Номер 1429, страница 415 - гдз по алгебре 10-11 класс учебник Алимов, Колягин

Алгебра, 10-11 класс Учебник, авторы: Алимов Шавкат Арифджанович, Колягин Юрий Михайлович, Ткачева Мария Владимировна, Федорова Надежда Евгеньевна, Шабунин Михаил Иванович, издательство Просвещение, Москва, 2014

Авторы: Алимов Ш. А., Колягин Ю. М., Ткачева М. В., Федорова Н. Е., Шабунин М. И.

Тип: Учебник

Издательство: Просвещение

Год издания: 2014 - 2025

Уровень обучения: базовый и углублённый

Цвет обложки: синий, фиолетовый

ISBN: 978-5-09-112136-0

Допущено Министерством просвещения Российской Федерации

Математика: алгебра и начала математического анализа, геометрия

Популярные ГДЗ в 10 классе

Упражнения для итогового повторения курса алгебры и начал математического анализа. 4. Системы уравнений и неравенств - номер 1429, страница 415.

№1429 (с. 415)
Условие. №1429 (с. 415)
скриншот условия
Алгебра, 10-11 класс Учебник, авторы: Алимов Шавкат Арифджанович, Колягин Юрий Михайлович, Ткачева Мария Владимировна, Федорова Надежда Евгеньевна, Шабунин Михаил Иванович, издательство Просвещение, Москва, 2014, страница 415, номер 1429, Условие

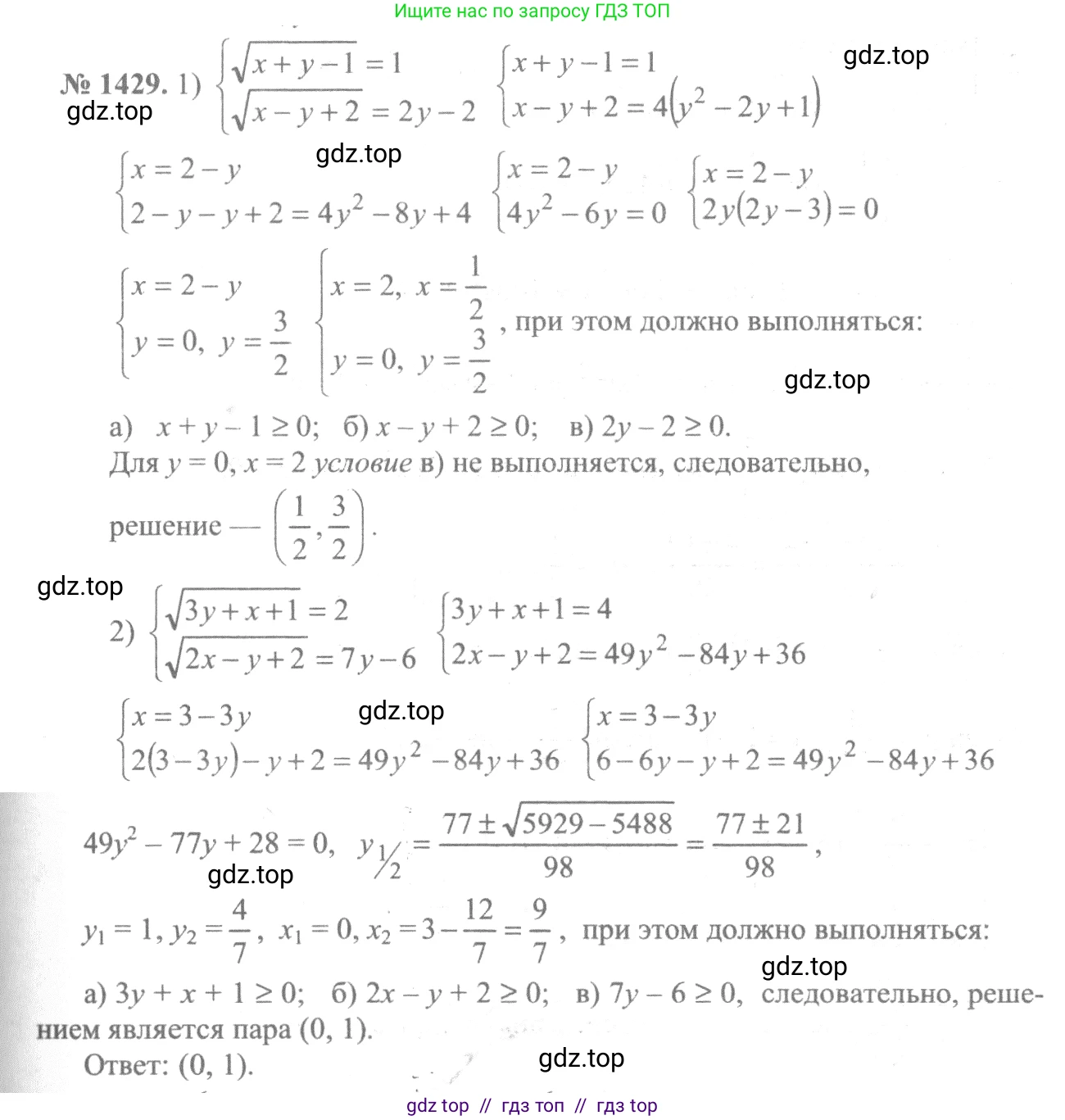
1429 1) $\begin{cases} \sqrt{x+y-1}=1, \\ \sqrt{x-y+2}=2y-2; \end{cases}$

2) $\begin{cases} \sqrt{3y+x+1}=2, \\ \sqrt{2x-y+2}=7y-6. \end{cases}$

Решение 1. №1429 (с. 415)
Алгебра, 10-11 класс Учебник, авторы: Алимов Шавкат Арифджанович, Колягин Юрий Михайлович, Ткачева Мария Владимировна, Федорова Надежда Евгеньевна, Шабунин Михаил Иванович, издательство Просвещение, Москва, 2014, страница 415, номер 1429, Решение 1
Алгебра, 10-11 класс Учебник, авторы: Алимов Шавкат Арифджанович, Колягин Юрий Михайлович, Ткачева Мария Владимировна, Федорова Надежда Евгеньевна, Шабунин Михаил Иванович, издательство Просвещение, Москва, 2014, страница 415, номер 1429, Решение 1 (продолжение 2)
Решение 2. №1429 (с. 415)
Алгебра, 10-11 класс Учебник, авторы: Алимов Шавкат Арифджанович, Колягин Юрий Михайлович, Ткачева Мария Владимировна, Федорова Надежда Евгеньевна, Шабунин Михаил Иванович, издательство Просвещение, Москва, 2014, страница 415, номер 1429, Решение 2
Алгебра, 10-11 класс Учебник, авторы: Алимов Шавкат Арифджанович, Колягин Юрий Михайлович, Ткачева Мария Владимировна, Федорова Надежда Евгеньевна, Шабунин Михаил Иванович, издательство Просвещение, Москва, 2014, страница 415, номер 1429, Решение 2 (продолжение 2)
Решение 3. №1429 (с. 415)
Алгебра, 10-11 класс Учебник, авторы: Алимов Шавкат Арифджанович, Колягин Юрий Михайлович, Ткачева Мария Владимировна, Федорова Надежда Евгеньевна, Шабунин Михаил Иванович, издательство Просвещение, Москва, 2014, страница 415, номер 1429, Решение 3
Решение 5. №1429 (с. 415)
Алгебра, 10-11 класс Учебник, авторы: Алимов Шавкат Арифджанович, Колягин Юрий Михайлович, Ткачева Мария Владимировна, Федорова Надежда Евгеньевна, Шабунин Михаил Иванович, издательство Просвещение, Москва, 2014, страница 415, номер 1429, Решение 5
Решение 7. №1429 (с. 415)
Алгебра, 10-11 класс Учебник, авторы: Алимов Шавкат Арифджанович, Колягин Юрий Михайлович, Ткачева Мария Владимировна, Федорова Надежда Евгеньевна, Шабунин Михаил Иванович, издательство Просвещение, Москва, 2014, страница 415, номер 1429, Решение 7 Алгебра, 10-11 класс Учебник, авторы: Алимов Шавкат Арифджанович, Колягин Юрий Михайлович, Ткачева Мария Владимировна, Федорова Надежда Евгеньевна, Шабунин Михаил Иванович, издательство Просвещение, Москва, 2014, страница 415, номер 1429, Решение 7 (продолжение 2)
Решение 8. №1429 (с. 415)

1)

Дана система уравнений: $$ \begin{cases} \sqrt{x + y - 1} = 1 \\ \sqrt{x - y + 2} = 2y - 2 \end{cases} $$ Определим область допустимых значений (ОДЗ). Выражения под знаком корня должны быть неотрицательными, а также правая часть второго уравнения, так как она равна значению арифметического квадратного корня. $$ \begin{cases} x + y - 1 \ge 0 \\ x - y + 2 \ge 0 \\ 2y - 2 \ge 0 \end{cases} $$ Из третьего неравенства следует, что $2y \ge 2$, то есть $y \ge 1$.

Рассмотрим первое уравнение. Возведем обе его части в квадрат:
$(\sqrt{x + y - 1})^2 = 1^2$
$x + y - 1 = 1$
$x + y = 2$
Отсюда выразим $x$:
$x = 2 - y$

Теперь подставим это выражение для $x$ во второе уравнение системы:
$\sqrt{(2 - y) - y + 2} = 2y - 2$
$\sqrt{4 - 2y} = 2y - 2$

Для существования корня в левой части должно выполняться условие $4 - 2y \ge 0$, откуда $4 \ge 2y$, то есть $y \le 2$.
Объединяя с условием $y \ge 1$, получаем ОДЗ для переменной $y$: $1 \le y \le 2$.

Возведем обе части уравнения $\sqrt{4 - 2y} = 2y - 2$ в квадрат:
$4 - 2y = (2y - 2)^2$
$4 - 2y = 4y^2 - 8y + 4$
$4y^2 - 6y = 0$
$2y(2y - 3) = 0$

Получаем два возможных значения для $y$:
$y_1 = 0$
$2y_2 - 3 = 0 \implies y_2 = \frac{3}{2} = 1.5$

Проверим найденные корни на соответствие ОДЗ ($1 \le y \le 2$).
$y_1 = 0$ не удовлетворяет условию, так как $0 < 1$. Это посторонний корень.
$y_2 = 1.5$ удовлетворяет условию, так как $1 \le 1.5 \le 2$.

Итак, единственное решение для $y$ — это $y = 1.5$.
Найдем соответствующее значение $x$:
$x = 2 - y = 2 - 1.5 = 0.5$

Таким образом, решение системы — пара чисел $(0.5; 1.5)$. Выполним проверку.
1. $\sqrt{0.5 + 1.5 - 1} = \sqrt{1} = 1$. (Верно)
2. $\sqrt{0.5 - 1.5 + 2} = \sqrt{1} = 1$. Правая часть: $2(1.5) - 2 = 3 - 2 = 1$. Равенство $1=1$ верно.

Ответ: $(0.5; 1.5)$.

2)

Дана система уравнений: $$ \begin{cases} \sqrt{3y + x + 1} = 2 \\ \sqrt{2x - y + 2} = 7y - 6 \end{cases} $$ Определим область допустимых значений (ОДЗ): $$ \begin{cases} 3y + x + 1 \ge 0 \\ 2x - y + 2 \ge 0 \\ 7y - 6 \ge 0 \end{cases} $$ Из третьего неравенства следует, что $7y \ge 6$, то есть $y \ge \frac{6}{7}$.

Рассмотрим первое уравнение. Возведем обе его части в квадрат:
$(\sqrt{3y + x + 1})^2 = 2^2$
$3y + x + 1 = 4$
$x + 3y = 3$
Отсюда выразим $x$:
$x = 3 - 3y$

Теперь подставим это выражение для $x$ во второе уравнение системы:
$\sqrt{2(3 - 3y) - y + 2} = 7y - 6$
$\sqrt{6 - 6y - y + 2} = 7y - 6$
$\sqrt{8 - 7y} = 7y - 6$

Для существования корня в левой части должно выполняться условие $8 - 7y \ge 0$, откуда $8 \ge 7y$, то есть $y \le \frac{8}{7}$.
Объединяя с условием $y \ge \frac{6}{7}$, получаем ОДЗ для переменной $y$: $\frac{6}{7} \le y \le \frac{8}{7}$.

Возведем обе части уравнения $\sqrt{8 - 7y} = 7y - 6$ в квадрат:
$8 - 7y = (7y - 6)^2$
$8 - 7y = 49y^2 - 84y + 36$
$49y^2 - 77y + 28 = 0$

Разделим все члены уравнения на 7 для упрощения:
$7y^2 - 11y + 4 = 0$

Решим полученное квадратное уравнение с помощью дискриминанта:
$D = b^2 - 4ac = (-11)^2 - 4 \cdot 7 \cdot 4 = 121 - 112 = 9$
$y = \frac{-b \pm \sqrt{D}}{2a} = \frac{11 \pm \sqrt{9}}{2 \cdot 7} = \frac{11 \pm 3}{14}$
$y_1 = \frac{11 + 3}{14} = \frac{14}{14} = 1$
$y_2 = \frac{11 - 3}{14} = \frac{8}{14} = \frac{4}{7}$

Проверим найденные корни на соответствие ОДЗ ($\frac{6}{7} \le y \le \frac{8}{7}$).
$y_1 = 1$ удовлетворяет условию, так как $\frac{6}{7} \le 1 \le \frac{8}{7}$ (т.е. $\approx 0.857 \le 1 \le \approx 1.143$).
$y_2 = \frac{4}{7}$ не удовлетворяет условию, так как $\frac{4}{7} < \frac{6}{7}$. Это посторонний корень.

Итак, единственное решение для $y$ — это $y = 1$.
Найдем соответствующее значение $x$:
$x = 3 - 3y = 3 - 3(1) = 0$

Таким образом, решение системы — пара чисел $(0; 1)$. Выполним проверку.
1. $\sqrt{3(1) + 0 + 1} = \sqrt{4} = 2$. (Верно)
2. $\sqrt{2(0) - 1 + 2} = \sqrt{1} = 1$. Правая часть: $7(1) - 6 = 1$. Равенство $1=1$ верно.

Ответ: $(0; 1)$.

Помогло решение? Оставьте отзыв в комментариях ниже.

Присоединяйтесь к Телеграм-группе @top_gdz

Присоединиться

Мы подготовили для вас ответ c подробным объяснением домашего задания по алгебре за 10-11 класс, для упражнения номер 1429 расположенного на странице 415 к учебнику 2014 года издания для учащихся школ и гимназий.

Теперь на нашем сайте ГДЗ.ТОП вы всегда легко и бесплатно найдёте условие с правильным ответом на вопрос «Как решить ДЗ» и «Как сделать» задание по алгебре к упражнению №1429 (с. 415), авторов: Алимов (Шавкат Арифджанович), Колягин (Юрий Михайлович), Ткачева (Мария Владимировна), Федорова (Надежда Евгеньевна), Шабунин (Михаил Иванович), ФГОС (старый) базовый и углублённый уровень обучения учебного пособия издательства Просвещение.