Номер 156, страница 62 - гдз по алгебре 10-11 класс учебник Алимов, Колягин

Алгебра, 10-11 класс Учебник, авторы: Алимов Шавкат Арифджанович, Колягин Юрий Михайлович, Ткачева Мария Владимировна, Федорова Надежда Евгеньевна, Шабунин Михаил Иванович, издательство Просвещение, Москва, 2014

Авторы: Алимов Ш. А., Колягин Ю. М., Ткачева М. В., Федорова Н. Е., Шабунин М. И.

Тип: Учебник

Издательство: Просвещение

Год издания: 2014 - 2025

Уровень обучения: базовый и углублённый

Цвет обложки: синий, фиолетовый

ISBN: 978-5-09-112136-0

Допущено Министерством просвещения Российской Федерации

Математика: алгебра и начала математического анализа, геометрия

Популярные ГДЗ в 10 классе

Глава 2. Степенная функция. Параграф 9. Иррациональные уравнения - номер 156, страница 62.

№156 (с. 62)
Условие. №156 (с. 62)
скриншот условия
Алгебра, 10-11 класс Учебник, авторы: Алимов Шавкат Арифджанович, Колягин Юрий Михайлович, Ткачева Мария Владимировна, Федорова Надежда Евгеньевна, Шабунин Михаил Иванович, издательство Просвещение, Москва, 2014, страница 62, номер 156, Условие

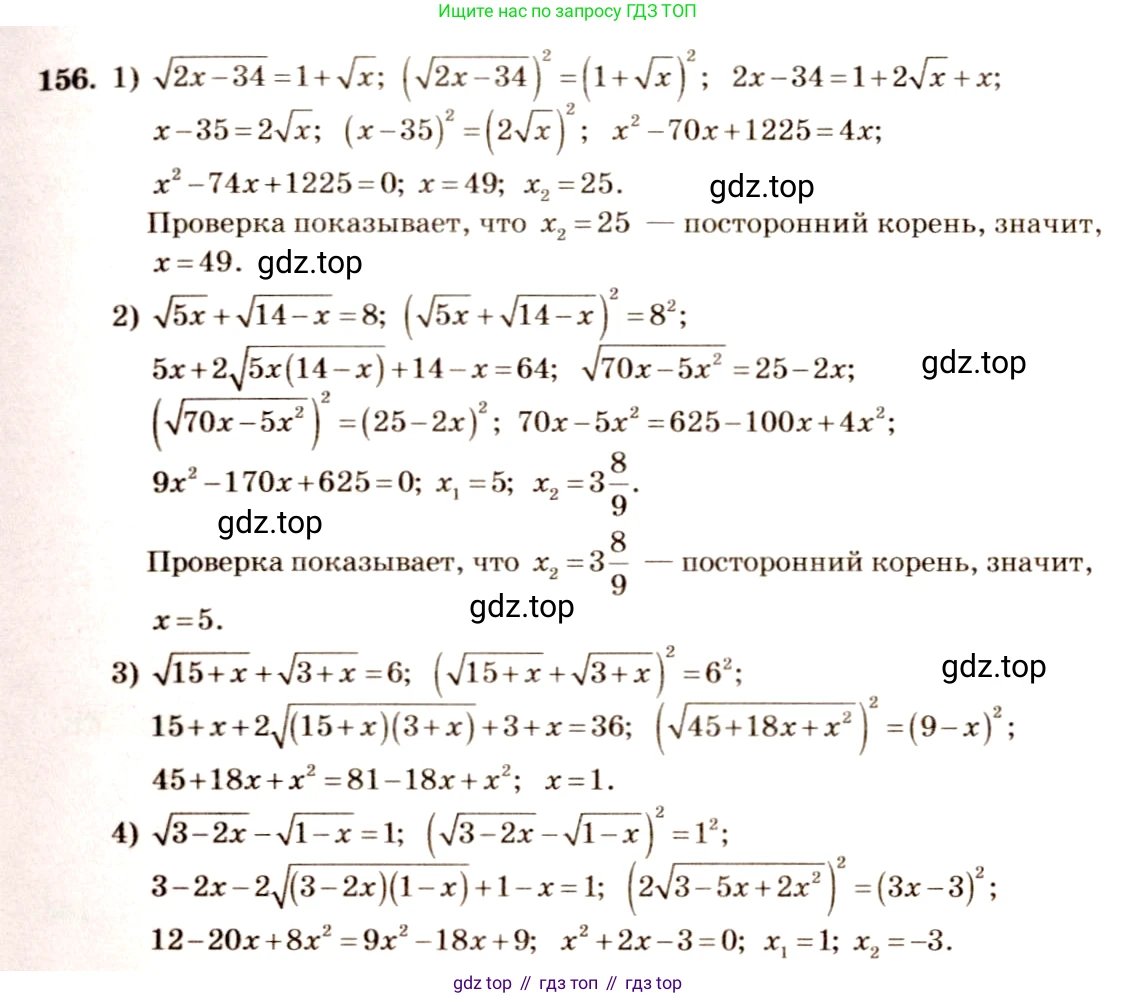
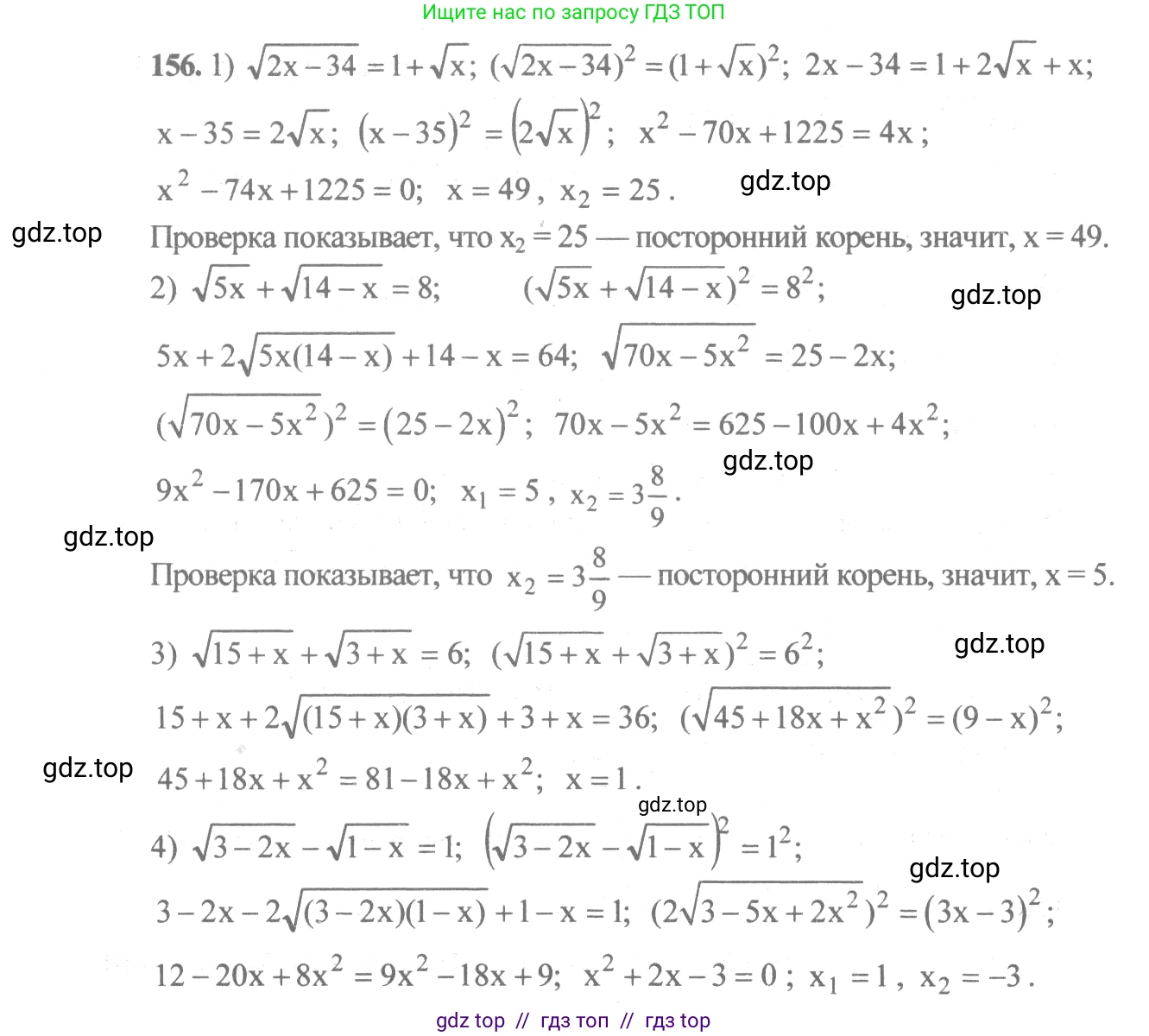
156 1) $\sqrt{2x-34} = 1 + \sqrt{x}$;

2) $\sqrt{5x} + \sqrt{14-x} = 8$;

3) $\sqrt{15+x} + \sqrt{3+x} = 6$;

4) $\sqrt{3-2x} - \sqrt{1-x} = 1$.

Решение 1. №156 (с. 62)
Алгебра, 10-11 класс Учебник, авторы: Алимов Шавкат Арифджанович, Колягин Юрий Михайлович, Ткачева Мария Владимировна, Федорова Надежда Евгеньевна, Шабунин Михаил Иванович, издательство Просвещение, Москва, 2014, страница 62, номер 156, Решение 1
Алгебра, 10-11 класс Учебник, авторы: Алимов Шавкат Арифджанович, Колягин Юрий Михайлович, Ткачева Мария Владимировна, Федорова Надежда Евгеньевна, Шабунин Михаил Иванович, издательство Просвещение, Москва, 2014, страница 62, номер 156, Решение 1 (продолжение 2)
Алгебра, 10-11 класс Учебник, авторы: Алимов Шавкат Арифджанович, Колягин Юрий Михайлович, Ткачева Мария Владимировна, Федорова Надежда Евгеньевна, Шабунин Михаил Иванович, издательство Просвещение, Москва, 2014, страница 62, номер 156, Решение 1 (продолжение 3)
Алгебра, 10-11 класс Учебник, авторы: Алимов Шавкат Арифджанович, Колягин Юрий Михайлович, Ткачева Мария Владимировна, Федорова Надежда Евгеньевна, Шабунин Михаил Иванович, издательство Просвещение, Москва, 2014, страница 62, номер 156, Решение 1 (продолжение 4)
Решение 2. №156 (с. 62)
Алгебра, 10-11 класс Учебник, авторы: Алимов Шавкат Арифджанович, Колягин Юрий Михайлович, Ткачева Мария Владимировна, Федорова Надежда Евгеньевна, Шабунин Михаил Иванович, издательство Просвещение, Москва, 2014, страница 62, номер 156, Решение 2
Алгебра, 10-11 класс Учебник, авторы: Алимов Шавкат Арифджанович, Колягин Юрий Михайлович, Ткачева Мария Владимировна, Федорова Надежда Евгеньевна, Шабунин Михаил Иванович, издательство Просвещение, Москва, 2014, страница 62, номер 156, Решение 2 (продолжение 2)
Решение 4. №156 (с. 62)
Алгебра, 10-11 класс Учебник, авторы: Алимов Шавкат Арифджанович, Колягин Юрий Михайлович, Ткачева Мария Владимировна, Федорова Надежда Евгеньевна, Шабунин Михаил Иванович, издательство Просвещение, Москва, 2014, страница 62, номер 156, Решение 4
Решение 5. №156 (с. 62)
Алгебра, 10-11 класс Учебник, авторы: Алимов Шавкат Арифджанович, Колягин Юрий Михайлович, Ткачева Мария Владимировна, Федорова Надежда Евгеньевна, Шабунин Михаил Иванович, издательство Просвещение, Москва, 2014, страница 62, номер 156, Решение 5
Алгебра, 10-11 класс Учебник, авторы: Алимов Шавкат Арифджанович, Колягин Юрий Михайлович, Ткачева Мария Владимировна, Федорова Надежда Евгеньевна, Шабунин Михаил Иванович, издательство Просвещение, Москва, 2014, страница 62, номер 156, Решение 5 (продолжение 2)
Решение 6. №156 (с. 62)
Алгебра, 10-11 класс Учебник, авторы: Алимов Шавкат Арифджанович, Колягин Юрий Михайлович, Ткачева Мария Владимировна, Федорова Надежда Евгеньевна, Шабунин Михаил Иванович, издательство Просвещение, Москва, 2014, страница 62, номер 156, Решение 6
Решение 7. №156 (с. 62)
Алгебра, 10-11 класс Учебник, авторы: Алимов Шавкат Арифджанович, Колягин Юрий Михайлович, Ткачева Мария Владимировна, Федорова Надежда Евгеньевна, Шабунин Михаил Иванович, издательство Просвещение, Москва, 2014, страница 62, номер 156, Решение 7 Алгебра, 10-11 класс Учебник, авторы: Алимов Шавкат Арифджанович, Колягин Юрий Михайлович, Ткачева Мария Владимировна, Федорова Надежда Евгеньевна, Шабунин Михаил Иванович, издательство Просвещение, Москва, 2014, страница 62, номер 156, Решение 7 (продолжение 2)
Решение 8. №156 (с. 62)

1) $\sqrt{2x-34} = 1+\sqrt{x}$

Сначала определим область допустимых значений (ОДЗ). Выражения под знаком квадратного корня должны быть неотрицательными.

$2x - 34 \ge 0 \Rightarrow 2x \ge 34 \Rightarrow x \ge 17$

$x \ge 0$

Пересечением этих двух условий является $x \ge 17$.

Теперь решим уравнение. Возведем обе части в квадрат:

$(\sqrt{2x-34})^2 = (1+\sqrt{x})^2$

$2x-34 = 1^2 + 2 \cdot 1 \cdot \sqrt{x} + (\sqrt{x})^2$

$2x-34 = 1 + 2\sqrt{x} + x$

Приведем подобные слагаемые и уединим член с корнем:

$2x - x - 34 - 1 = 2\sqrt{x}$

$x - 35 = 2\sqrt{x}$

Прежде чем снова возводить в квадрат, заметим, что правая часть $2\sqrt{x}$ всегда неотрицательна. Следовательно, левая часть также должна быть неотрицательной: $x - 35 \ge 0$, что дает нам $x \ge 35$. Это условие более строгое, чем наше первоначальное ОДЗ.

Возведем обе части уравнения $x - 35 = 2\sqrt{x}$ в квадрат:

$(x-35)^2 = (2\sqrt{x})^2$

$x^2 - 70x + 1225 = 4x$

$x^2 - 74x + 1225 = 0$

Решим полученное квадратное уравнение с помощью дискриминанта:

$D = b^2 - 4ac = (-74)^2 - 4 \cdot 1 \cdot 1225 = 5476 - 4900 = 576 = 24^2$

Находим корни:

$x_1 = \frac{-b + \sqrt{D}}{2a} = \frac{74+24}{2} = \frac{98}{2} = 49$

$x_2 = \frac{-b - \sqrt{D}}{2a} = \frac{74-24}{2} = \frac{50}{2} = 25$

Проверим найденные корни на соответствие условию $x \ge 35$.

Корень $x_1 = 49$ удовлетворяет этому условию.

Корень $x_2 = 25$ не удовлетворяет условию ($25 < 35$), следовательно, является посторонним.

Выполним проверку, подставив $x=49$ в исходное уравнение:

$\sqrt{2(49)-34} = \sqrt{98-34} = \sqrt{64} = 8$.

$1+\sqrt{49} = 1+7 = 8$.

$8 = 8$, равенство верное.

Ответ: $49$.

2) $\sqrt{5x+\sqrt{14-x}} = 8$

ОДЗ: подкоренные выражения должны быть неотрицательными.

$14-x \ge 0 \Rightarrow x \le 14$

$5x+\sqrt{14-x} \ge 0$

Возведем обе части уравнения в квадрат:

$(\sqrt{5x+\sqrt{14-x}})^2 = 8^2$

$5x + \sqrt{14-x} = 64$

Уединим оставшийся корень:

$\sqrt{14-x} = 64 - 5x$

Правая часть должна быть неотрицательной: $64 - 5x \ge 0 \Rightarrow 64 \ge 5x \Rightarrow x \le \frac{64}{5} \Rightarrow x \le 12.8$. Учитывая ОДЗ, получаем $x \le 12.8$.

Снова возводим в квадрат:

$(\sqrt{14-x})^2 = (64-5x)^2$

$14-x = 4096 - 640x + 25x^2$

$25x^2 - 639x + 4082 = 0$

Решим квадратное уравнение. Дискриминант:

$D = (-639)^2 - 4 \cdot 25 \cdot 4082 = 408321 - 100 \cdot 4082 = 408321 - 408200 = 121 = 11^2$

Корни уравнения:

$x_1 = \frac{639+11}{2 \cdot 25} = \frac{650}{50} = 13$

$x_2 = \frac{639-11}{2 \cdot 25} = \frac{628}{50} = 12.56$

Проверим корни на соответствие условию $x \le 12.8$.

Корень $x_1 = 13$ не удовлетворяет условию ($13 > 12.8$), это посторонний корень.

Корень $x_2 = 12.56$ удовлетворяет условию.

Проверка для $x = 12.56$:

$\sqrt{5(12.56) + \sqrt{14-12.56}} = \sqrt{62.8 + \sqrt{1.44}} = \sqrt{62.8 + 1.2} = \sqrt{64} = 8$.

$8 = 8$, равенство верное.

Ответ: $12.56$.

3) $\sqrt{15+x} + \sqrt{3+x} = 6$

ОДЗ:

$15+x \ge 0 \Rightarrow x \ge -15$

$3+x \ge 0 \Rightarrow x \ge -3$

Общее ОДЗ: $x \ge -3$.

Уединим один из корней:

$\sqrt{15+x} = 6 - \sqrt{3+x}$

Возведем обе части в квадрат:

$(\sqrt{15+x})^2 = (6 - \sqrt{3+x})^2$

$15+x = 36 - 12\sqrt{3+x} + (3+x)$

$15+x = 39+x - 12\sqrt{3+x}$

Упростим и уединим оставшийся корень:

$12\sqrt{3+x} = 39+x - 15 - x$

$12\sqrt{3+x} = 24$

$\sqrt{3+x} = 2$

Возведем в квадрат:

$3+x = 4$

$x = 1$

Корень $x=1$ удовлетворяет ОДЗ ($1 \ge -3$).

Проверка:

$\sqrt{15+1} + \sqrt{3+1} = \sqrt{16} + \sqrt{4} = 4+2=6$.

$6 = 6$, равенство верное.

Ответ: $1$.

4) $\sqrt{3-2x} - \sqrt{1-x} = 1$

ОДЗ:

$3-2x \ge 0 \Rightarrow 3 \ge 2x \Rightarrow x \le 1.5$

$1-x \ge 0 \Rightarrow x \le 1$

Общее ОДЗ: $x \le 1$.

Уединим один из корней:

$\sqrt{3-2x} = 1 + \sqrt{1-x}$

Обе части уравнения неотрицательны, можно возвести в квадрат:

$(\sqrt{3-2x})^2 = (1 + \sqrt{1-x})^2$

$3-2x = 1 + 2\sqrt{1-x} + (1-x)$

$3-2x = 2-x + 2\sqrt{1-x}$

Уединим оставшийся корень:

$3-2x-2+x = 2\sqrt{1-x}$

$1-x = 2\sqrt{1-x}$

Перенесем все в одну сторону: $1-x - 2\sqrt{1-x} = 0$.

Представим $1-x$ как $(\sqrt{1-x})^2$ (это возможно, т.к. по ОДЗ $1-x \ge 0$):

$(\sqrt{1-x})^2 - 2\sqrt{1-x} = 0$

Вынесем общий множитель $\sqrt{1-x}$ за скобки:

$\sqrt{1-x}(\sqrt{1-x} - 2) = 0$

Произведение равно нулю, если один из множителей равен нулю:

1) $\sqrt{1-x} = 0 \Rightarrow 1-x = 0 \Rightarrow x=1$.

2) $\sqrt{1-x} - 2 = 0 \Rightarrow \sqrt{1-x} = 2 \Rightarrow 1-x = 4 \Rightarrow x = -3$.

Оба корня, $x=1$ и $x=-3$, удовлетворяют ОДЗ ($x \le 1$).

Проверка:

Для $x=1$: $\sqrt{3-2(1)} - \sqrt{1-1} = \sqrt{1} - \sqrt{0} = 1-0 = 1$. $1=1$, верно.

Для $x=-3$: $\sqrt{3-2(-3)} - \sqrt{1-(-3)} = \sqrt{3+6} - \sqrt{1+3} = \sqrt{9} - \sqrt{4} = 3-2 = 1$. $1=1$, верно.

Ответ: $-3; 1$.

Помогло решение? Оставьте отзыв в комментариях ниже.

Присоединяйтесь к Телеграм-группе @top_gdz

Присоединиться

Мы подготовили для вас ответ c подробным объяснением домашего задания по алгебре за 10-11 класс, для упражнения номер 156 расположенного на странице 62 к учебнику 2014 года издания для учащихся школ и гимназий.

Теперь на нашем сайте ГДЗ.ТОП вы всегда легко и бесплатно найдёте условие с правильным ответом на вопрос «Как решить ДЗ» и «Как сделать» задание по алгебре к упражнению №156 (с. 62), авторов: Алимов (Шавкат Арифджанович), Колягин (Юрий Михайлович), Ткачева (Мария Владимировна), Федорова (Надежда Евгеньевна), Шабунин (Михаил Иванович), ФГОС (старый) базовый и углублённый уровень обучения учебного пособия издательства Просвещение.