Номер 1394, страница 412 - гдз по алгебре 10-11 класс учебник Алимов, Колягин

Алгебра, 10-11 класс Учебник, авторы: Алимов Шавкат Арифджанович, Колягин Юрий Михайлович, Ткачева Мария Владимировна, Федорова Надежда Евгеньевна, Шабунин Михаил Иванович, издательство Просвещение, Москва, 2014

Авторы: Алимов Ш. А., Колягин Ю. М., Ткачева М. В., Федорова Н. Е., Шабунин М. И.

Тип: Учебник

Издательство: Просвещение

Год издания: 2014 - 2025

Уровень обучения: базовый и углублённый

Цвет обложки: синий, фиолетовый

ISBN: 978-5-09-112136-0

Допущено Министерством просвещения Российской Федерации

Математика: алгебра и начала математического анализа, геометрия

Популярные ГДЗ в 10 классе

Упражнения для итогового повторения курса алгебры и начал математического анализа. 3. Неравенства - номер 1394, страница 412.

№1394 (с. 412)
Условие. №1394 (с. 412)
скриншот условия
Алгебра, 10-11 класс Учебник, авторы: Алимов Шавкат Арифджанович, Колягин Юрий Михайлович, Ткачева Мария Владимировна, Федорова Надежда Евгеньевна, Шабунин Михаил Иванович, издательство Просвещение, Москва, 2014, страница 412, номер 1394, Условие

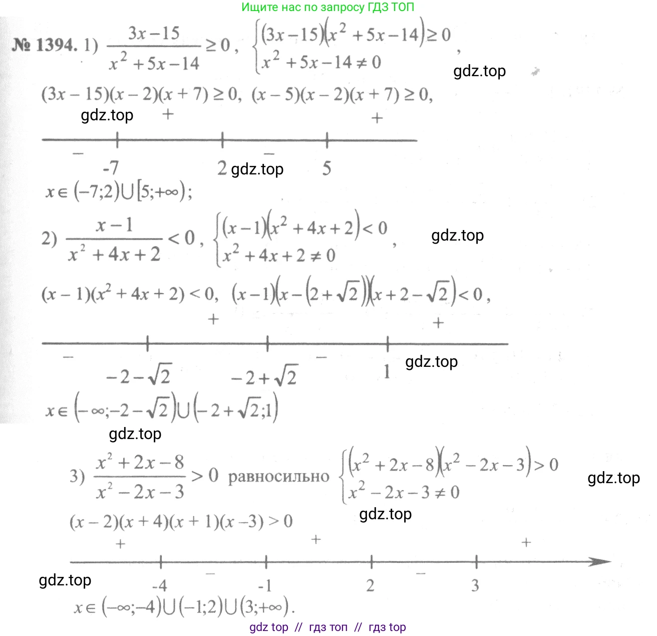
1394 1) $\frac{3x-15}{x^2+5x-14} \ge 0;$

2) $\frac{x-1}{x^2+4x+2} < 0;$

3) $\frac{x^2+2x-8}{x^2-2x-3} > 0.$

Решение 1. №1394 (с. 412)
Алгебра, 10-11 класс Учебник, авторы: Алимов Шавкат Арифджанович, Колягин Юрий Михайлович, Ткачева Мария Владимировна, Федорова Надежда Евгеньевна, Шабунин Михаил Иванович, издательство Просвещение, Москва, 2014, страница 412, номер 1394, Решение 1
Алгебра, 10-11 класс Учебник, авторы: Алимов Шавкат Арифджанович, Колягин Юрий Михайлович, Ткачева Мария Владимировна, Федорова Надежда Евгеньевна, Шабунин Михаил Иванович, издательство Просвещение, Москва, 2014, страница 412, номер 1394, Решение 1 (продолжение 2)
Алгебра, 10-11 класс Учебник, авторы: Алимов Шавкат Арифджанович, Колягин Юрий Михайлович, Ткачева Мария Владимировна, Федорова Надежда Евгеньевна, Шабунин Михаил Иванович, издательство Просвещение, Москва, 2014, страница 412, номер 1394, Решение 1 (продолжение 3)
Решение 2. №1394 (с. 412)
Алгебра, 10-11 класс Учебник, авторы: Алимов Шавкат Арифджанович, Колягин Юрий Михайлович, Ткачева Мария Владимировна, Федорова Надежда Евгеньевна, Шабунин Михаил Иванович, издательство Просвещение, Москва, 2014, страница 412, номер 1394, Решение 2
Алгебра, 10-11 класс Учебник, авторы: Алимов Шавкат Арифджанович, Колягин Юрий Михайлович, Ткачева Мария Владимировна, Федорова Надежда Евгеньевна, Шабунин Михаил Иванович, издательство Просвещение, Москва, 2014, страница 412, номер 1394, Решение 2 (продолжение 2)
Решение 7. №1394 (с. 412)
Алгебра, 10-11 класс Учебник, авторы: Алимов Шавкат Арифджанович, Колягин Юрий Михайлович, Ткачева Мария Владимировна, Федорова Надежда Евгеньевна, Шабунин Михаил Иванович, издательство Просвещение, Москва, 2014, страница 412, номер 1394, Решение 7
Алгебра, 10-11 класс Учебник, авторы: Алимов Шавкат Арифджанович, Колягин Юрий Михайлович, Ткачева Мария Владимировна, Федорова Надежда Евгеньевна, Шабунин Михаил Иванович, издательство Просвещение, Москва, 2014, страница 412, номер 1394, Решение 7 (продолжение 2)
Решение 8. №1394 (с. 412)

1)

Решим неравенство $\frac{3x - 15}{x^2 + 5x - 14} \ge 0$.

Это рациональное неравенство, решаемое методом интервалов.

1. Найдем нули числителя:

$3x - 15 = 0 \Rightarrow 3x = 15 \Rightarrow x = 5$.

Поскольку неравенство нестрогое ($\ge$), точка $x=5$ является решением и на числовой прямой будет отмечена закрашенной точкой.

2. Найдем нули знаменателя (точки, в которых знаменатель равен нулю и которые должны быть исключены из решения):

$x^2 + 5x - 14 = 0$.

По теореме Виета находим корни: $x_1 \cdot x_2 = -14$ и $x_1 + x_2 = -5$. Корнями являются $x_1 = -7$ и $x_2 = 2$.

Эти точки ($x = -7$ и $x = 2$) на числовой прямой будут отмечены выколотыми (пустыми) точками, так как знаменатель не может быть равен нулю.

3. Отметим все найденные точки на числовой оси и определим знаки выражения в полученных интервалах.

Исходное неравенство можно переписать в виде: $\frac{3(x - 5)}{(x + 7)(x - 2)} \ge 0$.

Точки $-7, 2, 5$ разбивают числовую прямую на четыре интервала: $(-\infty; -7)$, $(-7; 2)$, $(2; 5]$, $[5; +\infty)$.

  • При $x > 5$ (например, $x=10$): $\frac{3(10-5)}{(10+7)(10-2)} = \frac{+}{++} > 0$. Знак "+".
  • При $2 < x < 5$ (например, $x=3$): $\frac{3(3-5)}{(3+7)(3-2)} = \frac{-}{++} < 0$. Знак "-".
  • При $-7 < x < 2$ (например, $x=0$): $\frac{3(0-5)}{(0+7)(0-2)} = \frac{-}{+-} > 0$. Знак "+".
  • При $x < -7$ (например, $x=-10$): $\frac{3(-10-5)}{(-10+7)(-10-2)} = \frac{-}{--} < 0$. Знак "-".

Нас интересуют интервалы, где выражение больше или равно нулю. Это интервалы со знаком "+", включая точку $x=5$.

Ответ: $x \in (-7; 2) \cup [5; +\infty)$.

2)

Решим неравенство $\frac{x-1}{x^2+4x+2} < 0$.

1. Найдем нули числителя:

$x - 1 = 0 \Rightarrow x = 1$.

Так как неравенство строгое ($<$), точка $x=1$ будет выколотой.

2. Найдем нули знаменателя:

$x^2 + 4x + 2 = 0$.

Решим квадратное уравнение. Дискриминант $D = b^2 - 4ac = 4^2 - 4 \cdot 1 \cdot 2 = 16 - 8 = 8$.

Корни: $x = \frac{-4 \pm \sqrt{8}}{2} = \frac{-4 \pm 2\sqrt{2}}{2} = -2 \pm \sqrt{2}$.

Получаем две точки: $x_1 = -2 - \sqrt{2}$ и $x_2 = -2 + \sqrt{2}$. Эти точки также будут выколотыми.

3. Расположим точки на числовой оси в порядке возрастания. Учитывая, что $\sqrt{2} \approx 1.41$, имеем $x_1 \approx -3.41$ и $x_2 \approx -0.59$. Порядок точек: $-2-\sqrt{2}$, $-2+\sqrt{2}$, $1$.

Исходное неравенство можно переписать в виде: $\frac{x-1}{(x - (-2-\sqrt{2}))(x - (-2+\sqrt{2}))} < 0$.

Точки разбивают числовую прямую на интервалы: $(-\infty; -2-\sqrt{2})$, $(-2-\sqrt{2}; -2+\sqrt{2})$, $(-2+\sqrt{2}; 1)$, $(1; +\infty)$.

  • При $x > 1$ (например, $x=2$): $\frac{2-1}{2^2+4\cdot2+2} = \frac{1}{14} > 0$. Знак "+".
  • При $-2+\sqrt{2} < x < 1$ (например, $x=0$): $\frac{0-1}{0^2+4\cdot0+2} = -\frac{1}{2} < 0$. Знак "-".
  • При $-2-\sqrt{2} < x < -2+\sqrt{2}$ (например, $x=-2$): $\frac{-2-1}{(-2)^2+4(-2)+2} = \frac{-3}{4-8+2} = \frac{-3}{-2} > 0$. Знак "+".
  • При $x < -2-\sqrt{2}$ (например, $x=-4$): $\frac{-4-1}{(-4)^2+4(-4)+2} = \frac{-5}{16-16+2} = -\frac{5}{2} < 0$. Знак "-".

Нас интересуют интервалы, где выражение меньше нуля. Это интервалы со знаком "-".

Ответ: $x \in (-\infty; -2-\sqrt{2}) \cup (-2+\sqrt{2}; 1)$.

3)

Решим неравенство $\frac{x^2+2x-8}{x^2-2x-3} > 0$.

1. Разложим на множители числитель и знаменатель. Для этого найдем их корни.

Корни числителя $x^2 + 2x - 8 = 0$:

По теореме Виета: $x_1 \cdot x_2 = -8$ и $x_1 + x_2 = -2$. Корни: $x_1 = -4$ и $x_2 = 2$.

Значит, $x^2 + 2x - 8 = (x+4)(x-2)$.

Корни знаменателя $x^2 - 2x - 3 = 0$:

По теореме Виета: $x_1 \cdot x_2 = -3$ и $x_1 + x_2 = 2$. Корни: $x_1 = -1$ и $x_2 = 3$.

Значит, $x^2 - 2x - 3 = (x+1)(x-3)$.

2. Перепишем неравенство в виде:

$\frac{(x+4)(x-2)}{(x+1)(x-3)} > 0$.

3. Нанесем на числовую прямую нули числителя и знаменателя. Так как неравенство строгое ($>$), все точки будут выколотыми: $-4, -1, 2, 3$.

Точки разбивают числовую прямую на пять интервалов: $(-\infty; -4)$, $(-4; -1)$, $(-1; 2)$, $(2; 3)$, $(3; +\infty)$.

  • При $x > 3$ (например, $x=4$): $\frac{(+)(+)}{(+)(+)} > 0$. Знак "+".
  • При $2 < x < 3$ (например, $x=2.5$): $\frac{(+)(+)}{(+)(-)} < 0$. Знак "-".
  • При $-1 < x < 2$ (например, $x=0$): $\frac{(+)(-)}{(+)(-)} > 0$. Знак "+".
  • При $-4 < x < -1$ (например, $x=-2$): $\frac{(+)(-)}{(-)(-)} < 0$. Знак "-".
  • При $x < -4$ (например, $x=-5$): $\frac{(-)(-)}{(-)(-)} > 0$. Знак "+".

Нас интересуют интервалы, где выражение больше нуля. Это интервалы со знаком "+".

Ответ: $x \in (-\infty; -4) \cup (-1; 2) \cup (3; +\infty)$.

Помогло решение? Оставьте отзыв в комментариях ниже.

Присоединяйтесь к Телеграм-группе @top_gdz

Присоединиться

Мы подготовили для вас ответ c подробным объяснением домашего задания по алгебре за 10-11 класс, для упражнения номер 1394 расположенного на странице 412 к учебнику 2014 года издания для учащихся школ и гимназий.

Теперь на нашем сайте ГДЗ.ТОП вы всегда легко и бесплатно найдёте условие с правильным ответом на вопрос «Как решить ДЗ» и «Как сделать» задание по алгебре к упражнению №1394 (с. 412), авторов: Алимов (Шавкат Арифджанович), Колягин (Юрий Михайлович), Ткачева (Мария Владимировна), Федорова (Надежда Евгеньевна), Шабунин (Михаил Иванович), ФГОС (старый) базовый и углублённый уровень обучения учебного пособия издательства Просвещение.