Номер 148, страница 59 - гдз по алгебре 10-11 класс учебник Алимов, Колягин

Алгебра, 10-11 класс Учебник, авторы: Алимов Шавкат Арифджанович, Колягин Юрий Михайлович, Ткачева Мария Владимировна, Федорова Надежда Евгеньевна, Шабунин Михаил Иванович, издательство Просвещение, Москва, 2014

Авторы: Алимов Ш. А., Колягин Ю. М., Ткачева М. В., Федорова Н. Е., Шабунин М. И.

Тип: Учебник

Издательство: Просвещение

Год издания: 2014 - 2026

Уровень обучения: базовый и углублённый

Цвет обложки: синий, фиолетовый

ISBN: 978-5-09-112136-0

Допущено Министерством просвещения Российской Федерации

Математика: алгебра и начала математического анализа, геометрия

Популярные ГДЗ в 10 классе

Глава 2. Степенная функция. Параграф 8. Равносильные уравнения и неравенства - номер 148, страница 59.

№148 (с. 59)
Условие. №148 (с. 59)
скриншот условия
Алгебра, 10-11 класс Учебник, авторы: Алимов Шавкат Арифджанович, Колягин Юрий Михайлович, Ткачева Мария Владимировна, Федорова Надежда Евгеньевна, Шабунин Михаил Иванович, издательство Просвещение, Москва, 2014, страница 59, номер 148, Условие

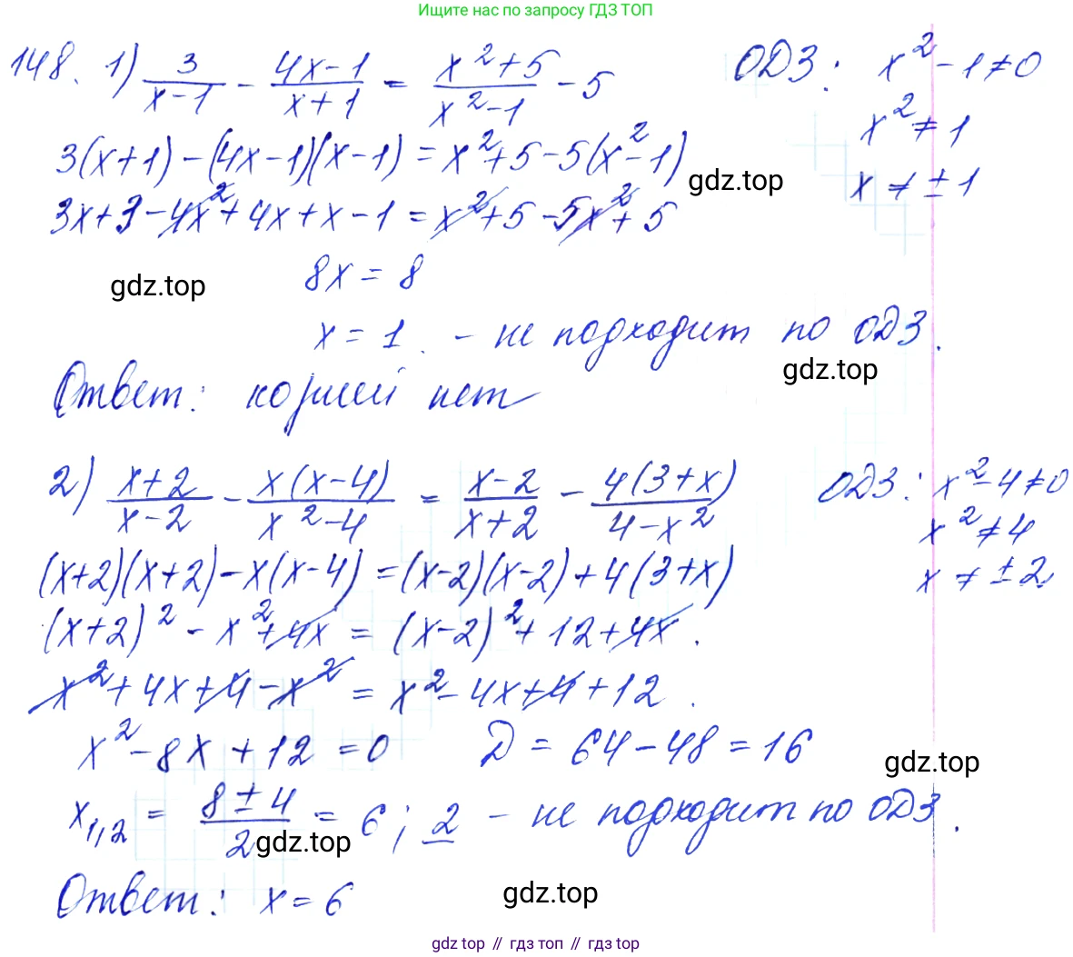
148 Найти корни уравнения:

1) $\frac{3}{x-1} - \frac{4x-1}{x+1} = \frac{x^2+5}{x^2-1} - 5;$

2) $\frac{x+2}{x-2} - \frac{x(x-4)}{x^2-4} = \frac{x-2}{x+2} - \frac{4(3+x)}{4-x^2}.$

Решение 1. №148 (с. 59)
Алгебра, 10-11 класс Учебник, авторы: Алимов Шавкат Арифджанович, Колягин Юрий Михайлович, Ткачева Мария Владимировна, Федорова Надежда Евгеньевна, Шабунин Михаил Иванович, издательство Просвещение, Москва, 2014, страница 59, номер 148, Решение 1
Алгебра, 10-11 класс Учебник, авторы: Алимов Шавкат Арифджанович, Колягин Юрий Михайлович, Ткачева Мария Владимировна, Федорова Надежда Евгеньевна, Шабунин Михаил Иванович, издательство Просвещение, Москва, 2014, страница 59, номер 148, Решение 1 (продолжение 2)
Решение 2. №148 (с. 59)
Алгебра, 10-11 класс Учебник, авторы: Алимов Шавкат Арифджанович, Колягин Юрий Михайлович, Ткачева Мария Владимировна, Федорова Надежда Евгеньевна, Шабунин Михаил Иванович, издательство Просвещение, Москва, 2014, страница 59, номер 148, Решение 2
Решение 3. №148 (с. 59)
Алгебра, 10-11 класс Учебник, авторы: Алимов Шавкат Арифджанович, Колягин Юрий Михайлович, Ткачева Мария Владимировна, Федорова Надежда Евгеньевна, Шабунин Михаил Иванович, издательство Просвещение, Москва, 2014, страница 59, номер 148, Решение 3
Решение 4. №148 (с. 59)
Алгебра, 10-11 класс Учебник, авторы: Алимов Шавкат Арифджанович, Колягин Юрий Михайлович, Ткачева Мария Владимировна, Федорова Надежда Евгеньевна, Шабунин Михаил Иванович, издательство Просвещение, Москва, 2014, страница 59, номер 148, Решение 4
Решение 5. №148 (с. 59)
Алгебра, 10-11 класс Учебник, авторы: Алимов Шавкат Арифджанович, Колягин Юрий Михайлович, Ткачева Мария Владимировна, Федорова Надежда Евгеньевна, Шабунин Михаил Иванович, издательство Просвещение, Москва, 2014, страница 59, номер 148, Решение 5 Алгебра, 10-11 класс Учебник, авторы: Алимов Шавкат Арифджанович, Колягин Юрий Михайлович, Ткачева Мария Владимировна, Федорова Надежда Евгеньевна, Шабунин Михаил Иванович, издательство Просвещение, Москва, 2014, страница 59, номер 148, Решение 5 (продолжение 2)
Решение 6. №148 (с. 59)
Алгебра, 10-11 класс Учебник, авторы: Алимов Шавкат Арифджанович, Колягин Юрий Михайлович, Ткачева Мария Владимировна, Федорова Надежда Евгеньевна, Шабунин Михаил Иванович, издательство Просвещение, Москва, 2014, страница 59, номер 148, Решение 6
Решение 7. №148 (с. 59)
Алгебра, 10-11 класс Учебник, авторы: Алимов Шавкат Арифджанович, Колягин Юрий Михайлович, Ткачева Мария Владимировна, Федорова Надежда Евгеньевна, Шабунин Михаил Иванович, издательство Просвещение, Москва, 2014, страница 59, номер 148, Решение 7
Решение 8. №148 (с. 59)

1) $\frac{3}{x-1} - \frac{4x-1}{x+1} = \frac{x^2+5}{x^2-1} - 5$

Найдем область допустимых значений (ОДЗ). Знаменатели дробей не могут быть равны нулю:

$x-1 \ne 0 \implies x \ne 1$

$x+1 \ne 0 \implies x \ne -1$

$x^2-1 \ne 0 \implies (x-1)(x+1) \ne 0 \implies x \ne 1$ и $x \ne -1$.

Таким образом, ОДЗ: $x \ne \pm 1$.

Приведем все дроби к общему знаменателю $x^2-1 = (x-1)(x+1)$. Для этого домножим левую и правую части уравнения на $(x-1)(x+1)$:

$\frac{3(x+1)}{(x-1)(x+1)} - \frac{(4x-1)(x-1)}{(x+1)(x-1)} = \frac{x^2+5}{x^2-1} - \frac{5(x^2-1)}{x^2-1}$

Так как $x \ne \pm 1$, мы можем отбросить знаменатели:

$3(x+1) - (4x-1)(x-1) = x^2+5 - 5(x^2-1)$

Раскроем скобки и упростим выражение:

$3x + 3 - (4x^2 - 4x - x + 1) = x^2 + 5 - 5x^2 + 5$

$3x + 3 - (4x^2 - 5x + 1) = -4x^2 + 10$

$3x + 3 - 4x^2 + 5x - 1 = -4x^2 + 10$

Приведем подобные слагаемые:

$(-4x^2 + 4x^2) + (3x + 5x) + (3 - 1) = 10$

$8x + 2 = 10$

$8x = 10 - 2$

$8x = 8$

$x = 1$

Полученный корень $x=1$ не входит в область допустимых значений (ОДЗ), так как при $x=1$ знаменатели исходных дробей обращаются в ноль. Следовательно, уравнение не имеет корней.

Ответ: корней нет.

2) $\frac{x+2}{x-2} - \frac{x(x-4)}{x^2-4} = \frac{x-2}{x+2} - \frac{4(3+x)}{4-x^2}$

Найдем область допустимых значений (ОДЗ). Знаменатели не могут быть равны нулю:

$x-2 \ne 0 \implies x \ne 2$

$x+2 \ne 0 \implies x \ne -2$

$x^2-4 = (x-2)(x+2) \ne 0 \implies x \ne \pm 2$

$4-x^2 = -(x^2-4) \ne 0 \implies x \ne \pm 2$

Таким образом, ОДЗ: $x \ne \pm 2$.

Преобразуем последний член уравнения, изменив знак в знаменателе:

$-\frac{4(3+x)}{4-x^2} = -\frac{4(3+x)}{-(x^2-4)} = \frac{4(3+x)}{x^2-4}$

Уравнение принимает вид:

$\frac{x+2}{x-2} - \frac{x(x-4)}{x^2-4} = \frac{x-2}{x+2} + \frac{4(3+x)}{x^2-4}$

Приведем все члены к общему знаменателю $x^2-4 = (x-2)(x+2)$ и домножим на него обе части уравнения:

$(x+2)(x+2) - x(x-4) = (x-2)(x-2) + 4(3+x)$

Раскроем скобки:

$(x^2 + 4x + 4) - (x^2 - 4x) = (x^2 - 4x + 4) + (12 + 4x)$

$x^2 + 4x + 4 - x^2 + 4x = x^2 - 4x + 4 + 12 + 4x$

Приведем подобные слагаемые:

$8x + 4 = x^2 + 16$

Перенесем все члены в одну сторону, чтобы получить квадратное уравнение:

$x^2 - 8x + 16 - 4 = 0$

$x^2 - 8x + 12 = 0$

Решим полученное квадратное уравнение. Можно использовать теорему Виета или формулу для корней. По теореме Виета, сумма корней равна 8, а их произведение равно 12. Это числа 2 и 6.

$x_1 = 2$, $x_2 = 6$.

Проверим корни на соответствие ОДЗ ($x \ne \pm 2$).

Корень $x_1=2$ не входит в ОДЗ, так как при этом значении знаменатели обращаются в ноль. Это посторонний корень.

Корень $x_2=6$ входит в ОДЗ.

Следовательно, уравнение имеет единственный корень $x=6$.

Ответ: 6.

Помогло решение? Оставьте отзыв в комментариях ниже.

Присоединяйтесь к Телеграм-группе @top_gdz

Присоединиться

Мы подготовили для вас ответ c подробным объяснением домашего задания по алгебре за 10-11 класс, для упражнения номер 148 расположенного на странице 59 к учебнику 2014 года издания для учащихся школ и гимназий.

Теперь на нашем сайте ГДЗ.ТОП вы всегда легко и бесплатно найдёте условие с правильным ответом на вопрос «Как решить ДЗ» и «Как сделать» задание по алгебре к упражнению №148 (с. 59), авторов: Алимов (Шавкат Арифджанович), Колягин (Юрий Михайлович), Ткачева (Мария Владимировна), Федорова (Надежда Евгеньевна), Шабунин (Михаил Иванович), ФГОС (старый) базовый и углублённый уровень обучения учебного пособия издательства Просвещение.