Номер 151, страница 62 - гдз по алгебре 10-11 класс учебник Алимов, Колягин

Алгебра, 10-11 класс Учебник, авторы: Алимов Шавкат Арифджанович, Колягин Юрий Михайлович, Ткачева Мария Владимировна, Федорова Надежда Евгеньевна, Шабунин Михаил Иванович, издательство Просвещение, Москва, 2014

Авторы: Алимов Ш. А., Колягин Ю. М., Ткачева М. В., Федорова Н. Е., Шабунин М. И.

Тип: Учебник

Издательство: Просвещение

Год издания: 2014 - 2025

Уровень обучения: базовый и углублённый

Цвет обложки: синий, фиолетовый

ISBN: 978-5-09-112136-0

Допущено Министерством просвещения Российской Федерации

Математика: алгебра и начала математического анализа, геометрия

Популярные ГДЗ в 10 классе

Глава 2. Степенная функция. Параграф 9. Иррациональные уравнения - номер 151, страница 62.

№151 (с. 62)
Условие. №151 (с. 62)
скриншот условия
Алгебра, 10-11 класс Учебник, авторы: Алимов Шавкат Арифджанович, Колягин Юрий Михайлович, Ткачева Мария Владимировна, Федорова Надежда Евгеньевна, Шабунин Михаил Иванович, издательство Просвещение, Москва, 2014, страница 62, номер 151, Условие

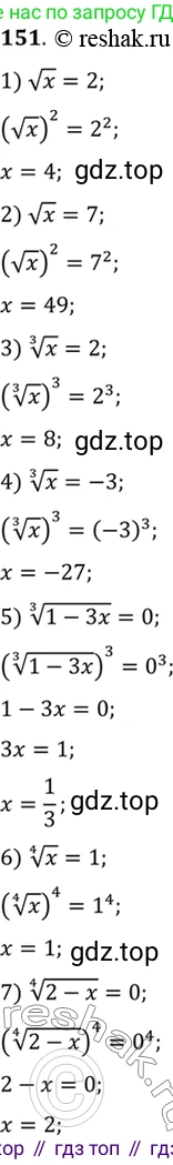
151 (Устно.) Решить уравнение:

1) $\sqrt{x} = 2;$ 2) $\sqrt{x} = 7;$ 3) $\sqrt[3]{x} = 2;$ 4) $\sqrt[3]{x} = -3;$

5) $\sqrt[3]{1-3x} = 0;$ 6) $\sqrt[4]{x} = 1;$ 7) $\sqrt[4]{2-x} = 0.$

Решение 1. №151 (с. 62)
Алгебра, 10-11 класс Учебник, авторы: Алимов Шавкат Арифджанович, Колягин Юрий Михайлович, Ткачева Мария Владимировна, Федорова Надежда Евгеньевна, Шабунин Михаил Иванович, издательство Просвещение, Москва, 2014, страница 62, номер 151, Решение 1
Алгебра, 10-11 класс Учебник, авторы: Алимов Шавкат Арифджанович, Колягин Юрий Михайлович, Ткачева Мария Владимировна, Федорова Надежда Евгеньевна, Шабунин Михаил Иванович, издательство Просвещение, Москва, 2014, страница 62, номер 151, Решение 1 (продолжение 2)
Алгебра, 10-11 класс Учебник, авторы: Алимов Шавкат Арифджанович, Колягин Юрий Михайлович, Ткачева Мария Владимировна, Федорова Надежда Евгеньевна, Шабунин Михаил Иванович, издательство Просвещение, Москва, 2014, страница 62, номер 151, Решение 1 (продолжение 3)
Алгебра, 10-11 класс Учебник, авторы: Алимов Шавкат Арифджанович, Колягин Юрий Михайлович, Ткачева Мария Владимировна, Федорова Надежда Евгеньевна, Шабунин Михаил Иванович, издательство Просвещение, Москва, 2014, страница 62, номер 151, Решение 1 (продолжение 4)
Алгебра, 10-11 класс Учебник, авторы: Алимов Шавкат Арифджанович, Колягин Юрий Михайлович, Ткачева Мария Владимировна, Федорова Надежда Евгеньевна, Шабунин Михаил Иванович, издательство Просвещение, Москва, 2014, страница 62, номер 151, Решение 1 (продолжение 5) Алгебра, 10-11 класс Учебник, авторы: Алимов Шавкат Арифджанович, Колягин Юрий Михайлович, Ткачева Мария Владимировна, Федорова Надежда Евгеньевна, Шабунин Михаил Иванович, издательство Просвещение, Москва, 2014, страница 62, номер 151, Решение 1 (продолжение 6) Алгебра, 10-11 класс Учебник, авторы: Алимов Шавкат Арифджанович, Колягин Юрий Михайлович, Ткачева Мария Владимировна, Федорова Надежда Евгеньевна, Шабунин Михаил Иванович, издательство Просвещение, Москва, 2014, страница 62, номер 151, Решение 1 (продолжение 7)
Решение 2. №151 (с. 62)
Алгебра, 10-11 класс Учебник, авторы: Алимов Шавкат Арифджанович, Колягин Юрий Михайлович, Ткачева Мария Владимировна, Федорова Надежда Евгеньевна, Шабунин Михаил Иванович, издательство Просвещение, Москва, 2014, страница 62, номер 151, Решение 2
Алгебра, 10-11 класс Учебник, авторы: Алимов Шавкат Арифджанович, Колягин Юрий Михайлович, Ткачева Мария Владимировна, Федорова Надежда Евгеньевна, Шабунин Михаил Иванович, издательство Просвещение, Москва, 2014, страница 62, номер 151, Решение 2 (продолжение 2)
Решение 4. №151 (с. 62)
Алгебра, 10-11 класс Учебник, авторы: Алимов Шавкат Арифджанович, Колягин Юрий Михайлович, Ткачева Мария Владимировна, Федорова Надежда Евгеньевна, Шабунин Михаил Иванович, издательство Просвещение, Москва, 2014, страница 62, номер 151, Решение 4
Решение 6. №151 (с. 62)
Алгебра, 10-11 класс Учебник, авторы: Алимов Шавкат Арифджанович, Колягин Юрий Михайлович, Ткачева Мария Владимировна, Федорова Надежда Евгеньевна, Шабунин Михаил Иванович, издательство Просвещение, Москва, 2014, страница 62, номер 151, Решение 6
Решение 7. №151 (с. 62)
Алгебра, 10-11 класс Учебник, авторы: Алимов Шавкат Арифджанович, Колягин Юрий Михайлович, Ткачева Мария Владимировна, Федорова Надежда Евгеньевна, Шабунин Михаил Иванович, издательство Просвещение, Москва, 2014, страница 62, номер 151, Решение 7
Решение 8. №151 (с. 62)

1) Чтобы решить уравнение $\sqrt{x} = 2$, необходимо возвести обе части уравнения в квадрат. Так как корень четной степени (квадратный), подкоренное выражение должно быть неотрицательным ($x \ge 0$), а также значение корня должно быть неотрицательным, что выполняется, так как $2 \ge 0$.
$(\sqrt{x})^2 = 2^2$
$x = 4$
Найденный корень $x=4$ удовлетворяет условию $x \ge 0$.
Проверка: $\sqrt{4} = 2$. Равенство верное.
Ответ: $x=4$.

2) Чтобы решить уравнение $\sqrt{x} = 7$, возведем обе части уравнения в квадрат. Условие неотрицательности подкоренного выражения ($x \ge 0$) и значения корня ($7 \ge 0$) выполняется.
$(\sqrt{x})^2 = 7^2$
$x = 49$
Найденный корень $x=49$ удовлетворяет условию $x \ge 0$.
Проверка: $\sqrt{49} = 7$. Равенство верное.
Ответ: $x=49$.

3) Чтобы решить уравнение $\sqrt[3]{x} = 2$, необходимо возвести обе части уравнения в куб. Для корня нечетной степени (кубического) область определения — все действительные числа, поэтому дополнительных ограничений нет.
$(\sqrt[3]{x})^3 = 2^3$
$x = 8$
Проверка: $\sqrt[3]{8} = 2$. Равенство верное.
Ответ: $x=8$.

4) Чтобы решить уравнение $\sqrt[3]{x} = -3$, возведем обе части уравнения в куб. Ограничений на знак $x$ нет, так как корень нечетной степени может быть отрицательным.
$(\sqrt[3]{x})^3 = (-3)^3$
$x = -27$
Проверка: $\sqrt[3]{-27} = -3$. Равенство верное.
Ответ: $x=-27$.

5) Чтобы решить уравнение $\sqrt[3]{1-3x} = 0$, возведем обе части уравнения в куб.
$(\sqrt[3]{1-3x})^3 = 0^3$
$1 - 3x = 0$
$1 = 3x$
$x = \frac{1}{3}$
Проверка: $\sqrt[3]{1 - 3 \cdot \frac{1}{3}} = \sqrt[3]{1-1} = \sqrt[3]{0} = 0$. Равенство верное.
Ответ: $x=\frac{1}{3}$.

6) Чтобы решить уравнение $\sqrt[4]{x} = 1$, необходимо возвести обе части уравнения в четвертую степень. Так как корень четной степени, подкоренное выражение должно быть неотрицательным ($x \ge 0$), а значение корня также должно быть неотрицательным ($1 \ge 0$), что выполняется.
$(\sqrt[4]{x})^4 = 1^4$
$x = 1$
Полученное значение $x=1$ удовлетворяет условию $x \ge 0$.
Проверка: $\sqrt[4]{1} = 1$. Равенство верное.
Ответ: $x=1$.

7) Чтобы решить уравнение $\sqrt[4]{2-x} = 0$, возведем обе части уравнения в четвертую степень. Для корня четной степени подкоренное выражение должно быть неотрицательным: $2-x \ge 0$, откуда следует $x \le 2$.
$(\sqrt[4]{2-x})^4 = 0^4$
$2 - x = 0$
$x = 2$
Полученное значение $x=2$ удовлетворяет условию $x \le 2$.
Проверка: $\sqrt[4]{2-2} = \sqrt[4]{0} = 0$. Равенство верное.
Ответ: $x=2$.

Помогло решение? Оставьте отзыв в комментариях ниже.

Присоединяйтесь к Телеграм-группе @top_gdz

Присоединиться

Мы подготовили для вас ответ c подробным объяснением домашего задания по алгебре за 10-11 класс, для упражнения номер 151 расположенного на странице 62 к учебнику 2014 года издания для учащихся школ и гимназий.

Теперь на нашем сайте ГДЗ.ТОП вы всегда легко и бесплатно найдёте условие с правильным ответом на вопрос «Как решить ДЗ» и «Как сделать» задание по алгебре к упражнению №151 (с. 62), авторов: Алимов (Шавкат Арифджанович), Колягин (Юрий Михайлович), Ткачева (Мария Владимировна), Федорова (Надежда Евгеньевна), Шабунин (Михаил Иванович), ФГОС (старый) базовый и углублённый уровень обучения учебного пособия издательства Просвещение.