Номер 1425, страница 415 - гдз по алгебре 10-11 класс учебник Алимов, Колягин

Алгебра, 10-11 класс Учебник, авторы: Алимов Шавкат Арифджанович, Колягин Юрий Михайлович, Ткачева Мария Владимировна, Федорова Надежда Евгеньевна, Шабунин Михаил Иванович, издательство Просвещение, Москва, 2014

Авторы: Алимов Ш. А., Колягин Ю. М., Ткачева М. В., Федорова Н. Е., Шабунин М. И.

Тип: Учебник

Издательство: Просвещение

Год издания: 2014 - 2025

Уровень обучения: базовый и углублённый

Цвет обложки: синий, фиолетовый

ISBN: 978-5-09-112136-0

Допущено Министерством просвещения Российской Федерации

Математика: алгебра и начала математического анализа, геометрия

Популярные ГДЗ в 10 классе

Упражнения для итогового повторения курса алгебры и начал математического анализа. 4. Системы уравнений и неравенств - номер 1425, страница 415.

№1425 (с. 415)
Условие. №1425 (с. 415)
скриншот условия
Алгебра, 10-11 класс Учебник, авторы: Алимов Шавкат Арифджанович, Колягин Юрий Михайлович, Ткачева Мария Владимировна, Федорова Надежда Евгеньевна, Шабунин Михаил Иванович, издательство Просвещение, Москва, 2014, страница 415, номер 1425, Условие

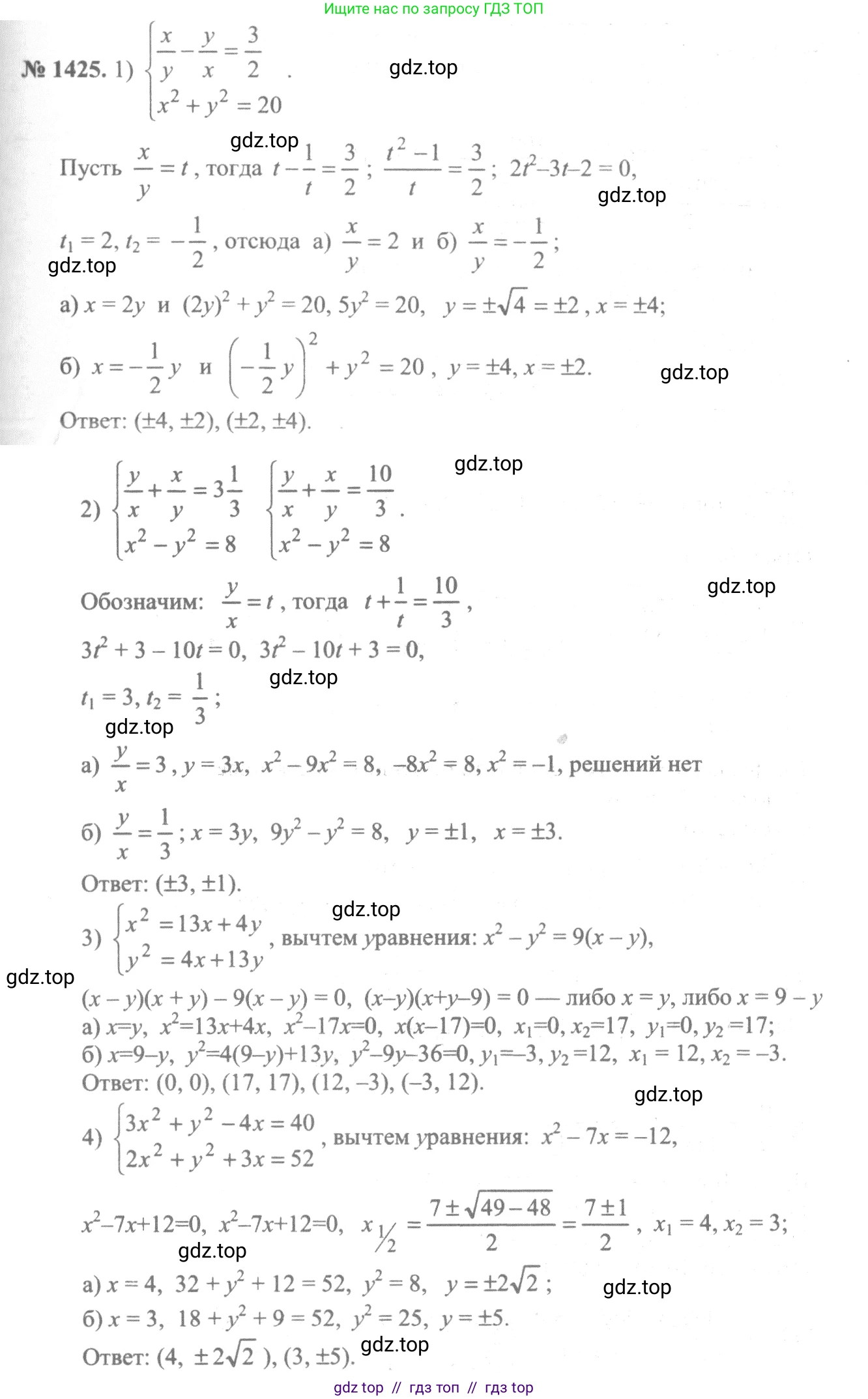
1425 1) $$\begin{cases} \frac{x}{y} - \frac{y}{x} = \frac{3}{2}, \\ x^2 + y^2 = 20; \end{cases}$$

2) $$\begin{cases} \frac{y}{x} + \frac{x}{y} = 3\frac{1}{3}, \\ x^2 - y^2 = 8; \end{cases}$$

3) $$\begin{cases} x^2 = 13x + 4y, \\ y^2 = 4x + 13y; \end{cases}$$

4) $$\begin{cases} 3x^2 + y^2 - 4x = 40, \\ 2x^2 + y^2 + 3x = 52. \end{cases}$$

Решение 1. №1425 (с. 415)
Алгебра, 10-11 класс Учебник, авторы: Алимов Шавкат Арифджанович, Колягин Юрий Михайлович, Ткачева Мария Владимировна, Федорова Надежда Евгеньевна, Шабунин Михаил Иванович, издательство Просвещение, Москва, 2014, страница 415, номер 1425, Решение 1
Алгебра, 10-11 класс Учебник, авторы: Алимов Шавкат Арифджанович, Колягин Юрий Михайлович, Ткачева Мария Владимировна, Федорова Надежда Евгеньевна, Шабунин Михаил Иванович, издательство Просвещение, Москва, 2014, страница 415, номер 1425, Решение 1 (продолжение 2)
Алгебра, 10-11 класс Учебник, авторы: Алимов Шавкат Арифджанович, Колягин Юрий Михайлович, Ткачева Мария Владимировна, Федорова Надежда Евгеньевна, Шабунин Михаил Иванович, издательство Просвещение, Москва, 2014, страница 415, номер 1425, Решение 1 (продолжение 3)
Алгебра, 10-11 класс Учебник, авторы: Алимов Шавкат Арифджанович, Колягин Юрий Михайлович, Ткачева Мария Владимировна, Федорова Надежда Евгеньевна, Шабунин Михаил Иванович, издательство Просвещение, Москва, 2014, страница 415, номер 1425, Решение 1 (продолжение 4)
Решение 2. №1425 (с. 415)
Алгебра, 10-11 класс Учебник, авторы: Алимов Шавкат Арифджанович, Колягин Юрий Михайлович, Ткачева Мария Владимировна, Федорова Надежда Евгеньевна, Шабунин Михаил Иванович, издательство Просвещение, Москва, 2014, страница 415, номер 1425, Решение 2
Алгебра, 10-11 класс Учебник, авторы: Алимов Шавкат Арифджанович, Колягин Юрий Михайлович, Ткачева Мария Владимировна, Федорова Надежда Евгеньевна, Шабунин Михаил Иванович, издательство Просвещение, Москва, 2014, страница 415, номер 1425, Решение 2 (продолжение 2)
Алгебра, 10-11 класс Учебник, авторы: Алимов Шавкат Арифджанович, Колягин Юрий Михайлович, Ткачева Мария Владимировна, Федорова Надежда Евгеньевна, Шабунин Михаил Иванович, издательство Просвещение, Москва, 2014, страница 415, номер 1425, Решение 2 (продолжение 3)
Решение 5. №1425 (с. 415)
Алгебра, 10-11 класс Учебник, авторы: Алимов Шавкат Арифджанович, Колягин Юрий Михайлович, Ткачева Мария Владимировна, Федорова Надежда Евгеньевна, Шабунин Михаил Иванович, издательство Просвещение, Москва, 2014, страница 415, номер 1425, Решение 5
Решение 7. №1425 (с. 415)
Алгебра, 10-11 класс Учебник, авторы: Алимов Шавкат Арифджанович, Колягин Юрий Михайлович, Ткачева Мария Владимировна, Федорова Надежда Евгеньевна, Шабунин Михаил Иванович, издательство Просвещение, Москва, 2014, страница 415, номер 1425, Решение 7
Алгебра, 10-11 класс Учебник, авторы: Алимов Шавкат Арифджанович, Колягин Юрий Михайлович, Ткачева Мария Владимировна, Федорова Надежда Евгеньевна, Шабунин Михаил Иванович, издательство Просвещение, Москва, 2014, страница 415, номер 1425, Решение 7 (продолжение 2) Алгебра, 10-11 класс Учебник, авторы: Алимов Шавкат Арифджанович, Колягин Юрий Михайлович, Ткачева Мария Владимировна, Федорова Надежда Евгеньевна, Шабунин Михаил Иванович, издательство Просвещение, Москва, 2014, страница 415, номер 1425, Решение 7 (продолжение 3) Алгебра, 10-11 класс Учебник, авторы: Алимов Шавкат Арифджанович, Колягин Юрий Михайлович, Ткачева Мария Владимировна, Федорова Надежда Евгеньевна, Шабунин Михаил Иванович, издательство Просвещение, Москва, 2014, страница 415, номер 1425, Решение 7 (продолжение 4)
Решение 8. №1425 (с. 415)

1)

Дана система уравнений:

$ \begin{cases} \frac{x}{y} - \frac{y}{x} = \frac{3}{2} \\ x^2 + y^2 = 20 \end{cases} $

Область допустимых значений: $x \neq 0$, $y \neq 0$.

Рассмотрим первое уравнение. Сделаем замену переменной. Пусть $t = \frac{x}{y}$. Тогда уравнение примет вид:

$t - \frac{1}{t} = \frac{3}{2}$

Умножим обе части уравнения на $2t$ (так как $t \neq 0$):

$2t^2 - 2 = 3t$

$2t^2 - 3t - 2 = 0$

Решим это квадратное уравнение относительно $t$. Дискриминант $D = (-3)^2 - 4(2)(-2) = 9 + 16 = 25$.

$t_1 = \frac{3 - \sqrt{25}}{2 \cdot 2} = \frac{3 - 5}{4} = -\frac{2}{4} = -\frac{1}{2}$

$t_2 = \frac{3 + \sqrt{25}}{2 \cdot 2} = \frac{3 + 5}{4} = \frac{8}{4} = 2$

Теперь вернемся к исходным переменным. Рассмотрим два случая.

Случай 1: $\frac{x}{y} = 2$, откуда $x = 2y$.

Подставим это выражение во второе уравнение системы:

$(2y)^2 + y^2 = 20$

$4y^2 + y^2 = 20$

$5y^2 = 20$

$y^2 = 4$

Отсюда $y_1 = 2$ и $y_2 = -2$.

Если $y=2$, то $x = 2 \cdot 2 = 4$. Получаем решение $(4, 2)$.

Если $y=-2$, то $x = 2 \cdot (-2) = -4$. Получаем решение $(-4, -2)$.

Случай 2: $\frac{x}{y} = -\frac{1}{2}$, откуда $y = -2x$.

Подставим это выражение во второе уравнение системы:

$x^2 + (-2x)^2 = 20$

$x^2 + 4x^2 = 20$

$5x^2 = 20$

$x^2 = 4$

Отсюда $x_3 = 2$ и $x_4 = -2$.

Если $x=2$, то $y = -2 \cdot 2 = -4$. Получаем решение $(2, -4)$.

Если $x=-2$, то $y = -2 \cdot (-2) = 4$. Получаем решение $(-2, 4)$.

Ответ: $(4, 2)$, $(-4, -2)$, $(2, -4)$, $(-2, 4)$.

2)

Дана система уравнений:

$ \begin{cases} \frac{y}{x} + \frac{x}{y} = 3\frac{1}{3} \\ x^2 - y^2 = 8 \end{cases} $

Область допустимых значений: $x \neq 0$, $y \neq 0$.

Преобразуем первое уравнение: $\frac{y}{x} + \frac{x}{y} = \frac{10}{3}$.

Сделаем замену переменной. Пусть $t = \frac{x}{y}$. Тогда уравнение примет вид:

$\frac{1}{t} + t = \frac{10}{3}$

Умножим обе части на $3t$ (так как $t \neq 0$):

$3 + 3t^2 = 10t$

$3t^2 - 10t + 3 = 0$

Решим это квадратное уравнение. Дискриминант $D = (-10)^2 - 4(3)(3) = 100 - 36 = 64$.

$t_1 = \frac{10 - \sqrt{64}}{2 \cdot 3} = \frac{10 - 8}{6} = \frac{2}{6} = \frac{1}{3}$

$t_2 = \frac{10 + \sqrt{64}}{2 \cdot 3} = \frac{10 + 8}{6} = \frac{18}{6} = 3$

Рассмотрим два случая.

Случай 1: $\frac{x}{y} = 3$, откуда $x = 3y$.

Подставим во второе уравнение системы:

$(3y)^2 - y^2 = 8$

$9y^2 - y^2 = 8$

$8y^2 = 8$

$y^2 = 1$

Отсюда $y_1 = 1$ и $y_2 = -1$.

Если $y=1$, то $x = 3 \cdot 1 = 3$. Получаем решение $(3, 1)$.

Если $y=-1$, то $x = 3 \cdot (-1) = -3$. Получаем решение $(-3, -1)$.

Случай 2: $\frac{x}{y} = \frac{1}{3}$, откуда $y = 3x$.

Подставим во второе уравнение системы:

$x^2 - (3x)^2 = 8$

$x^2 - 9x^2 = 8$

$-8x^2 = 8$

$x^2 = -1$

Это уравнение не имеет действительных решений.

Ответ: $(3, 1)$, $(-3, -1)$.

3)

Дана система уравнений:

$ \begin{cases} x^2 = 13x + 4y \\ y^2 = 4x + 13y \end{cases} $

Вычтем второе уравнение из первого:

$x^2 - y^2 = (13x + 4y) - (4x + 13y)$

$x^2 - y^2 = 9x - 9y$

$(x - y)(x + y) = 9(x - y)$

$(x - y)(x + y) - 9(x - y) = 0$

$(x - y)(x + y - 9) = 0$

Это равенство верно в двух случаях.

Случай 1: $x - y = 0$, то есть $x = y$.

Подставим $y = x$ в первое уравнение системы:

$x^2 = 13x + 4x$

$x^2 = 17x$

$x^2 - 17x = 0$

$x(x - 17) = 0$

Отсюда $x_1 = 0$ или $x_2 = 17$.

Так как $y=x$, получаем решения: $(0, 0)$ и $(17, 17)$.

Случай 2: $x + y - 9 = 0$, то есть $y = 9 - x$.

Подставим $y = 9 - x$ в первое уравнение системы:

$x^2 = 13x + 4(9 - x)$

$x^2 = 13x + 36 - 4x$

$x^2 = 9x + 36$

$x^2 - 9x - 36 = 0$

Решим квадратное уравнение. Дискриминант $D = (-9)^2 - 4(1)(-36) = 81 + 144 = 225$.

$x_3 = \frac{9 - \sqrt{225}}{2} = \frac{9 - 15}{2} = -3$

$x_4 = \frac{9 + \sqrt{225}}{2} = \frac{9 + 15}{2} = 12$

Если $x=-3$, то $y = 9 - (-3) = 12$. Получаем решение $(-3, 12)$.

Если $x=12$, то $y = 9 - 12 = -3$. Получаем решение $(12, -3)$.

Ответ: $(0, 0)$, $(17, 17)$, $(-3, 12)$, $(12, -3)$.

4)

Дана система уравнений:

$ \begin{cases} 3x^2 + y^2 - 4x = 40 \\ 2x^2 + y^2 + 3x = 52 \end{cases} $

Вычтем первое уравнение из второго, чтобы избавиться от $y^2$:

$(2x^2 + y^2 + 3x) - (3x^2 + y^2 - 4x) = 52 - 40$

$2x^2 + y^2 + 3x - 3x^2 - y^2 + 4x = 12$

$-x^2 + 7x = 12$

$x^2 - 7x + 12 = 0$

Решим это квадратное уравнение. По теореме Виета, корни $x_1=3$ и $x_2=4$.

Теперь найдем соответствующие значения $y$ для каждого значения $x$. Выразим $y^2$ из второго уравнения:

$y^2 = 52 - 2x^2 - 3x$

Случай 1: $x = 3$.

$y^2 = 52 - 2(3^2) - 3(3) = 52 - 2(9) - 9 = 52 - 18 - 9 = 25$

Отсюда $y = \pm\sqrt{25}$, то есть $y_1 = 5$ и $y_2 = -5$.

Получаем решения: $(3, 5)$ и $(3, -5)$.

Случай 2: $x = 4$.

$y^2 = 52 - 2(4^2) - 3(4) = 52 - 2(16) - 12 = 52 - 32 - 12 = 8$

Отсюда $y = \pm\sqrt{8}$, то есть $y_3 = 2\sqrt{2}$ и $y_4 = -2\sqrt{2}$.

Получаем решения: $(4, 2\sqrt{2})$ и $(4, -2\sqrt{2})$.

Ответ: $(3, 5)$, $(3, -5)$, $(4, 2\sqrt{2})$, $(4, -2\sqrt{2})$.

Помогло решение? Оставьте отзыв в комментариях ниже.

Присоединяйтесь к Телеграм-группе @top_gdz

Присоединиться

Мы подготовили для вас ответ c подробным объяснением домашего задания по алгебре за 10-11 класс, для упражнения номер 1425 расположенного на странице 415 к учебнику 2014 года издания для учащихся школ и гимназий.

Теперь на нашем сайте ГДЗ.ТОП вы всегда легко и бесплатно найдёте условие с правильным ответом на вопрос «Как решить ДЗ» и «Как сделать» задание по алгебре к упражнению №1425 (с. 415), авторов: Алимов (Шавкат Арифджанович), Колягин (Юрий Михайлович), Ткачева (Мария Владимировна), Федорова (Надежда Евгеньевна), Шабунин (Михаил Иванович), ФГОС (старый) базовый и углублённый уровень обучения учебного пособия издательства Просвещение.