Номер 163, страница 63 - гдз по алгебре 10-11 класс учебник Алимов, Колягин

Алгебра, 10-11 класс Учебник, авторы: Алимов Шавкат Арифджанович, Колягин Юрий Михайлович, Ткачева Мария Владимировна, Федорова Надежда Евгеньевна, Шабунин Михаил Иванович, издательство Просвещение, Москва, 2014

Авторы: Алимов Ш. А., Колягин Ю. М., Ткачева М. В., Федорова Н. Е., Шабунин М. И.

Тип: Учебник

Издательство: Просвещение

Год издания: 2014 - 2025

Уровень обучения: базовый и углублённый

Цвет обложки: синий, фиолетовый

ISBN: 978-5-09-112136-0

Допущено Министерством просвещения Российской Федерации

Математика: алгебра и начала математического анализа, геометрия

Популярные ГДЗ в 10 классе

Глава 2. Степенная функция. Параграф 9. Иррациональные уравнения - номер 163, страница 63.

№163 (с. 63)
Условие. №163 (с. 63)
скриншот условия
Алгебра, 10-11 класс Учебник, авторы: Алимов Шавкат Арифджанович, Колягин Юрий Михайлович, Ткачева Мария Владимировна, Федорова Надежда Евгеньевна, Шабунин Михаил Иванович, издательство Просвещение, Москва, 2014, страница 63, номер 163, Условие

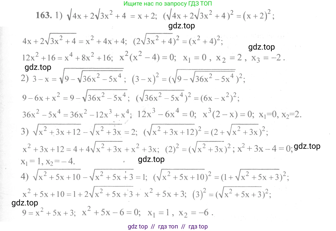
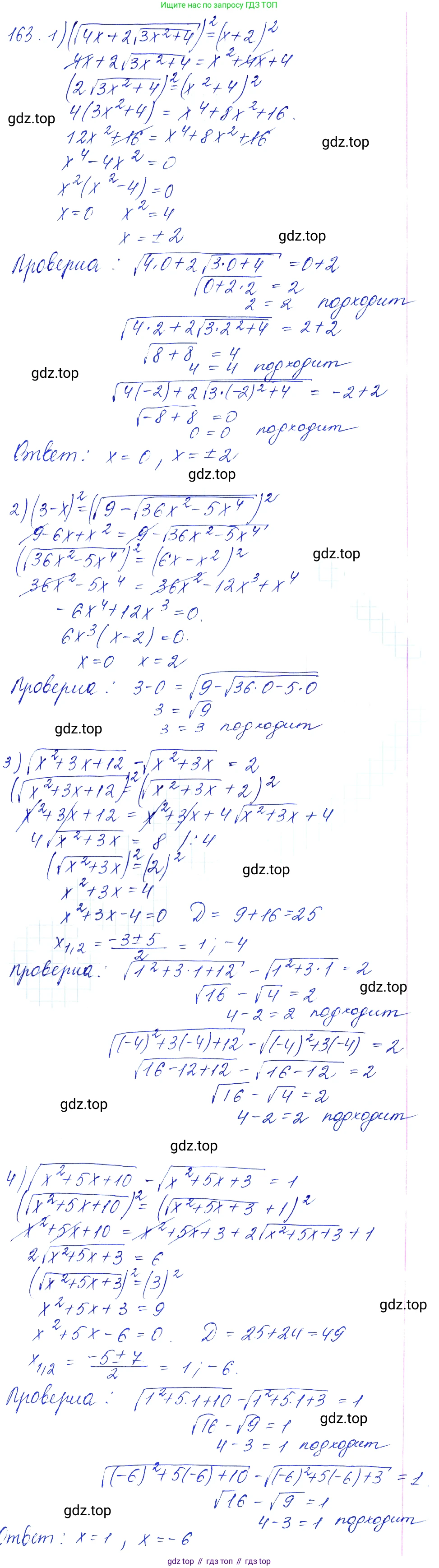
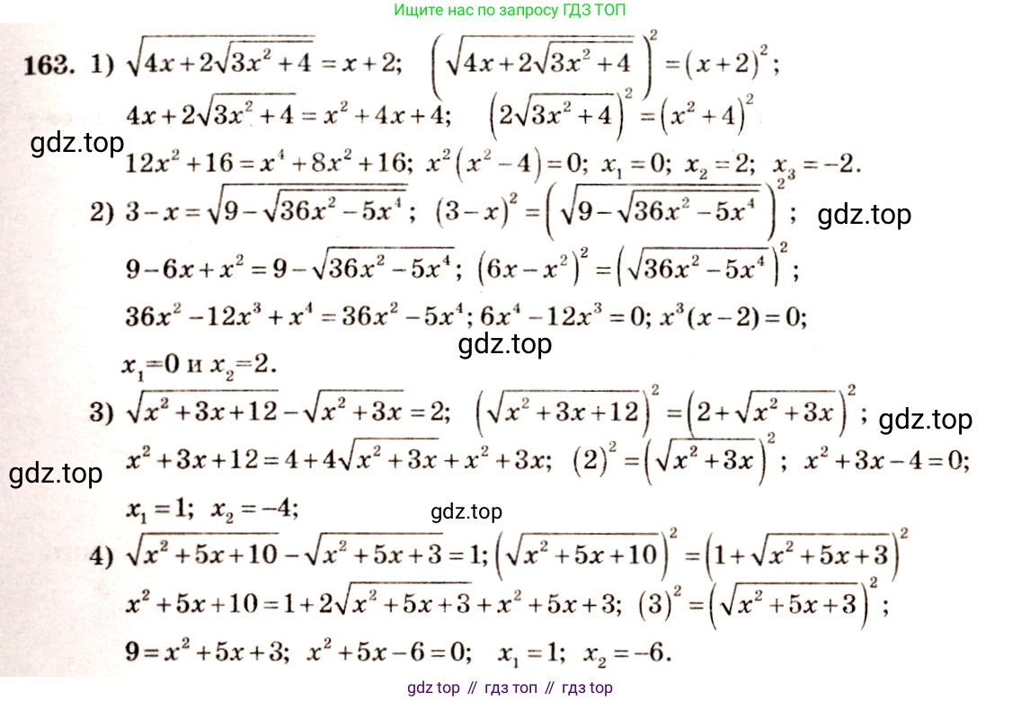
163 Решить уравнение:

1) $\sqrt{4x+2\sqrt{3x^2+4}} = x+2;$

2) $3-x=\sqrt{9-\sqrt{36x^2-5x^4}};$

3) $\sqrt{x^2+3x+12}-\sqrt{x^2+3x}=2;$

4) $\sqrt{x^2+5x+10}-\sqrt{x^2+5x+3}=1.$

Решение 1. №163 (с. 63)
Алгебра, 10-11 класс Учебник, авторы: Алимов Шавкат Арифджанович, Колягин Юрий Михайлович, Ткачева Мария Владимировна, Федорова Надежда Евгеньевна, Шабунин Михаил Иванович, издательство Просвещение, Москва, 2014, страница 63, номер 163, Решение 1
Алгебра, 10-11 класс Учебник, авторы: Алимов Шавкат Арифджанович, Колягин Юрий Михайлович, Ткачева Мария Владимировна, Федорова Надежда Евгеньевна, Шабунин Михаил Иванович, издательство Просвещение, Москва, 2014, страница 63, номер 163, Решение 1 (продолжение 2)
Алгебра, 10-11 класс Учебник, авторы: Алимов Шавкат Арифджанович, Колягин Юрий Михайлович, Ткачева Мария Владимировна, Федорова Надежда Евгеньевна, Шабунин Михаил Иванович, издательство Просвещение, Москва, 2014, страница 63, номер 163, Решение 1 (продолжение 3)
Алгебра, 10-11 класс Учебник, авторы: Алимов Шавкат Арифджанович, Колягин Юрий Михайлович, Ткачева Мария Владимировна, Федорова Надежда Евгеньевна, Шабунин Михаил Иванович, издательство Просвещение, Москва, 2014, страница 63, номер 163, Решение 1 (продолжение 4)
Решение 2. №163 (с. 63)
Алгебра, 10-11 класс Учебник, авторы: Алимов Шавкат Арифджанович, Колягин Юрий Михайлович, Ткачева Мария Владимировна, Федорова Надежда Евгеньевна, Шабунин Михаил Иванович, издательство Просвещение, Москва, 2014, страница 63, номер 163, Решение 2
Алгебра, 10-11 класс Учебник, авторы: Алимов Шавкат Арифджанович, Колягин Юрий Михайлович, Ткачева Мария Владимировна, Федорова Надежда Евгеньевна, Шабунин Михаил Иванович, издательство Просвещение, Москва, 2014, страница 63, номер 163, Решение 2 (продолжение 2)
Решение 4. №163 (с. 63)
Алгебра, 10-11 класс Учебник, авторы: Алимов Шавкат Арифджанович, Колягин Юрий Михайлович, Ткачева Мария Владимировна, Федорова Надежда Евгеньевна, Шабунин Михаил Иванович, издательство Просвещение, Москва, 2014, страница 63, номер 163, Решение 4
Решение 5. №163 (с. 63)
Алгебра, 10-11 класс Учебник, авторы: Алимов Шавкат Арифджанович, Колягин Юрий Михайлович, Ткачева Мария Владимировна, Федорова Надежда Евгеньевна, Шабунин Михаил Иванович, издательство Просвещение, Москва, 2014, страница 63, номер 163, Решение 5
Алгебра, 10-11 класс Учебник, авторы: Алимов Шавкат Арифджанович, Колягин Юрий Михайлович, Ткачева Мария Владимировна, Федорова Надежда Евгеньевна, Шабунин Михаил Иванович, издательство Просвещение, Москва, 2014, страница 63, номер 163, Решение 5 (продолжение 2)
Решение 6. №163 (с. 63)
Алгебра, 10-11 класс Учебник, авторы: Алимов Шавкат Арифджанович, Колягин Юрий Михайлович, Ткачева Мария Владимировна, Федорова Надежда Евгеньевна, Шабунин Михаил Иванович, издательство Просвещение, Москва, 2014, страница 63, номер 163, Решение 6
Решение 7. №163 (с. 63)
Алгебра, 10-11 класс Учебник, авторы: Алимов Шавкат Арифджанович, Колягин Юрий Михайлович, Ткачева Мария Владимировна, Федорова Надежда Евгеньевна, Шабунин Михаил Иванович, издательство Просвещение, Москва, 2014, страница 63, номер 163, Решение 7 Алгебра, 10-11 класс Учебник, авторы: Алимов Шавкат Арифджанович, Колягин Юрий Михайлович, Ткачева Мария Владимировна, Федорова Надежда Евгеньевна, Шабунин Михаил Иванович, издательство Просвещение, Москва, 2014, страница 63, номер 163, Решение 7 (продолжение 2)
Решение 8. №163 (с. 63)

1) $\sqrt{4x + 2\sqrt{3x^2 + 4}} = x + 2$

Для начала определим область допустимых значений (ОДЗ). Правая часть уравнения не может быть отрицательной, так как она равна арифметическому квадратному корню.
$x + 2 \ge 0 \implies x \ge -2$.
Также подкоренное выражение должно быть неотрицательным: $4x + 2\sqrt{3x^2 + 4} \ge 0$. Выражение $3x^2 + 4$ всегда положительно при любом $x$. Если $x \ge 0$, то и все выражение $4x + 2\sqrt{3x^2+4}$ положительно. Если $-2 \le x < 0$, то $4x$ отрицательно. Проверим, выполняется ли неравенство: $2\sqrt{3x^2+4} \ge -4x \implies \sqrt{3x^2+4} \ge -2x$. Так как обе части неотрицательны, возводим в квадрат: $3x^2+4 \ge 4x^2 \implies x^2 \le 4 \implies -2 \le x \le 2$. Это условие выполняется для $-2 \le x < 0$.
Таким образом, ОДЗ: $x \ge -2$.

Возведем обе части уравнения в квадрат:
$4x + 2\sqrt{3x^2 + 4} = (x + 2)^2$
$4x + 2\sqrt{3x^2 + 4} = x^2 + 4x + 4$
Вычтем $4x$ из обеих частей:
$2\sqrt{3x^2 + 4} = x^2 + 4$

Правая часть $x^2 + 4$ всегда положительна. Снова возведем обе части в квадрат:
$(2\sqrt{3x^2 + 4})^2 = (x^2 + 4)^2$
$4(3x^2 + 4) = x^4 + 8x^2 + 16$
$12x^2 + 16 = x^4 + 8x^2 + 16$
$x^4 - 4x^2 = 0$
$x^2(x^2 - 4) = 0$
$x^2(x - 2)(x + 2) = 0$

Получаем три возможных корня: $x_1 = 0$, $x_2 = 2$, $x_3 = -2$.
Все три корня удовлетворяют ОДЗ ($x \ge -2$). Выполним проверку.
При $x=0$: $\sqrt{4(0) + 2\sqrt{3(0)^2+4}} = \sqrt{2\sqrt{4}} = 2$. Правая часть: $0+2=2$. Верно.
При $x=2$: $\sqrt{4(2) + 2\sqrt{3(2)^2+4}} = \sqrt{8 + 2\sqrt{16}} = \sqrt{8+8} = 4$. Правая часть: $2+2=4$. Верно.
При $x=-2$: $\sqrt{4(-2) + 2\sqrt{3(-2)^2+4}} = \sqrt{-8 + 2\sqrt{16}} = \sqrt{-8+8} = 0$. Правая часть: $-2+2=0$. Верно.

Ответ: $x \in \{-2, 0, 2\}$.

2) $3 - x = \sqrt{9 - \sqrt{36x^2 - 5x^4}}$

ОДЗ:
1. $3-x \ge 0 \implies x \le 3$.
2. $36x^2 - 5x^4 \ge 0 \implies x^2(36-5x^2) \ge 0$. Это выполняется, если $36-5x^2 \ge 0 \implies 5x^2 \le 36 \implies x^2 \le \frac{36}{5} \implies -\frac{6}{\sqrt{5}} \le x \le \frac{6}{\sqrt{5}}$.
3. $9 - \sqrt{36x^2 - 5x^4} \ge 0 \implies 9 \ge \sqrt{36x^2 - 5x^4}$. Возводим в квадрат: $81 \ge 36x^2 - 5x^4 \implies 5x^4 - 36x^2 + 81 \ge 0$. Пусть $t=x^2, t \ge 0$. Квадратное уравнение $5t^2 - 36t + 81 = 0$ имеет дискриминант $D = 36^2 - 4 \cdot 5 \cdot 81 = 1296 - 1620 = -324 < 0$. Так как коэффициент при $t^2$ положителен, трехчлен $5t^2 - 36t + 81$ всегда положителен.
Итоговая ОДЗ: $-\frac{6}{\sqrt{5}} \le x \le \frac{6}{\sqrt{5}}$ (приблизительно $[-2.68, 2.68]$).

Возведем обе части уравнения в квадрат:
$(3-x)^2 = 9 - \sqrt{36x^2 - 5x^4}$
$9 - 6x + x^2 = 9 - \sqrt{36x^2 - 5x^4}$
$x^2 - 6x = -\sqrt{36x^2 - 5x^4}$
$6x - x^2 = \sqrt{36x^2 - 5x^4}$
$6x - x^2 = \sqrt{x^2(36 - 5x^2)}$
$6x - x^2 = |x|\sqrt{36 - 5x^2}$

Левая часть $6x - x^2 = x(6-x)$ должна быть неотрицательной, что верно для $0 \le x \le 6$. С учетом ОДЗ, это условие выполняется для $0 \le x \le \frac{6}{\sqrt{5}}$.
В этом интервале $|x|=x$, поэтому уравнение принимает вид:
$x(6-x) = x\sqrt{36-5x^2}$
Одно решение - $x_1=0$. Если $x \ne 0$, делим на $x$:
$6-x = \sqrt{36-5x^2}$
Возводим в квадрат:
$(6-x)^2 = 36-5x^2$
$36-12x+x^2 = 36-5x^2$
$6x^2 - 12x = 0$
$6x(x-2) = 0$
Отсюда $x=0$ (уже найден) и $x_2=2$.

Проверим найденные корни.
$x=0$: $0$ входит в ОДЗ. $3-0 = \sqrt{9-\sqrt{0}} \implies 3=3$. Верно.
$x=2$: $2$ входит в ОДЗ ($2 < 6/\sqrt{5} \approx 2.68$). $3-2 = \sqrt{9-\sqrt{36(4)-5(16)}} = \sqrt{9-\sqrt{144-80}} = \sqrt{9-\sqrt{64}} = \sqrt{9-8} = 1$. Верно.

Ответ: $x \in \{0, 2\}$.

3) $\sqrt{x^2 + 3x + 12} - \sqrt{x^2 + 3x} = 2$

Сделаем замену $t = x^2 + 3x$.
ОДЗ для $t$: $t+12 \ge 0$ и $t \ge 0$, что дает $t \ge 0$.
Уравнение принимает вид: $\sqrt{t+12} - \sqrt{t} = 2$.

Перенесем $\sqrt{t}$:
$\sqrt{t+12} = 2 + \sqrt{t}$
Возведем обе части в квадрат:
$t+12 = (2+\sqrt{t})^2$
$t+12 = 4 + 4\sqrt{t} + t$
$8 = 4\sqrt{t}$
$2 = \sqrt{t}$
Возведем в квадрат еще раз:
$t = 4$.

Значение $t=4$ удовлетворяет условию $t \ge 0$. Вернемся к исходной переменной:
$x^2 + 3x = 4$
$x^2 + 3x - 4 = 0$
По теореме Виета, корни уравнения: $x_1 = 1$, $x_2 = -4$.
Проверим, выполняется ли для этих корней условие $t \ge 0$, то есть $x^2+3x \ge 0$:
Для $x=1$: $1^2 + 3(1) = 4 \ge 0$. Верно.
Для $x=-4$: $(-4)^2 + 3(-4) = 16 - 12 = 4 \ge 0$. Верно.

Ответ: $x \in \{-4, 1\}$.

4) $\sqrt{x^2 + 5x + 10} - \sqrt{x^2 + 5x + 3} = 1$

Сделаем замену $y = x^2 + 5x + 3$. Тогда $x^2 + 5x + 10 = y + 7$.
ОДЗ для $y$: $y \ge 0$ и $y+7 \ge 0$, что дает $y \ge 0$.
Уравнение принимает вид: $\sqrt{y+7} - \sqrt{y} = 1$.

Перенесем $\sqrt{y}$:
$\sqrt{y+7} = 1 + \sqrt{y}$
Возведем обе части в квадрат:
$y+7 = (1+\sqrt{y})^2$
$y+7 = 1 + 2\sqrt{y} + y$
$6 = 2\sqrt{y}$
$3 = \sqrt{y}$
Возведем в квадрат еще раз:
$y = 9$.

Значение $y=9$ удовлетворяет условию $y \ge 0$. Вернемся к исходной переменной:
$x^2 + 5x + 3 = 9$
$x^2 + 5x - 6 = 0$
По теореме Виета, корни уравнения: $x_1 = 1$, $x_2 = -6$.
Проверим, выполняется ли для этих корней условие $y \ge 0$, то есть $x^2+5x+3 \ge 0$:
Для $x=1$: $1^2 + 5(1) + 3 = 9 \ge 0$. Верно.
Для $x=-6$: $(-6)^2 + 5(-6) + 3 = 36 - 30 + 3 = 9 \ge 0$. Верно.

Ответ: $x \in \{-6, 1\}$.

Помогло решение? Оставьте отзыв в комментариях ниже.

Присоединяйтесь к Телеграм-группе @top_gdz

Присоединиться

Мы подготовили для вас ответ c подробным объяснением домашего задания по алгебре за 10-11 класс, для упражнения номер 163 расположенного на странице 63 к учебнику 2014 года издания для учащихся школ и гимназий.

Теперь на нашем сайте ГДЗ.ТОП вы всегда легко и бесплатно найдёте условие с правильным ответом на вопрос «Как решить ДЗ» и «Как сделать» задание по алгебре к упражнению №163 (с. 63), авторов: Алимов (Шавкат Арифджанович), Колягин (Юрий Михайлович), Ткачева (Мария Владимировна), Федорова (Надежда Евгеньевна), Шабунин (Михаил Иванович), ФГОС (старый) базовый и углублённый уровень обучения учебного пособия издательства Просвещение.