Номер 137, страница 53 - гдз по алгебре 10-11 класс учебник Алимов, Колягин

Алгебра, 10-11 класс Учебник, авторы: Алимов Шавкат Арифджанович, Колягин Юрий Михайлович, Ткачева Мария Владимировна, Федорова Надежда Евгеньевна, Шабунин Михаил Иванович, издательство Просвещение, Москва, 2014

Авторы: Алимов Ш. А., Колягин Ю. М., Ткачева М. В., Федорова Н. Е., Шабунин М. И.

Тип: Учебник

Издательство: Просвещение

Год издания: 2014 - 2025

Уровень обучения: базовый и углублённый

Цвет обложки: синий, фиолетовый

ISBN: 978-5-09-112136-0

Допущено Министерством просвещения Российской Федерации

Математика: алгебра и начала математического анализа, геометрия

Популярные ГДЗ в 10 классе

Глава 2. Степенная функция. Параграф 7. Взаимно обратные функции - номер 137, страница 53.

№137 (с. 53)
Условие. №137 (с. 53)
скриншот условия
Алгебра, 10-11 класс Учебник, авторы: Алимов Шавкат Арифджанович, Колягин Юрий Михайлович, Ткачева Мария Владимировна, Федорова Надежда Евгеньевна, Шабунин Михаил Иванович, издательство Просвещение, Москва, 2014, страница 53, номер 137, Условие

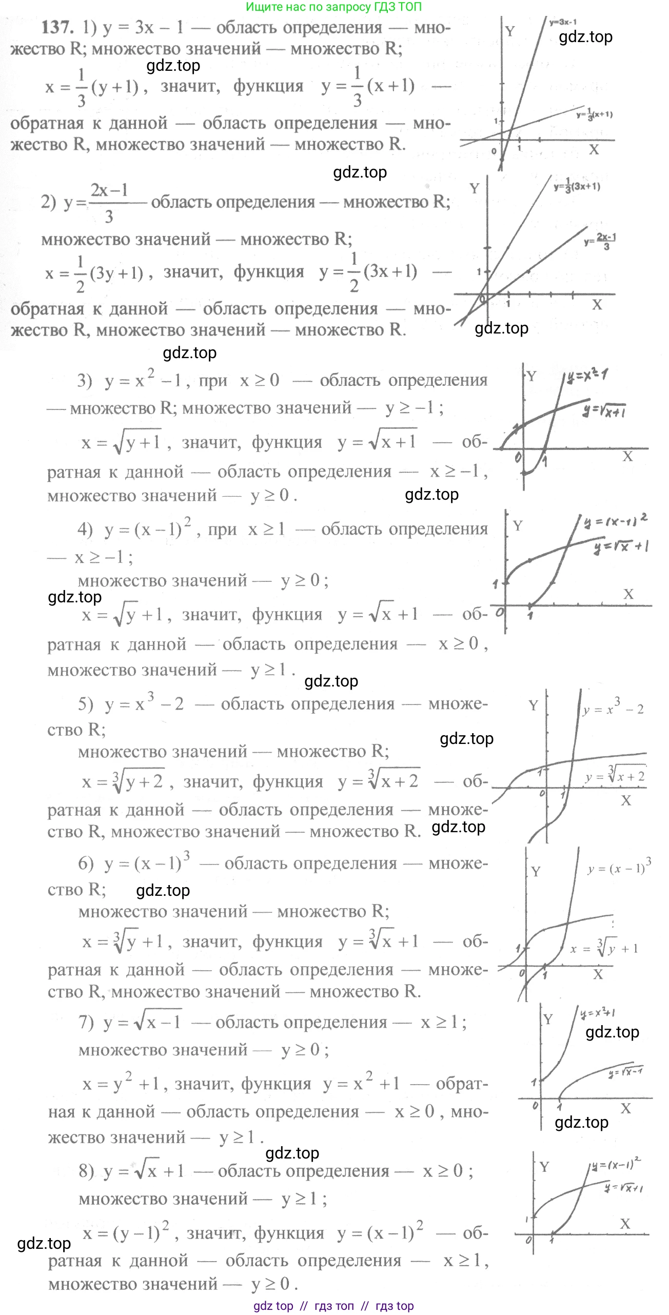
137 На одном рисунке построить график данной функции и функции, обратной к данной; найти область определения и множество значений каждой из них:

1) $y = 3x - 1;$

2) $y = \frac{2x - 1}{3};$

3) $y = x^2 - 1 \text{ при } x \ge 0;$

4) $y = (x - 1)^2 \text{ при } x \ge 1;$

5) $y = x^3 - 2;$

6) $y = (x - 1)^3;$

7) $y = \sqrt{x - 1};$

8) $y = \sqrt{x + 1}.$

Решение 1. №137 (с. 53)
Алгебра, 10-11 класс Учебник, авторы: Алимов Шавкат Арифджанович, Колягин Юрий Михайлович, Ткачева Мария Владимировна, Федорова Надежда Евгеньевна, Шабунин Михаил Иванович, издательство Просвещение, Москва, 2014, страница 53, номер 137, Решение 1
Алгебра, 10-11 класс Учебник, авторы: Алимов Шавкат Арифджанович, Колягин Юрий Михайлович, Ткачева Мария Владимировна, Федорова Надежда Евгеньевна, Шабунин Михаил Иванович, издательство Просвещение, Москва, 2014, страница 53, номер 137, Решение 1 (продолжение 2)
Алгебра, 10-11 класс Учебник, авторы: Алимов Шавкат Арифджанович, Колягин Юрий Михайлович, Ткачева Мария Владимировна, Федорова Надежда Евгеньевна, Шабунин Михаил Иванович, издательство Просвещение, Москва, 2014, страница 53, номер 137, Решение 1 (продолжение 3)
Алгебра, 10-11 класс Учебник, авторы: Алимов Шавкат Арифджанович, Колягин Юрий Михайлович, Ткачева Мария Владимировна, Федорова Надежда Евгеньевна, Шабунин Михаил Иванович, издательство Просвещение, Москва, 2014, страница 53, номер 137, Решение 1 (продолжение 4)
Алгебра, 10-11 класс Учебник, авторы: Алимов Шавкат Арифджанович, Колягин Юрий Михайлович, Ткачева Мария Владимировна, Федорова Надежда Евгеньевна, Шабунин Михаил Иванович, издательство Просвещение, Москва, 2014, страница 53, номер 137, Решение 1 (продолжение 5) Алгебра, 10-11 класс Учебник, авторы: Алимов Шавкат Арифджанович, Колягин Юрий Михайлович, Ткачева Мария Владимировна, Федорова Надежда Евгеньевна, Шабунин Михаил Иванович, издательство Просвещение, Москва, 2014, страница 53, номер 137, Решение 1 (продолжение 6) Алгебра, 10-11 класс Учебник, авторы: Алимов Шавкат Арифджанович, Колягин Юрий Михайлович, Ткачева Мария Владимировна, Федорова Надежда Евгеньевна, Шабунин Михаил Иванович, издательство Просвещение, Москва, 2014, страница 53, номер 137, Решение 1 (продолжение 7) Алгебра, 10-11 класс Учебник, авторы: Алимов Шавкат Арифджанович, Колягин Юрий Михайлович, Ткачева Мария Владимировна, Федорова Надежда Евгеньевна, Шабунин Михаил Иванович, издательство Просвещение, Москва, 2014, страница 53, номер 137, Решение 1 (продолжение 8)
Решение 2. №137 (с. 53)
Алгебра, 10-11 класс Учебник, авторы: Алимов Шавкат Арифджанович, Колягин Юрий Михайлович, Ткачева Мария Владимировна, Федорова Надежда Евгеньевна, Шабунин Михаил Иванович, издательство Просвещение, Москва, 2014, страница 53, номер 137, Решение 2
Алгебра, 10-11 класс Учебник, авторы: Алимов Шавкат Арифджанович, Колягин Юрий Михайлович, Ткачева Мария Владимировна, Федорова Надежда Евгеньевна, Шабунин Михаил Иванович, издательство Просвещение, Москва, 2014, страница 53, номер 137, Решение 2 (продолжение 2)
Алгебра, 10-11 класс Учебник, авторы: Алимов Шавкат Арифджанович, Колягин Юрий Михайлович, Ткачева Мария Владимировна, Федорова Надежда Евгеньевна, Шабунин Михаил Иванович, издательство Просвещение, Москва, 2014, страница 53, номер 137, Решение 2 (продолжение 3)
Алгебра, 10-11 класс Учебник, авторы: Алимов Шавкат Арифджанович, Колягин Юрий Михайлович, Ткачева Мария Владимировна, Федорова Надежда Евгеньевна, Шабунин Михаил Иванович, издательство Просвещение, Москва, 2014, страница 53, номер 137, Решение 2 (продолжение 4)
Алгебра, 10-11 класс Учебник, авторы: Алимов Шавкат Арифджанович, Колягин Юрий Михайлович, Ткачева Мария Владимировна, Федорова Надежда Евгеньевна, Шабунин Михаил Иванович, издательство Просвещение, Москва, 2014, страница 53, номер 137, Решение 2 (продолжение 5)
Решение 5. №137 (с. 53)
Алгебра, 10-11 класс Учебник, авторы: Алимов Шавкат Арифджанович, Колягин Юрий Михайлович, Ткачева Мария Владимировна, Федорова Надежда Евгеньевна, Шабунин Михаил Иванович, издательство Просвещение, Москва, 2014, страница 53, номер 137, Решение 5
Решение 6. №137 (с. 53)
Алгебра, 10-11 класс Учебник, авторы: Алимов Шавкат Арифджанович, Колягин Юрий Михайлович, Ткачева Мария Владимировна, Федорова Надежда Евгеньевна, Шабунин Михаил Иванович, издательство Просвещение, Москва, 2014, страница 53, номер 137, Решение 6
Решение 7. №137 (с. 53)
Алгебра, 10-11 класс Учебник, авторы: Алимов Шавкат Арифджанович, Колягин Юрий Михайлович, Ткачева Мария Владимировна, Федорова Надежда Евгеньевна, Шабунин Михаил Иванович, издательство Просвещение, Москва, 2014, страница 53, номер 137, Решение 7 Алгебра, 10-11 класс Учебник, авторы: Алимов Шавкат Арифджанович, Колягин Юрий Михайлович, Ткачева Мария Владимировна, Федорова Надежда Евгеньевна, Шабунин Михаил Иванович, издательство Просвещение, Москва, 2014, страница 53, номер 137, Решение 7 (продолжение 2) Алгебра, 10-11 класс Учебник, авторы: Алимов Шавкат Арифджанович, Колягин Юрий Михайлович, Ткачева Мария Владимировна, Федорова Надежда Евгеньевна, Шабунин Михаил Иванович, издательство Просвещение, Москва, 2014, страница 53, номер 137, Решение 7 (продолжение 3) Алгебра, 10-11 класс Учебник, авторы: Алимов Шавкат Арифджанович, Колягин Юрий Михайлович, Ткачева Мария Владимировна, Федорова Надежда Евгеньевна, Шабунин Михаил Иванович, издательство Просвещение, Москва, 2014, страница 53, номер 137, Решение 7 (продолжение 4) Алгебра, 10-11 класс Учебник, авторы: Алимов Шавкат Арифджанович, Колягин Юрий Михайлович, Ткачева Мария Владимировна, Федорова Надежда Евгеньевна, Шабунин Михаил Иванович, издательство Просвещение, Москва, 2014, страница 53, номер 137, Решение 7 (продолжение 5) Алгебра, 10-11 класс Учебник, авторы: Алимов Шавкат Арифджанович, Колягин Юрий Михайлович, Ткачева Мария Владимировна, Федорова Надежда Евгеньевна, Шабунин Михаил Иванович, издательство Просвещение, Москва, 2014, страница 53, номер 137, Решение 7 (продолжение 6) Алгебра, 10-11 класс Учебник, авторы: Алимов Шавкат Арифджанович, Колягин Юрий Михайлович, Ткачева Мария Владимировна, Федорова Надежда Евгеньевна, Шабунин Михаил Иванович, издательство Просвещение, Москва, 2014, страница 53, номер 137, Решение 7 (продолжение 7) Алгебра, 10-11 класс Учебник, авторы: Алимов Шавкат Арифджанович, Колягин Юрий Михайлович, Ткачева Мария Владимировна, Федорова Надежда Евгеньевна, Шабунин Михаил Иванович, издательство Просвещение, Москва, 2014, страница 53, номер 137, Решение 7 (продолжение 8)
Решение 8. №137 (с. 53)

1) $y = 3x - 1$

Исходная функция: $f(x) = 3x - 1$.
Это линейная функция, её график — прямая. Она определена и принимает значения для любых действительных чисел.
Область определения: $D(f) = (-\infty; +\infty)$.
Множество значений: $E(f) = (-\infty; +\infty)$.

Нахождение обратной функции:
1. В уравнении $y = 3x - 1$ меняем местами $x$ и $y$: $x = 3y - 1$.
2. Выражаем $y$ из этого уравнения: $3y = x + 1 \implies y = \frac{x+1}{3}$.
Итак, обратная функция $g(x) = \frac{x+1}{3}$.

Обратная функция: $g(x) = \frac{x+1}{3}$.
Область определения обратной функции $D(g)$ совпадает с множеством значений исходной функции $E(f)$: $D(g) = (-\infty; +\infty)$.
Множество значений обратной функции $E(g)$ совпадает с областью определения исходной функции $D(f)$: $E(g) = (-\infty; +\infty)$.

Графики функций:
График $y=3x-1$ (синий) и обратной ей функции $y=\frac{x+1}{3}$ (красный) симметричны относительно прямой $y=x$ (серая пунктирная).
График функции y=3x-1 и обратной к ней

Ответ: Обратная функция: $y = \frac{x+1}{3}$. Для $y=3x-1$: $D(f)=(-\infty; +\infty)$, $E(f)=(-\infty; +\infty)$. Для $y=\frac{x+1}{3}$: $D(g)=(-\infty; +\infty)$, $E(g)=(-\infty; +\infty)$.

2) $y = \frac{2x-1}{3}$

Исходная функция: $f(x) = \frac{2x-1}{3}$.
Это также линейная функция. Её можно записать как $y = \frac{2}{3}x - \frac{1}{3}$.
Область определения: $D(f) = (-\infty; +\infty)$.
Множество значений: $E(f) = (-\infty; +\infty)$.

Нахождение обратной функции:
1. Меняем местами $x$ и $y$: $x = \frac{2y-1}{3}$.
2. Выражаем $y$: $3x = 2y - 1 \implies 2y = 3x + 1 \implies y = \frac{3x+1}{2}$.
Обратная функция: $g(x) = \frac{3x+1}{2}$.

Обратная функция: $g(x) = \frac{3x+1}{2}$.
Область определения: $D(g) = E(f) = (-\infty; +\infty)$.
Множество значений: $E(g) = D(f) = (-\infty; +\infty)$.

Графики функций:
Графики исходной функции (синий) и обратной (красный) являются прямыми, симметричными относительно прямой $y=x$ (серая пунктирная).
График функции y=(2x-1)/3 и обратной к ней

Ответ: Обратная функция: $y = \frac{3x+1}{2}$. Для $y=\frac{2x-1}{3}$: $D(f)=(-\infty; +\infty)$, $E(f)=(-\infty; +\infty)$. Для $y=\frac{3x+1}{2}$: $D(g)=(-\infty; +\infty)$, $E(g)=(-\infty; +\infty)$.

3) $y = x^2 - 1$ при $x \ge 0$

Исходная функция: $f(x) = x^2 - 1$ при $x \ge 0$.
Это правая ветвь параболы, смещенной на 1 вниз. Ограничение $x \ge 0$ делает функцию монотонной и, следовательно, обратимой.
Область определения задана: $D(f) = [0; +\infty)$.
Множество значений: так как $x \ge 0$, то $x^2 \ge 0$, и $x^2-1 \ge -1$. $E(f) = [-1; +\infty)$.

Нахождение обратной функции:
1. Меняем $x$ и $y$: $x = y^2 - 1$.
2. Выражаем $y$: $y^2 = x + 1 \implies y = \pm\sqrt{x+1}$.
Поскольку область определения исходной функции была $x \ge 0$, множество значений обратной функции должно быть $y \ge 0$. Поэтому выбираем знак "+".
Обратная функция: $g(x) = \sqrt{x+1}$.

Обратная функция: $g(x) = \sqrt{x+1}$.
Область определения: $D(g) = E(f) = [-1; +\infty)$. (Это также следует из условия $x+1 \ge 0$).
Множество значений: $E(g) = D(f) = [0; +\infty)$.

Графики функций:
График $y=x^2-1$ при $x \ge 0$ (синий) и обратной ей $y=\sqrt{x+1}$ (красный) симметричны относительно $y=x$.
График функции y=x^2-1 и обратной к ней

Ответ: Обратная функция: $y = \sqrt{x+1}$. Для $y=x^2-1, x \ge 0$: $D(f)=[0; +\infty)$, $E(f)=[-1; +\infty)$. Для $y=\sqrt{x+1}$: $D(g)=[-1; +\infty)$, $E(g)=[0; +\infty)$.

4) $y = (x-1)^2$ при $x \ge 1$

Исходная функция: $f(x) = (x-1)^2$ при $x \ge 1$.
Это правая ветвь параболы с вершиной в точке $(1, 0)$.
Область определения задана: $D(f) = [1; +\infty)$.
Множество значений: так как $x \ge 1$, то $x-1 \ge 0$, и $(x-1)^2 \ge 0$. $E(f) = [0; +\infty)$.

Нахождение обратной функции:
1. Меняем $x$ и $y$: $x = (y-1)^2$.
2. Выражаем $y$: $\sqrt{x} = y-1$. Мы берем арифметический (неотрицательный) корень, так как для исходной функции $y \ge 1$, значит $y-1 \ge 0$.
3. $y = \sqrt{x} + 1$.
Обратная функция: $g(x) = \sqrt{x} + 1$.

Обратная функция: $g(x) = \sqrt{x} + 1$.
Область определения: $D(g) = E(f) = [0; +\infty)$.
Множество значений: $E(g) = D(f) = [1; +\infty)$.

Графики функций:
График $y=(x-1)^2$ при $x \ge 1$ (синий) и обратной ей $y=\sqrt{x}+1$ (красный) симметричны относительно $y=x$.
График функции y=(x-1)^2 и обратной к ней

Ответ: Обратная функция: $y = \sqrt{x} + 1$. Для $y=(x-1)^2, x \ge 1$: $D(f)=[1; +\infty)$, $E(f)=[0; +\infty)$. Для $y=\sqrt{x}+1$: $D(g)=[0; +\infty)$, $E(g)=[1; +\infty)$.

5) $y = x^3 - 2$

Исходная функция: $f(x) = x^3 - 2$.
Это кубическая парабола, смещенная на 2 единицы вниз.
Область определения: $D(f) = (-\infty; +\infty)$.
Множество значений: $E(f) = (-\infty; +\infty)$.

Нахождение обратной функции:
1. Меняем $x$ и $y$: $x = y^3 - 2$.
2. Выражаем $y$: $y^3 = x + 2 \implies y = \sqrt[3]{x+2}$.
Обратная функция: $g(x) = \sqrt[3]{x+2}$.

Обратная функция: $g(x) = \sqrt[3]{x+2}$.
Область определения: $D(g) = E(f) = (-\infty; +\infty)$.
Множество значений: $E(g) = D(f) = (-\infty; +\infty)$.

Графики функций:
График $y=x^3-2$ (синий) и обратной ей $y=\sqrt[3]{x+2}$ (красный) симметричны относительно $y=x$.
График функции y=x^3-2 и обратной к ней

Ответ: Обратная функция: $y = \sqrt[3]{x+2}$. Для обеих функций область определения и множество значений: $(-\infty; +\infty)$.

6) $y = (x - 1)^3$

Исходная функция: $f(x) = (x-1)^3$.
Это кубическая парабола, смещенная на 1 единицу вправо.
Область определения: $D(f) = (-\infty; +\infty)$.
Множество значений: $E(f) = (-\infty; +\infty)$.

Нахождение обратной функции:
1. Меняем $x$ и $y$: $x = (y-1)^3$.
2. Выражаем $y$: $\sqrt[3]{x} = y-1 \implies y = \sqrt[3]{x} + 1$.
Обратная функция: $g(x) = \sqrt[3]{x} + 1$.

Обратная функция: $g(x) = \sqrt[3]{x} + 1$.
Область определения: $D(g) = (-\infty; +\infty)$.
Множество значений: $E(g) = (-\infty; +\infty)$.

Графики функций:
График $y=(x-1)^3$ (синий) и обратной ей $y=\sqrt[3]{x}+1$ (красный) симметричны относительно $y=x$.
График функции y=(x-1)^3 и обратной к ней

Ответ: Обратная функция: $y = \sqrt[3]{x} + 1$. Для обеих функций область определения и множество значений: $(-\infty; +\infty)$.

7) $y = \sqrt{x - 1}$

Исходная функция: $f(x) = \sqrt{x-1}$.
Это график функции квадратного корня, смещенный на 1 вправо.
Область определения: $x-1 \ge 0 \implies x \ge 1$. $D(f) = [1; +\infty)$.
Множество значений: $y \ge 0$. $E(f) = [0; +\infty)$.

Нахождение обратной функции:
1. Меняем $x$ и $y$: $x = \sqrt{y-1}$. Область определения этой новой зависимости (которая станет областью определения обратной функции) есть $x \ge 0$.
2. Возводим в квадрат: $x^2 = y-1$.
3. Выражаем $y$: $y = x^2 + 1$.
Обратная функция: $g(x) = x^2 + 1$.

Обратная функция: $g(x) = x^2 + 1$.
Область определения: $D(g) = E(f) = [0; +\infty)$.
Множество значений: $E(g) = D(f) = [1; +\infty)$.

Графики функций:
График $y=\sqrt{x-1}$ (синий) и обратной ей $y=x^2+1$ при $x \ge 0$ (красный) симметричны относительно $y=x$.
График функции y=sqrt(x-1) и обратной к ней

Ответ: Обратная функция: $y = x^2 + 1$. Для $y=\sqrt{x-1}$: $D(f)=[1; +\infty)$, $E(f)=[0; +\infty)$. Для $y=x^2+1$: $D(g)=[0; +\infty)$, $E(g)=[1; +\infty)$.

8) $y = \sqrt{x} + 1$

Исходная функция: $f(x) = \sqrt{x} + 1$.
Это график функции квадратного корня, смещенный на 1 вверх.
Область определения: $x \ge 0$. $D(f) = [0; +\infty)$.
Множество значений: $\sqrt{x} \ge 0 \implies \sqrt{x}+1 \ge 1$. $E(f) = [1; +\infty)$.

Нахождение обратной функции:
1. Меняем $x$ и $y$: $x = \sqrt{y} + 1$. Область определения этой зависимости $x \ge 1$.
2. Выражаем $\sqrt{y}$: $\sqrt{y} = x-1$.
3. Возводим в квадрат: $y = (x-1)^2$. Возведение в квадрат корректно, так как $x \ge 1 \implies x-1 \ge 0$.
Обратная функция: $g(x) = (x-1)^2$.

Обратная функция: $g(x) = (x-1)^2$.
Область определения: $D(g) = E(f) = [1; +\infty)$.
Множество значений: $E(g) = D(f) = [0; +\infty)$.

Графики функций:
График $y=\sqrt{x}+1$ (синий) и обратной ей $y=(x-1)^2$ при $x \ge 1$ (красный) симметричны относительно $y=x$.
График функции y=sqrt(x)+1 и обратной к ней

Ответ: Обратная функция: $y = (x-1)^2$. Для $y=\sqrt{x}+1$: $D(f)=[0; +\infty)$, $E(f)=[1; +\infty)$. Для $y=(x-1)^2$: $D(g)=[1; +\infty)$, $E(g)=[0; +\infty)$.

Помогло решение? Оставьте отзыв в комментариях ниже.

Присоединяйтесь к Телеграм-группе @top_gdz

Присоединиться

Мы подготовили для вас ответ c подробным объяснением домашего задания по алгебре за 10-11 класс, для упражнения номер 137 расположенного на странице 53 к учебнику 2014 года издания для учащихся школ и гимназий.

Теперь на нашем сайте ГДЗ.ТОП вы всегда легко и бесплатно найдёте условие с правильным ответом на вопрос «Как решить ДЗ» и «Как сделать» задание по алгебре к упражнению №137 (с. 53), авторов: Алимов (Шавкат Арифджанович), Колягин (Юрий Михайлович), Ткачева (Мария Владимировна), Федорова (Надежда Евгеньевна), Шабунин (Михаил Иванович), ФГОС (старый) базовый и углублённый уровень обучения учебного пособия издательства Просвещение.