Номер 1375, страница 411 - гдз по алгебре 10-11 класс учебник Алимов, Колягин

Алгебра, 10-11 класс Учебник, авторы: Алимов Шавкат Арифджанович, Колягин Юрий Михайлович, Ткачева Мария Владимировна, Федорова Надежда Евгеньевна, Шабунин Михаил Иванович, издательство Просвещение, Москва, 2014

Авторы: Алимов Ш. А., Колягин Ю. М., Ткачева М. В., Федорова Н. Е., Шабунин М. И.

Тип: Учебник

Издательство: Просвещение

Год издания: 2014 - 2025

Уровень обучения: базовый и углублённый

Цвет обложки: синий, фиолетовый

ISBN: 978-5-09-112136-0

Допущено Министерством просвещения Российской Федерации

Математика: алгебра и начала математического анализа, геометрия

Популярные ГДЗ в 10 классе

Упражнения для итогового повторения курса алгебры и начал математического анализа. 2. Уравнения - номер 1375, страница 411.

№1375 (с. 411)
Условие. №1375 (с. 411)
скриншот условия
Алгебра, 10-11 класс Учебник, авторы: Алимов Шавкат Арифджанович, Колягин Юрий Михайлович, Ткачева Мария Владимировна, Федорова Надежда Евгеньевна, Шабунин Михаил Иванович, издательство Просвещение, Москва, 2014, страница 411, номер 1375, Условие

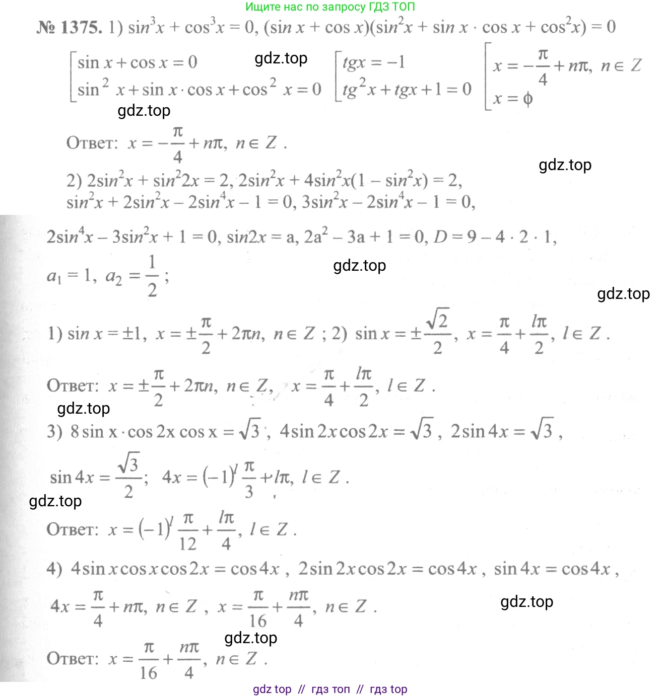
1375 1) $ \sin^3 x + \cos^3 x = 0; $

2) $ 2 \sin^2 x + \sin^2 2x = 2; $

3) $ 8 \sin x \cos 2x \cos x = \sqrt{3}; $

4) $ 4 \sin x \cos x \cos 2x = \cos 4x. $

Решение 1. №1375 (с. 411)
Алгебра, 10-11 класс Учебник, авторы: Алимов Шавкат Арифджанович, Колягин Юрий Михайлович, Ткачева Мария Владимировна, Федорова Надежда Евгеньевна, Шабунин Михаил Иванович, издательство Просвещение, Москва, 2014, страница 411, номер 1375, Решение 1
Алгебра, 10-11 класс Учебник, авторы: Алимов Шавкат Арифджанович, Колягин Юрий Михайлович, Ткачева Мария Владимировна, Федорова Надежда Евгеньевна, Шабунин Михаил Иванович, издательство Просвещение, Москва, 2014, страница 411, номер 1375, Решение 1 (продолжение 2)
Алгебра, 10-11 класс Учебник, авторы: Алимов Шавкат Арифджанович, Колягин Юрий Михайлович, Ткачева Мария Владимировна, Федорова Надежда Евгеньевна, Шабунин Михаил Иванович, издательство Просвещение, Москва, 2014, страница 411, номер 1375, Решение 1 (продолжение 3)
Алгебра, 10-11 класс Учебник, авторы: Алимов Шавкат Арифджанович, Колягин Юрий Михайлович, Ткачева Мария Владимировна, Федорова Надежда Евгеньевна, Шабунин Михаил Иванович, издательство Просвещение, Москва, 2014, страница 411, номер 1375, Решение 1 (продолжение 4)
Решение 2. №1375 (с. 411)
Алгебра, 10-11 класс Учебник, авторы: Алимов Шавкат Арифджанович, Колягин Юрий Михайлович, Ткачева Мария Владимировна, Федорова Надежда Евгеньевна, Шабунин Михаил Иванович, издательство Просвещение, Москва, 2014, страница 411, номер 1375, Решение 2
Алгебра, 10-11 класс Учебник, авторы: Алимов Шавкат Арифджанович, Колягин Юрий Михайлович, Ткачева Мария Владимировна, Федорова Надежда Евгеньевна, Шабунин Михаил Иванович, издательство Просвещение, Москва, 2014, страница 411, номер 1375, Решение 2 (продолжение 2)
Решение 5. №1375 (с. 411)
Алгебра, 10-11 класс Учебник, авторы: Алимов Шавкат Арифджанович, Колягин Юрий Михайлович, Ткачева Мария Владимировна, Федорова Надежда Евгеньевна, Шабунин Михаил Иванович, издательство Просвещение, Москва, 2014, страница 411, номер 1375, Решение 5
Алгебра, 10-11 класс Учебник, авторы: Алимов Шавкат Арифджанович, Колягин Юрий Михайлович, Ткачева Мария Владимировна, Федорова Надежда Евгеньевна, Шабунин Михаил Иванович, издательство Просвещение, Москва, 2014, страница 411, номер 1375, Решение 5 (продолжение 2)
Решение 7. №1375 (с. 411)
Алгебра, 10-11 класс Учебник, авторы: Алимов Шавкат Арифджанович, Колягин Юрий Михайлович, Ткачева Мария Владимировна, Федорова Надежда Евгеньевна, Шабунин Михаил Иванович, издательство Просвещение, Москва, 2014, страница 411, номер 1375, Решение 7
Алгебра, 10-11 класс Учебник, авторы: Алимов Шавкат Арифджанович, Колягин Юрий Михайлович, Ткачева Мария Владимировна, Федорова Надежда Евгеньевна, Шабунин Михаил Иванович, издательство Просвещение, Москва, 2014, страница 411, номер 1375, Решение 7 (продолжение 2)
Решение 8. №1375 (с. 411)

1)

Дано уравнение: $sin^3 x + cos^3 x = 0$.

Это однородное тригонометрическое уравнение. Проверим, является ли $cos x = 0$ решением. Если $cos x = 0$, то $sin x = \pm 1$. Подставив в уравнение, получим $(\pm 1)^3 + 0^3 = \pm 1 \neq 0$. Следовательно, $cos x \neq 0$, и мы можем разделить обе части уравнения на $cos^3 x$.

$\frac{sin^3 x}{cos^3 x} + \frac{cos^3 x}{cos^3 x} = 0$

$tan^3 x + 1 = 0$

$tan^3 x = -1$

$tan x = -1$

Общее решение этого уравнения:

$x = arctan(-1) + \pi n$, где $n \in \mathbb{Z}$.

$x = -\frac{\pi}{4} + \pi n, n \in \mathbb{Z}$.

Ответ: $x = -\frac{\pi}{4} + \pi n, n \in \mathbb{Z}$.

2)

Дано уравнение: $2 sin^2 x + sin^2 2x = 2$.

Используем формулу синуса двойного угла $sin 2x = 2 sin x cos x$ и основное тригонометрическое тождество $sin^2 x + cos^2 x = 1$.

$2 sin^2 x + (2 sin x cos x)^2 = 2$

$2 sin^2 x + 4 sin^2 x cos^2 x = 2$

Разделим обе части на 2:

$sin^2 x + 2 sin^2 x cos^2 x = 1$

$2 sin^2 x cos^2 x = 1 - sin^2 x$

$2 sin^2 x cos^2 x = cos^2 x$

$2 sin^2 x cos^2 x - cos^2 x = 0$

Вынесем $cos^2 x$ за скобки:

$cos^2 x (2 sin^2 x - 1) = 0$

Это уравнение распадается на два:

Случай 1: $cos^2 x = 0$

$cos x = 0$

$x = \frac{\pi}{2} + \pi n, n \in \mathbb{Z}$.

Случай 2: $2 sin^2 x - 1 = 0$

$sin^2 x = \frac{1}{2}$

$sin x = \pm \frac{1}{\sqrt{2}} = \pm \frac{\sqrt{2}}{2}$

$x = \frac{\pi}{4} + \frac{\pi k}{2}, k \in \mathbb{Z}$.

Объединяя решения из обоих случаев, получаем итоговый ответ.

Ответ: $x = \frac{\pi}{2} + \pi n, n \in \mathbb{Z}$; $x = \frac{\pi}{4} + \frac{\pi k}{2}, k \in \mathbb{Z}$.

3)

Дано уравнение: $8 sin x cos 2x cos x = \sqrt{3}$.

Сгруппируем множители и применим формулу синуса двойного угла $sin(2\alpha) = 2 sin \alpha cos \alpha$ дважды.

$4 \cdot (2 sin x cos x) \cdot cos 2x = \sqrt{3}$

Применяем формулу для $2 sin x cos x = sin 2x$:

$4 sin 2x cos 2x = \sqrt{3}$

$2 \cdot (2 sin 2x cos 2x) = \sqrt{3}$

Применяем формулу для $2 sin 2x cos 2x = sin 4x$:

$2 sin 4x = \sqrt{3}$

$sin 4x = \frac{\sqrt{3}}{2}$

Решаем это простейшее тригонометрическое уравнение:

$4x = (-1)^k arcsin(\frac{\sqrt{3}}{2}) + \pi k$, где $k \in \mathbb{Z}$.

$4x = (-1)^k \frac{\pi}{3} + \pi k, k \in \mathbb{Z}$.

Разделим на 4, чтобы найти $x$:

$x = (-1)^k \frac{\pi}{12} + \frac{\pi k}{4}, k \in \mathbb{Z}$.

Ответ: $x = (-1)^k \frac{\pi}{12} + \frac{\pi k}{4}, k \in \mathbb{Z}$.

4)

Дано уравнение: $4 sin x cos x cos 2x = cos 4x$.

Преобразуем левую часть уравнения, используя формулу синуса двойного угла $sin(2\alpha) = 2 sin \alpha cos \alpha$.

$2 \cdot (2 sin x cos x) \cdot cos 2x = cos 4x$

$2 sin 2x cos 2x = cos 4x$

Еще раз применяем ту же формулу:

$sin 4x = cos 4x$

Заметим, что $cos 4x \neq 0$, так как если $cos 4x = 0$, то $sin 4x$ должен быть равен $\pm 1$, а не 0. Поэтому можно разделить обе части на $cos 4x$.

$\frac{sin 4x}{cos 4x} = 1$

$tan 4x = 1$

Решаем это уравнение:

$4x = arctan(1) + \pi n$, где $n \in \mathbb{Z}$.

$4x = \frac{\pi}{4} + \pi n, n \in \mathbb{Z}$.

Находим $x$:

$x = \frac{\pi}{16} + \frac{\pi n}{4}, n \in \mathbb{Z}$.

Ответ: $x = \frac{\pi}{16} + \frac{\pi n}{4}, n \in \mathbb{Z}$.

Помогло решение? Оставьте отзыв в комментариях ниже.

Присоединяйтесь к Телеграм-группе @top_gdz

Присоединиться

Мы подготовили для вас ответ c подробным объяснением домашего задания по алгебре за 10-11 класс, для упражнения номер 1375 расположенного на странице 411 к учебнику 2014 года издания для учащихся школ и гимназий.

Теперь на нашем сайте ГДЗ.ТОП вы всегда легко и бесплатно найдёте условие с правильным ответом на вопрос «Как решить ДЗ» и «Как сделать» задание по алгебре к упражнению №1375 (с. 411), авторов: Алимов (Шавкат Арифджанович), Колягин (Юрий Михайлович), Ткачева (Мария Владимировна), Федорова (Надежда Евгеньевна), Шабунин (Михаил Иванович), ФГОС (старый) базовый и углублённый уровень обучения учебного пособия издательства Просвещение.