавкат Арифджанович, Колягин Юрий Михайлович, Ткачева Мария Владимировна, Федорова Надежда Евгеньевна, Шабунин Михаил Иванович, издательство Просвещение, Москва, 2014, страница 411, номер 1381, Решение 2
Решение 3. №1381 (с. 411)
Алгебра, 10-11 класс Учебник, авторы: Алимов Шавкат Арифджанович, Колягин Юрий Михайлович, Ткачева Мария Владимировна, Федорова Надежда Евгеньевна, Шабунин Михаил Иванович, издательство Просвещение, Москва, 2014, страница 411, номер 1381, Решение 3
Решение 5. №1381 (с. 411)
Алгебра, 10-11 класс Учебник, авторы: Алимов Шавкат Арифджанович, Колягин Юрий Михайлович, Ткачева Мария Владимировна, Федорова Надежда Евгеньевна, Шабунин Михаил Иванович, издательство Просвещение, Москва, 2014, страница 411, номер 1381, Решение 5
Решение 7. №1381 (с. 411)
Алгебра, 10-11 класс Учебник, авторы: Алимов Шавкат Арифджанович, Колягин Юрий Михайлович, Ткачева Мария Владимировна, Федорова Надежда Евгеньевна, Шабунин Михаил Иванович, издательство Просвещение, Москва, 2014, страница 411, номер 1381, Решение 7 Алгебра, 10-11 класс Учебник, авторы: Алимов Шавкат Арифджанович, Колягин Юрий Михайлович, Ткачева Мария Владимировна, Федорова Надежда Евгеньевна, Шабунин Михаил Иванович, издательство Просвещение, Москва, 2014, страница 411, номер 1381, Решение 7 (продолжение 2)
Решение 8. №1381 (с. 411)
1)

Для решения уравнения $ \cos x \sin 9x = \cos 3x \sin 7x $ воспользуемся формулой преобразования произведения тригонометрических функций в сумму (разность): $ \cos A \sin B = \frac{1}{2}(\sin(A+B) - \sin(A-B)) $.
Применим эту формулу к левой и правой частям уравнения.
Левая часть: $ \cos x \sin 9x = \frac{1}{2}(\sin(x+9x) - \sin(x-9x)) = \frac{1}{2}(\sin(10x) - \sin(-8x)) = \frac{1}{2}(\sin(10x) + \sin(8x)) $.
Правая часть: $ \cos 3x \sin 7x = \frac{1}{2}(\sin(3x+7x) - \sin(3x-7x)) = \frac{1}{2}(\sin(10x) - \sin(-4x)) = \frac{1}{2}(\sin(10x) + \sin(4x)) $.
Приравниваем левую и правую части: $ \frac{1}{2}(\sin(10x) + \sin(8x)) = \frac{1}{2}(\sin(10x) + \sin(4x)) $.
Умножим обе части на 2 и сократим $ \sin(10x) $: $ \sin(10x) + \sin(8x) = \sin(10x) + \sin(4x) $ $ \sin(8x) = \sin(4x) $ $ \sin(8x) - \sin(4x) = 0 $.
Теперь используем формулу разности синусов: $ \sin A - \sin B = 2\cos\frac{A+B}{2}\sin\frac{A-B}{2} $.
$ 2\cos\frac{8x+4x}{2}\sin\frac{8x-4x}{2} = 0 $ $ 2\cos(6x)\sin(2x) = 0 $.
Произведение равно нулю, когда хотя бы один из множителей равен нулю. Получаем два случая:
1) $ \cos(6x) = 0 $ $ 6x = \frac{\pi}{2} + n\pi $, где $ n \in \mathbb{Z} $ $ x = \frac{\pi}{12} + \frac{n\pi}{6} $, где $ n \in \mathbb{Z} $.
2) $ \sin(2x) = 0 $ $ 2x = k\pi $, где $ k \in \mathbb{Z} $ $ x = \frac{k\pi}{2} $, где $ k \in \mathbb{Z} $.

Ответ: $ x = \frac{\pi}{12} + \frac{n\pi}{6}, x = \frac{k\pi}{2}, $ где $ n, k \in \mathbb{Z} $.

2)

Для решения уравнения $ \sin x \cos 5x = \sin 9x \cos 3x $ воспользуемся формулой преобразования произведения тригонометрических функций в сумму: $ \sin A \cos B = \frac{1}{2}(\sin(A+B) + \sin(A-B)) $.
Применим эту формулу к обеим частям уравнения.
Левая часть: $ \sin x \cos 5x = \frac{1}{2}(\sin(x+5x) + \sin(x-5x)) = \frac{1}{2}(\sin(6x) + \sin(-4x)) = \frac{1}{2}(\sin(6x) - \sin(4x)) $.
Правая часть: $ \sin 9x \cos 3x = \frac{1}{2}(\sin(9x+3x) + \sin(9x-3x)) = \frac{1}{2}(\sin(12x) + \sin(6x)) $.
Приравниваем полученные выражения: $ \frac{1}{2}(\sin(6x) - \sin(4x)) = \frac{1}{2}(\sin(12x) + \sin(6x)) $.
Умножаем на 2 и упрощаем: $ \sin(6x) - \sin(4x) = \sin(12x) + \sin(6x) $ $ -\sin(4x) = \sin(12x) $ $ \sin(12x) + \sin(4x) = 0 $.
Теперь используем формулу суммы синусов: $ \sin A + \sin B = 2\sin\frac{A+B}{2}\cos\frac{A-B}{2} $.
$ 2\sin\frac{12x+4x}{2}\cos\frac{12x-4x}{2} = 0 $ $ 2\sin(8x)\cos(4x) = 0 $.
Это уравнение распадается на два:
1) $ \sin(8x) = 0 $ $ 8x = n\pi $, где $ n \in \mathbb{Z} $ $ x = \frac{n\pi}{8} $, где $ n \in \mathbb{Z} $.
2) $ \cos(4x) = 0 $ $ 4x = \frac{\pi}{2} + k\pi $, где $ k \in \mathbb{Z} $ $ x = \frac{\pi}{8} + \frac{k\pi}{4} = \frac{(2k+1)\pi}{8} $, где $ k \in \mathbb{Z} $.
Заметим, что вторая серия решений является подмножеством первой. Действительно, вторая серия дает значения $ x $ при нечетных числителях ($2k+1$), в то время как первая серия включает все целые числители $ n $. Таким образом, все решения второго случая уже содержатся в решениях первого случая.
Поэтому общим решением будет $ x = \frac{n\pi}{8} $.

Ответ: $ x = \frac{n\pi}{8}, $ где $ n \in \mathbb{Z} $.

Помогло решение? Оставьте отзыв в комментариях ниже.

Присоединяйтесь к Телеграм-группе @top_gdz

Присоединиться

Мы подготовили для вас ответ c подробным объяснением домашего задания по алгебре за 10-11 класс, для упражнения номер 1381 расположенного на странице 411 к учебнику 2014 года издания для учащихся школ и гимназий.

Теперь на нашем сайте ГДЗ.ТОП вы всегда легко и бесплатно найдёте условие с правильным ответом на вопрос «Как решить ДЗ» и «Как сделать» задание по алгебре к упражнению №1381 (с. 411), авторов: Алимов (Шавкат Арифджанович), Колягин (Юрий Михайлович), Ткачева (Мария Владимировна), Федорова (Надежда Евгеньевна), Шабунин (Михаил Иванович), ФГОС (старый) базовый и углублённый уровень обучения учебного пособия издательства Просвещение.