Номер 1426, страница 415 - гдз по алгебре 10-11 класс учебник Алимов, Колягин

Алгебра, 10-11 класс Учебник, авторы: Алимов Шавкат Арифджанович, Колягин Юрий Михайлович, Ткачева Мария Владимировна, Федорова Надежда Евгеньевна, Шабунин Михаил Иванович, издательство Просвещение, Москва, 2014

Авторы: Алимов Ш. А., Колягин Ю. М., Ткачева М. В., Федорова Н. Е., Шабунин М. И.

Тип: Учебник

Издательство: Просвещение

Год издания: 2014 - 2025

Уровень обучения: базовый и углублённый

Цвет обложки: синий, фиолетовый

ISBN: 978-5-09-112136-0

Допущено Министерством просвещения Российской Федерации

Математика: алгебра и начала математического анализа, геометрия

Популярные ГДЗ в 10 классе

Упражнения для итогового повторения курса алгебры и начал математического анализа. 4. Системы уравнений и неравенств - номер 1426, страница 415.

№1426 (с. 415)
Условие. №1426 (с. 415)
скриншот условия
Алгебра, 10-11 класс Учебник, авторы: Алимов Шавкат Арифджанович, Колягин Юрий Михайлович, Ткачева Мария Владимировна, Федорова Надежда Евгеньевна, Шабунин Михаил Иванович, издательство Просвещение, Москва, 2014, страница 415, номер 1426, Условие

Решить систему уравнений (1426—1431).

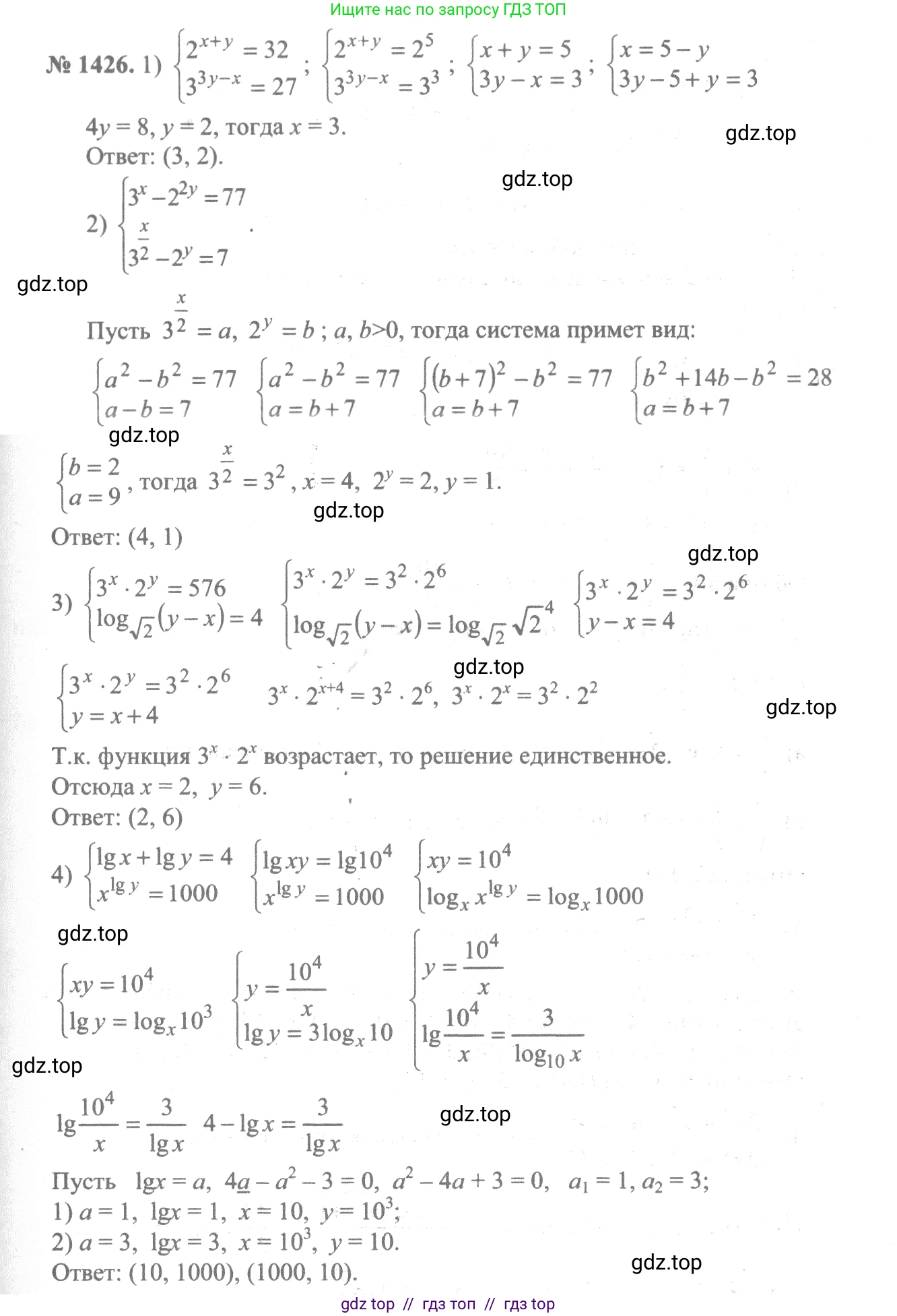
1426 1) $ \begin{cases} 2^{x+y} = 32, \\ 3^{3y-x} = 27; \end{cases} $

2) $ \begin{cases} 3^x - 2^{2y} = 77, \\ 3^{\frac{x}{2}} - 2^y = 7; \end{cases} $

3) $ \begin{cases} 3^x \cdot 2^y = 576, \\ \log_{\sqrt{2}}(y-x) = 4; \end{cases} $

4) $ \begin{cases} \lg x + \lg y = 4, \\ x^{\lg y} = 1000. \end{cases} $

Решение 1. №1426 (с. 415)
Алгебра, 10-11 класс Учебник, авторы: Алимов Шавкат Арифджанович, Колягин Юрий Михайлович, Ткачева Мария Владимировна, Федорова Надежда Евгеньевна, Шабунин Михаил Иванович, издательство Просвещение, Москва, 2014, страница 415, номер 1426, Решение 1
Алгебра, 10-11 класс Учебник, авторы: Алимов Шавкат Арифджанович, Колягин Юрий Михайлович, Ткачева Мария Владимировна, Федорова Надежда Евгеньевна, Шабунин Михаил Иванович, издательство Просвещение, Москва, 2014, страница 415, номер 1426, Решение 1 (продолжение 2)
Алгебра, 10-11 класс Учебник, авторы: Алимов Шавкат Арифджанович, Колягин Юрий Михайлович, Ткачева Мария Владимировна, Федорова Надежда Евгеньевна, Шабунин Михаил Иванович, издательство Просвещение, Москва, 2014, страница 415, номер 1426, Решение 1 (продолжение 3)
Алгебра, 10-11 класс Учебник, авторы: Алимов Шавкат Арифджанович, Колягин Юрий Михайлович, Ткачева Мария Владимировна, Федорова Надежда Евгеньевна, Шабунин Михаил Иванович, издательство Просвещение, Москва, 2014, страница 415, номер 1426, Решение 1 (продолжение 4)
Решение 2. №1426 (с. 415)
Алгебра, 10-11 класс Учебник, авторы: Алимов Шавкат Арифджанович, Колягин Юрий Михайлович, Ткачева Мария Владимировна, Федорова Надежда Евгеньевна, Шабунин Михаил Иванович, издательство Просвещение, Москва, 2014, страница 415, номер 1426, Решение 2
Алгебра, 10-11 класс Учебник, авторы: Алимов Шавкат Арифджанович, Колягин Юрий Михайлович, Ткачева Мария Владимировна, Федорова Надежда Евгеньевна, Шабунин Михаил Иванович, издательство Просвещение, Москва, 2014, страница 415, номер 1426, Решение 2 (продолжение 2)
Алгебра, 10-11 класс Учебник, авторы: Алимов Шавкат Арифджанович, Колягин Юрий Михайлович, Ткачева Мария Владимировна, Федорова Надежда Евгеньевна, Шабунин Михаил Иванович, издательство Просвещение, Москва, 2014, страница 415, номер 1426, Решение 2 (продолжение 3)
Решение 5. №1426 (с. 415)
Алгебра, 10-11 класс Учебник, авторы: Алимов Шавкат Арифджанович, Колягин Юрий Михайлович, Ткачева Мария Владимировна, Федорова Надежда Евгеньевна, Шабунин Михаил Иванович, издательство Просвещение, Москва, 2014, страница 415, номер 1426, Решение 5
Решение 7. №1426 (с. 415)
Алгебра, 10-11 класс Учебник, авторы: Алимов Шавкат Арифджанович, Колягин Юрий Михайлович, Ткачева Мария Владимировна, Федорова Надежда Евгеньевна, Шабунин Михаил Иванович, издательство Просвещение, Москва, 2014, страница 415, номер 1426, Решение 7
Алгебра, 10-11 класс Учебник, авторы: Алимов Шавкат Арифджанович, Колягин Юрий Михайлович, Ткачева Мария Владимировна, Федорова Надежда Евгеньевна, Шабунин Михаил Иванович, издательство Просвещение, Москва, 2014, страница 415, номер 1426, Решение 7 (продолжение 2)
Решение 8. №1426 (с. 415)

1)
Дана система уравнений:
$ \begin{cases} 2^{x+y} = 32 \\ 3^{3y-x} = 27 \end{cases} $
Преобразуем правые части уравнений, представив их в виде степеней: $32 = 2^5$ и $27 = 3^3$.
Система примет вид:
$ \begin{cases} 2^{x+y} = 2^5 \\ 3^{3y-x} = 3^3 \end{cases} $
Так как основания степеней в каждом уравнении равны, мы можем приравнять их показатели:
$ \begin{cases} x+y = 5 \\ 3y-x = 3 \end{cases} $
Получили систему линейных уравнений. Сложим два уравнения, чтобы исключить $x$:
$(x+y) + (3y-x) = 5+3$
$4y = 8$
$y = 2$
Теперь подставим значение $y$ в первое уравнение, чтобы найти $x$:
$x+2=5$
$x=3$
Проверим решение: $2^{3+2} = 2^5 = 32$; $3^{3 \cdot 2 - 3} = 3^{6-3} = 3^3 = 27$. Решение верное.
Ответ: $(3; 2)$.

2)
Дана система уравнений:
$ \begin{cases} 3^x - 2^{2y} = 77 \\ 3^{x/2} - 2^y = 7 \end{cases} $
Заметим, что $3^x = (3^{x/2})^2$ и $2^{2y} = (2^y)^2$. Сделаем замену переменных.
Пусть $a = 3^{x/2}$ и $b = 2^y$. Так как показательные функции всегда положительны, $a>0$ и $b>0$.
Система уравнений в новых переменных:
$ \begin{cases} a^2 - b^2 = 77 \\ a - b = 7 \end{cases} $
Разложим первое уравнение по формуле разности квадратов: $(a-b)(a+b) = 77$.
Подставим во второе уравнение значение $a-b=7$:
$7(a+b) = 77$
$a+b = 11$
Теперь у нас есть новая, более простая система:
$ \begin{cases} a - b = 7 \\ a + b = 11 \end{cases} $
Сложим два уравнения: $2a = 18 \implies a = 9$.
Вычтем из второго уравнения первое: $2b = 4 \implies b = 2$.
Значения $a=9$ и $b=2$ удовлетворяют условиям $a>0, b>0$.
Вернемся к исходным переменным $x$ и $y$:
$a = 3^{x/2} \implies 9 = 3^{x/2} \implies 3^2 = 3^{x/2} \implies x/2 = 2 \implies x=4$.
$b = 2^y \implies 2 = 2^y \implies y=1$.
Ответ: $(4; 1)$.

3)
Дана система уравнений:
$ \begin{cases} 3^x \cdot 2^y = 576 \\ \log_{\sqrt{2}}(y-x) = 4 \end{cases} $
Начнем со второго уравнения. По определению логарифма, если $\log_a b = c$, то $a^c = b$.
$y-x = (\sqrt{2})^4$
$y-x = (2^{1/2})^4 = 2^2 = 4$
Отсюда $y = x+4$. Область допустимых значений логарифма ($y-x>0$) соблюдена.
Подставим выражение для $y$ в первое уравнение:
$3^x \cdot 2^{x+4} = 576$
$3^x \cdot 2^x \cdot 2^4 = 576$
$(3 \cdot 2)^x \cdot 16 = 576$
$6^x \cdot 16 = 576$
$6^x = \frac{576}{16}$
$6^x = 36$
$6^x = 6^2$
$x=2$
Теперь найдем $y$:
$y = x+4 = 2+4 = 6$
Ответ: $(2; 6)$.

4)
Дана система уравнений:
$ \begin{cases} \lg x + \lg y = 4 \\ x^{\lg y} = 1000 \end{cases} $
Область допустимых значений: $x>0, y>0$.
Преобразуем первое уравнение, используя свойство логарифмов $\lg a + \lg b = \lg(ab)$:
$\lg(xy) = 4 \implies xy = 10^4 = 10000$.
Прологарифмируем второе уравнение по основанию 10:
$\lg(x^{\lg y}) = \lg(1000)$
Используя свойство логарифма $\lg(a^b) = b \cdot \lg a$:
$\lg y \cdot \lg x = \lg(10^3)$
$\lg x \cdot \lg y = 3$
Сделаем замену переменных. Пусть $a = \lg x$ и $b = \lg y$.
Система примет вид:
$ \begin{cases} a + b = 4 \\ a \cdot b = 3 \end{cases} $
Согласно теореме Виета, $a$ и $b$ являются корнями квадратного уравнения $t^2 - 4t + 3 = 0$.
Решим это уравнение: $(t-1)(t-3) = 0$. Корни $t_1=1, t_2=3$.
Это дает нам два случая:
1) $a=1, b=3$
2) $a=3, b=1$
Вернемся к исходным переменным.
Случай 1: $\lg x = 1 \implies x=10^1=10$. $\lg y = 3 \implies y=10^3=1000$. Получаем решение $(10; 1000)$.
Случай 2: $\lg x = 3 \implies x=10^3=1000$. $\lg y = 1 \implies y=10^1=10$. Получаем решение $(1000; 10)$.
Оба решения удовлетворяют ОДЗ.
Ответ: $(10; 1000), (1000; 10)$.

Помогло решение? Оставьте отзыв в комментариях ниже.

Присоединяйтесь к Телеграм-группе @top_gdz

Присоединиться

Мы подготовили для вас ответ c подробным объяснением домашего задания по алгебре за 10-11 класс, для упражнения номер 1426 расположенного на странице 415 к учебнику 2014 года издания для учащихся школ и гимназий.

Теперь на нашем сайте ГДЗ.ТОП вы всегда легко и бесплатно найдёте условие с правильным ответом на вопрос «Как решить ДЗ» и «Как сделать» задание по алгебре к упражнению №1426 (с. 415), авторов: Алимов (Шавкат Арифджанович), Колягин (Юрий Михайлович), Ткачева (Мария Владимировна), Федорова (Надежда Евгеньевна), Шабунин (Михаил Иванович), ФГОС (старый) базовый и углублённый уровень обучения учебного пособия издательства Просвещение.