Номер 1430, страница 415 - гдз по алгебре 10-11 класс учебник Алимов, Колягин

Алгебра, 10-11 класс Учебник, авторы: Алимов Шавкат Арифджанович, Колягин Юрий Михайлович, Ткачева Мария Владимировна, Федорова Надежда Евгеньевна, Шабунин Михаил Иванович, издательство Просвещение, Москва, 2014

Авторы: Алимов Ш. А., Колягин Ю. М., Ткачева М. В., Федорова Н. Е., Шабунин М. И.

Тип: Учебник

Издательство: Просвещение

Год издания: 2014 - 2025

Уровень обучения: базовый и углублённый

Цвет обложки: синий, фиолетовый

ISBN: 978-5-09-112136-0

Допущено Министерством просвещения Российской Федерации

Математика: алгебра и начала математического анализа, геометрия

Популярные ГДЗ в 10 классе

Упражнения для итогового повторения курса алгебры и начал математического анализа. 4. Системы уравнений и неравенств - номер 1430, страница 415.

№1430 (с. 415)
Условие. №1430 (с. 415)
скриншот условия
Алгебра, 10-11 класс Учебник, авторы: Алимов Шавкат Арифджанович, Колягин Юрий Михайлович, Ткачева Мария Владимировна, Федорова Надежда Евгеньевна, Шабунин Михаил Иванович, издательство Просвещение, Москва, 2014, страница 415, номер 1430, Условие

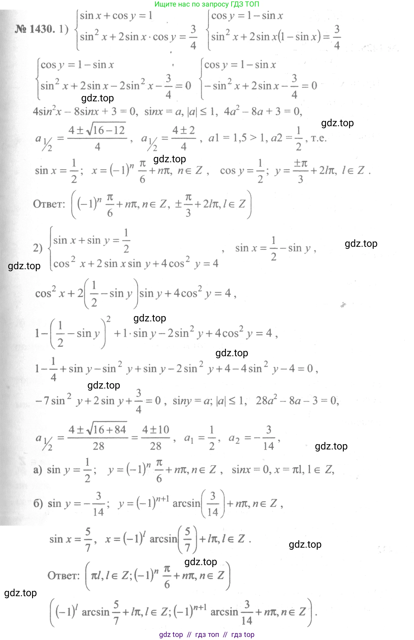
1430 1) $\begin{cases} \sin x + \cos y = 1, \\ \sin^2 x + 2 \sin x \cos y = \frac{3}{4}; \end{cases}$

2) $\begin{cases} \sin x + \sin y = \frac{1}{2}, \\ \cos^2 x + 2 \sin x \sin y + 4 \cos^2 y = 4. \end{cases}$

Решение 1. №1430 (с. 415)
Алгебра, 10-11 класс Учебник, авторы: Алимов Шавкат Арифджанович, Колягин Юрий Михайлович, Ткачева Мария Владимировна, Федорова Надежда Евгеньевна, Шабунин Михаил Иванович, издательство Просвещение, Москва, 2014, страница 415, номер 1430, Решение 1
Алгебра, 10-11 класс Учебник, авторы: Алимов Шавкат Арифджанович, Колягин Юрий Михайлович, Ткачева Мария Владимировна, Федорова Надежда Евгеньевна, Шабунин Михаил Иванович, издательство Просвещение, Москва, 2014, страница 415, номер 1430, Решение 1 (продолжение 2)
Решение 2. №1430 (с. 415)
Алгебра, 10-11 класс Учебник, авторы: Алимов Шавкат Арифджанович, Колягин Юрий Михайлович, Ткачева Мария Владимировна, Федорова Надежда Евгеньевна, Шабунин Михаил Иванович, издательство Просвещение, Москва, 2014, страница 415, номер 1430, Решение 2
Алгебра, 10-11 класс Учебник, авторы: Алимов Шавкат Арифджанович, Колягин Юрий Михайлович, Ткачева Мария Владимировна, Федорова Надежда Евгеньевна, Шабунин Михаил Иванович, издательство Просвещение, Москва, 2014, страница 415, номер 1430, Решение 2 (продолжение 2)
Решение 3. №1430 (с. 415)
Алгебра, 10-11 класс Учебник, авторы: Алимов Шавкат Арифджанович, Колягин Юрий Михайлович, Ткачева Мария Владимировна, Федорова Надежда Евгеньевна, Шабунин Михаил Иванович, издательство Просвещение, Москва, 2014, страница 415, номер 1430, Решение 3
Решение 5. №1430 (с. 415)
Алгебра, 10-11 класс Учебник, авторы: Алимов Шавкат Арифджанович, Колягин Юрий Михайлович, Ткачева Мария Владимировна, Федорова Надежда Евгеньевна, Шабунин Михаил Иванович, издательство Просвещение, Москва, 2014, страница 415, номер 1430, Решение 5
Решение 7. №1430 (с. 415)
Алгебра, 10-11 класс Учебник, авторы: Алимов Шавкат Арифджанович, Колягин Юрий Михайлович, Ткачева Мария Владимировна, Федорова Надежда Евгеньевна, Шабунин Михаил Иванович, издательство Просвещение, Москва, 2014, страница 415, номер 1430, Решение 7 Алгебра, 10-11 класс Учебник, авторы: Алимов Шавкат Арифджанович, Колягин Юрий Михайлович, Ткачева Мария Владимировна, Федорова Надежда Евгеньевна, Шабунин Михаил Иванович, издательство Просвещение, Москва, 2014, страница 415, номер 1430, Решение 7 (продолжение 2)
Решение 8. №1430 (с. 415)

1)

Дана система уравнений:

$$ \begin{cases} \sin x + \cos y = 1, \\ \sin^2 x + 2 \sin x \cos y = \frac{3}{4} \end{cases} $$

Введем замену переменных. Пусть $a = \sin x$ и $b = \cos y$. Система примет вид:

$$ \begin{cases} a + b = 1, \\ a^2 + 2ab = \frac{3}{4} \end{cases} $$

Из первого уравнения выразим $a$: $a = 1 - b$. Подставим это выражение во второе уравнение:

$(1 - b)^2 + 2(1 - b)b = \frac{3}{4}$

Раскроем скобки:

$1 - 2b + b^2 + 2b - 2b^2 = \frac{3}{4}$

Приведем подобные слагаемые:

$1 - b^2 = \frac{3}{4}$

Отсюда найдем $b^2$:

$b^2 = 1 - \frac{3}{4} = \frac{1}{4}$

Тогда $b$ может принимать два значения:

$b = \frac{1}{2}$ или $b = -\frac{1}{2}$.

Найдем соответствующие значения $a$ для каждого $b$:

1. Если $b = \frac{1}{2}$, то $a = 1 - b = 1 - \frac{1}{2} = \frac{1}{2}$.

2. Если $b = -\frac{1}{2}$, то $a = 1 - b = 1 - (-\frac{1}{2}) = \frac{3}{2}$.

Теперь вернемся к исходным переменным $x$ и $y$.

Случай 1: $a = \sin x = \frac{1}{2}$ и $b = \cos y = \frac{1}{2}$.

Оба значения находятся в допустимом диапазоне $[-1, 1]$.

Из $\sin x = \frac{1}{2}$ следует $x = (-1)^k \frac{\pi}{6} + \pi k$, где $k \in \mathbb{Z}$.

Из $\cos y = \frac{1}{2}$ следует $y = \pm \frac{\pi}{3} + 2\pi n$, где $n \in \mathbb{Z}$.

Случай 2: $a = \sin x = \frac{3}{2}$ и $b = \cos y = -\frac{1}{2}$.

Уравнение $\sin x = \frac{3}{2}$ не имеет решений, так как значение синуса не может превышать 1. Следовательно, этот случай не дает решений для системы.

Таким образом, решениями системы являются только пары $(x, y)$, найденные в первом случае.

Ответ: $\left( (-1)^k \frac{\pi}{6} + \pi k, \pm \frac{\pi}{3} + 2\pi n \right)$, где $k, n \in \mathbb{Z}$.

2)

Дана система уравнений:

$$ \begin{cases} \sin x + \sin y = \frac{1}{2}, \\ \cos^2 x + 2 \sin x \sin y + 4 \cos^2 y = 4 \end{cases} $$

Преобразуем второе уравнение, используя основное тригонометрическое тождество $\cos^2 \alpha = 1 - \sin^2 \alpha$:

$(1 - \sin^2 x) + 2 \sin x \sin y + 4(1 - \sin^2 y) = 4$

$1 - \sin^2 x + 2 \sin x \sin y + 4 - 4 \sin^2 y = 4$

$5 - \sin^2 x + 2 \sin x \sin y - 4 \sin^2 y = 4$

Перенесем 5 в правую часть и умножим уравнение на -1:

$\sin^2 x - 2 \sin x \sin y + 4 \sin^2 y = 1$

Введем замену переменных. Пусть $u = \sin x$ и $v = \sin y$. Система уравнений примет вид:

$$ \begin{cases} u + v = \frac{1}{2}, \\ u^2 - 2uv + 4v^2 = 1 \end{cases} $$

Из первого уравнения выразим $v$: $v = \frac{1}{2} - u$. Подставим это выражение во второе уравнение:

$u^2 - 2u(\frac{1}{2} - u) + 4(\frac{1}{2} - u)^2 = 1$

Раскроем скобки и упростим:

$u^2 - u + 2u^2 + 4(\frac{1}{4} - u + u^2) = 1$

$3u^2 - u + 1 - 4u + 4u^2 = 1$

$7u^2 - 5u + 1 = 1$

$7u^2 - 5u = 0$

$u(7u - 5) = 0$

Отсюда получаем два возможных значения для $u$:

$u = 0$ или $u = \frac{5}{7}$.

Найдем соответствующие значения $v$:

1. Если $u = 0$, то $v = \frac{1}{2} - 0 = \frac{1}{2}$.

2. Если $u = \frac{5}{7}$, то $v = \frac{1}{2} - \frac{5}{7} = \frac{7 - 10}{14} = -\frac{3}{14}$.

Мы получили две пары значений для $(\sin x, \sin y)$: $(0, \frac{1}{2})$ и $(\frac{5}{7}, -\frac{3}{14})$. Все значения по модулю не превосходят 1, поэтому оба случая дают решения.

Случай 1: $\sin x = 0$ и $\sin y = \frac{1}{2}$.

$x = \pi k$, где $k \in \mathbb{Z}$.

$y = (-1)^n \frac{\pi}{6} + \pi n$, где $n \in \mathbb{Z}$.

Случай 2: $\sin x = \frac{5}{7}$ и $\sin y = -\frac{3}{14}$.

$x = (-1)^k \arcsin(\frac{5}{7}) + \pi k$, где $k \in \mathbb{Z}$.

$y = (-1)^{n+1} \arcsin(\frac{3}{14}) + \pi n$, где $n \in \mathbb{Z}$.

Ответ: $\left(\pi k, (-1)^n \frac{\pi}{6} + \pi n\right)$; $\left((-1)^k \arcsin\frac{5}{7} + \pi k, (-1)^{n+1} \arcsin\frac{3}{14} + \pi n\right)$, где $k, n \in \mathbb{Z}$.

Помогло решение? Оставьте отзыв в комментариях ниже.

Присоединяйтесь к Телеграм-группе @top_gdz

Присоединиться

Мы подготовили для вас ответ c подробным объяснением домашего задания по алгебре за 10-11 класс, для упражнения номер 1430 расположенного на странице 415 к учебнику 2014 года издания для учащихся школ и гимназий.

Теперь на нашем сайте ГДЗ.ТОП вы всегда легко и бесплатно найдёте условие с правильным ответом на вопрос «Как решить ДЗ» и «Как сделать» задание по алгебре к упражнению №1430 (с. 415), авторов: Алимов (Шавкат Арифджанович), Колягин (Юрий Михайлович), Ткачева (Мария Владимировна), Федорова (Надежда Евгеньевна), Шабунин (Михаил Иванович), ФГОС (старый) базовый и углублённый уровень обучения учебного пособия издательства Просвещение.