Номер 1368, страница 411 - гдз по алгебре 10-11 класс учебник Алимов, Колягин

Алгебра, 10-11 класс Учебник, авторы: Алимов Шавкат Арифджанович, Колягин Юрий Михайлович, Ткачева Мария Владимировна, Федорова Надежда Евгеньевна, Шабунин Михаил Иванович, издательство Просвещение, Москва, 2014

Авторы: Алимов Ш. А., Колягин Ю. М., Ткачева М. В., Федорова Н. Е., Шабунин М. И.

Тип: Учебник

Издательство: Просвещение

Год издания: 2014 - 2025

Уровень обучения: базовый и углублённый

Цвет обложки: синий, фиолетовый

ISBN: 978-5-09-112136-0

Допущено Министерством просвещения Российской Федерации

Математика: алгебра и начала математического анализа, геометрия

Популярные ГДЗ в 10 классе

Упражнения для итогового повторения курса алгебры и начал математического анализа. 2. Уравнения - номер 1368, страница 411.

№1368 (с. 411)
Условие. №1368 (с. 411)
скриншот условия
Алгебра, 10-11 класс Учебник, авторы: Алимов Шавкат Арифджанович, Колягин Юрий Михайлович, Ткачева Мария Владимировна, Федорова Надежда Евгеньевна, Шабунин Михаил Иванович, издательство Просвещение, Москва, 2014, страница 411, номер 1368, Условие

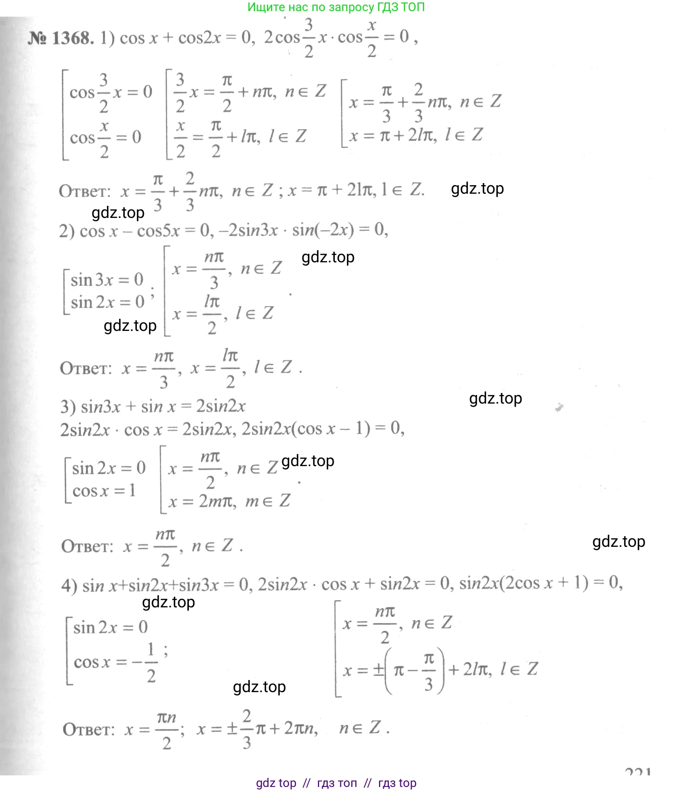
1368 1) $\cos x + \cos 2x = 0;$

2) $\cos x - \cos 5x = 0;$

3) $\sin 3x + \sin x = 2 \sin 2x;$

4) $\sin x + \sin 2x + \sin 3x = 0.$

Решение 1. №1368 (с. 411)
Алгебра, 10-11 класс Учебник, авторы: Алимов Шавкат Арифджанович, Колягин Юрий Михайлович, Ткачева Мария Владимировна, Федорова Надежда Евгеньевна, Шабунин Михаил Иванович, издательство Просвещение, Москва, 2014, страница 411, номер 1368, Решение 1
Алгебра, 10-11 класс Учебник, авторы: Алимов Шавкат Арифджанович, Колягин Юрий Михайлович, Ткачева Мария Владимировна, Федорова Надежда Евгеньевна, Шабунин Михаил Иванович, издательство Просвещение, Москва, 2014, страница 411, номер 1368, Решение 1 (продолжение 2)
Алгебра, 10-11 класс Учебник, авторы: Алимов Шавкат Арифджанович, Колягин Юрий Михайлович, Ткачева Мария Владимировна, Федорова Надежда Евгеньевна, Шабунин Михаил Иванович, издательство Просвещение, Москва, 2014, страница 411, номер 1368, Решение 1 (продолжение 3)
Алгебра, 10-11 класс Учебник, авторы: Алимов Шавкат Арифджанович, Колягин Юрий Михайлович, Ткачева Мария Владимировна, Федорова Надежда Евгеньевна, Шабунин Михаил Иванович, издательство Просвещение, Москва, 2014, страница 411, номер 1368, Решение 1 (продолжение 4)
Решение 2. №1368 (с. 411)
Алгебра, 10-11 класс Учебник, авторы: Алимов Шавкат Арифджанович, Колягин Юрий Михайлович, Ткачева Мария Владимировна, Федорова Надежда Евгеньевна, Шабунин Михаил Иванович, издательство Просвещение, Москва, 2014, страница 411, номер 1368, Решение 2
Алгебра, 10-11 класс Учебник, авторы: Алимов Шавкат Арифджанович, Колягин Юрий Михайлович, Ткачева Мария Владимировна, Федорова Надежда Евгеньевна, Шабунин Михаил Иванович, издательство Просвещение, Москва, 2014, страница 411, номер 1368, Решение 2 (продолжение 2)
Решение 5. №1368 (с. 411)
Алгебра, 10-11 класс Учебник, авторы: Алимов Шавкат Арифджанович, Колягин Юрий Михайлович, Ткачева Мария Владимировна, Федорова Надежда Евгеньевна, Шабунин Михаил Иванович, издательство Просвещение, Москва, 2014, страница 411, номер 1368, Решение 5
Решение 7. №1368 (с. 411)
Алгебра, 10-11 класс Учебник, авторы: Алимов Шавкат Арифджанович, Колягин Юрий Михайлович, Ткачева Мария Владимировна, Федорова Надежда Евгеньевна, Шабунин Михаил Иванович, издательство Просвещение, Москва, 2014, страница 411, номер 1368, Решение 7
Алгебра, 10-11 класс Учебник, авторы: Алимов Шавкат Арифджанович, Колягин Юрий Михайлович, Ткачева Мария Владимировна, Федорова Надежда Евгеньевна, Шабунин Михаил Иванович, издательство Просвещение, Москва, 2014, страница 411, номер 1368, Решение 7 (продолжение 2) Алгебра, 10-11 класс Учебник, авторы: Алимов Шавкат Арифджанович, Колягин Юрий Михайлович, Ткачева Мария Владимировна, Федорова Надежда Евгеньевна, Шабунин Михаил Иванович, издательство Просвещение, Москва, 2014, страница 411, номер 1368, Решение 7 (продолжение 3)
Решение 8. №1368 (с. 411)

1) Исходное уравнение: $\cos x + \cos 2x = 0$.
Используем формулу косинуса двойного угла: $\cos 2x = 2\cos^2x - 1$.
Подставляем в уравнение:
$\cos x + 2\cos^2x - 1 = 0$
$2\cos^2x + \cos x - 1 = 0$
Сделаем замену переменной. Пусть $t = \cos x$, где $|t| \le 1$.
$2t^2 + t - 1 = 0$
Решаем квадратное уравнение. Дискриминант $D = 1^2 - 4 \cdot 2 \cdot (-1) = 1 + 8 = 9$.
$t_1 = \frac{-1 - \sqrt{9}}{2 \cdot 2} = \frac{-1 - 3}{4} = -1$
$t_2 = \frac{-1 + \sqrt{9}}{2 \cdot 2} = \frac{-1 + 3}{4} = \frac{2}{4} = \frac{1}{2}$
Оба корня удовлетворяют условию $|t| \le 1$.
Возвращаемся к замене:
1. $\cos x = -1 \implies x = \pi + 2\pi n, \quad n \in Z$.
2. $\cos x = \frac{1}{2} \implies x = \pm\frac{\pi}{3} + 2\pi k, \quad k \in Z$.
Ответ: $x = \pi + 2\pi n, \quad n \in Z; \quad x = \pm\frac{\pi}{3} + 2\pi k, \quad k \in Z$.

2) Исходное уравнение: $\cos x - \cos 5x = 0$.
Перепишем уравнение в виде $\cos 5x = \cos x$.
Используем формулу для разности косинусов: $\cos \alpha - \cos \beta = -2\sin\frac{\alpha+\beta}{2}\sin\frac{\alpha-\beta}{2}$.
$-2\sin\frac{x+5x}{2}\sin\frac{x-5x}{2} = 0$
$-2\sin(3x)\sin(-2x) = 0$
Так как $\sin(-u) = -\sin u$, получаем:
$2\sin(3x)\sin(2x) = 0$
Произведение равно нулю, когда хотя бы один из множителей равен нулю:
1. $\sin(3x) = 0 \implies 3x = \pi n \implies x = \frac{\pi n}{3}, \quad n \in Z$.
2. $\sin(2x) = 0 \implies 2x = \pi k \implies x = \frac{\pi k}{2}, \quad k \in Z$.
Ответ: $x = \frac{\pi n}{3}, \quad n \in Z; \quad x = \frac{\pi k}{2}, \quad k \in Z$.

3) Исходное уравнение: $\sin 3x + \sin x = 2 \sin 2x$.
Применим к левой части формулу суммы синусов: $\sin \alpha + \sin \beta = 2\sin\frac{\alpha+\beta}{2}\cos\frac{\alpha-\beta}{2}$.
$2\sin\frac{3x+x}{2}\cos\frac{3x-x}{2} = 2\sin 2x$
$2\sin(2x)\cos(x) = 2\sin 2x$
Перенесем все в левую часть и вынесем общий множитель за скобки:
$2\sin(2x)\cos(x) - 2\sin 2x = 0$
$2\sin(2x)(\cos x - 1) = 0$
Произведение равно нулю, когда хотя бы один из множителей равен нулю:
1. $\sin(2x) = 0 \implies 2x = \pi n \implies x = \frac{\pi n}{2}, \quad n \in Z$.
2. $\cos x - 1 = 0 \implies \cos x = 1 \implies x = 2\pi k, \quad k \in Z$.
Заметим, что вторая серия решений ($x = 2\pi k$) является подмножеством первой серии ($x = \frac{\pi n}{2}$ при $n=4k$). Следовательно, достаточно указать только первую серию решений.
Ответ: $x = \frac{\pi n}{2}, \quad n \in Z$.

4) Исходное уравнение: $\sin x + \sin 2x + \sin 3x = 0$.
Сгруппируем первое и третье слагаемые и применим формулу суммы синусов:
$(\sin x + \sin 3x) + \sin 2x = 0$
$2\sin\frac{x+3x}{2}\cos\frac{x-3x}{2} + \sin 2x = 0$
$2\sin(2x)\cos(-x) + \sin 2x = 0$
Так как $\cos(-x) = \cos x$, получаем:
$2\sin(2x)\cos x + \sin 2x = 0$
Вынесем общий множитель $\sin 2x$ за скобки:
$\sin(2x)(2\cos x + 1) = 0$
Произведение равно нулю, когда хотя бы один из множителей равен нулю:
1. $\sin(2x) = 0 \implies 2x = \pi n \implies x = \frac{\pi n}{2}, \quad n \in Z$.
2. $2\cos x + 1 = 0 \implies \cos x = -\frac{1}{2} \implies x = \pm\frac{2\pi}{3} + 2\pi k, \quad k \in Z$.
Ответ: $x = \frac{\pi n}{2}, \quad n \in Z; \quad x = \pm\frac{2\pi}{3} + 2\pi k, \quad k \in Z$.

Помогло решение? Оставьте отзыв в комментариях ниже.

Присоединяйтесь к Телеграм-группе @top_gdz

Присоединиться

Мы подготовили для вас ответ c подробным объяснением домашего задания по алгебре за 10-11 класс, для упражнения номер 1368 расположенного на странице 411 к учебнику 2014 года издания для учащихся школ и гимназий.

Теперь на нашем сайте ГДЗ.ТОП вы всегда легко и бесплатно найдёте условие с правильным ответом на вопрос «Как решить ДЗ» и «Как сделать» задание по алгебре к упражнению №1368 (с. 411), авторов: Алимов (Шавкат Арифджанович), Колягин (Юрий Михайлович), Ткачева (Мария Владимировна), Федорова (Надежда Евгеньевна), Шабунин (Михаил Иванович), ФГОС (старый) базовый и углублённый уровень обучения учебного пособия издательства Просвещение.