Номер 170, страница 68 - гдз по алгебре 10-11 класс учебник Алимов, Колягин

Алгебра, 10-11 класс Учебник, авторы: Алимов Шавкат Арифджанович, Колягин Юрий Михайлович, Ткачева Мария Владимировна, Федорова Надежда Евгеньевна, Шабунин Михаил Иванович, издательство Просвещение, Москва, 2014

Авторы: Алимов Ш. А., Колягин Ю. М., Ткачева М. В., Федорова Н. Е., Шабунин М. И.

Тип: Учебник

Издательство: Просвещение

Год издания: 2014 - 2025

Уровень обучения: базовый и углублённый

Цвет обложки: синий, фиолетовый

ISBN: 978-5-09-112136-0

Допущено Министерством просвещения Российской Федерации

Математика: алгебра и начала математического анализа, геометрия

Популярные ГДЗ в 10 классе

Глава 2. Степенная функция. Параграф 10. Иррациональные неравенства - номер 170, страница 68.

№170 (с. 68)
Условие. №170 (с. 68)
скриншот условия
Алгебра, 10-11 класс Учебник, авторы: Алимов Шавкат Арифджанович, Колягин Юрий Михайлович, Ткачева Мария Владимировна, Федорова Надежда Евгеньевна, Шабунин Михаил Иванович, издательство Просвещение, Москва, 2014, страница 68, номер 170, Условие

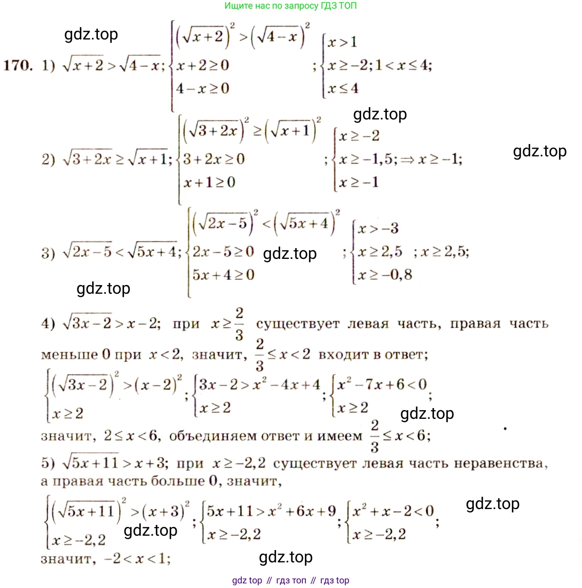
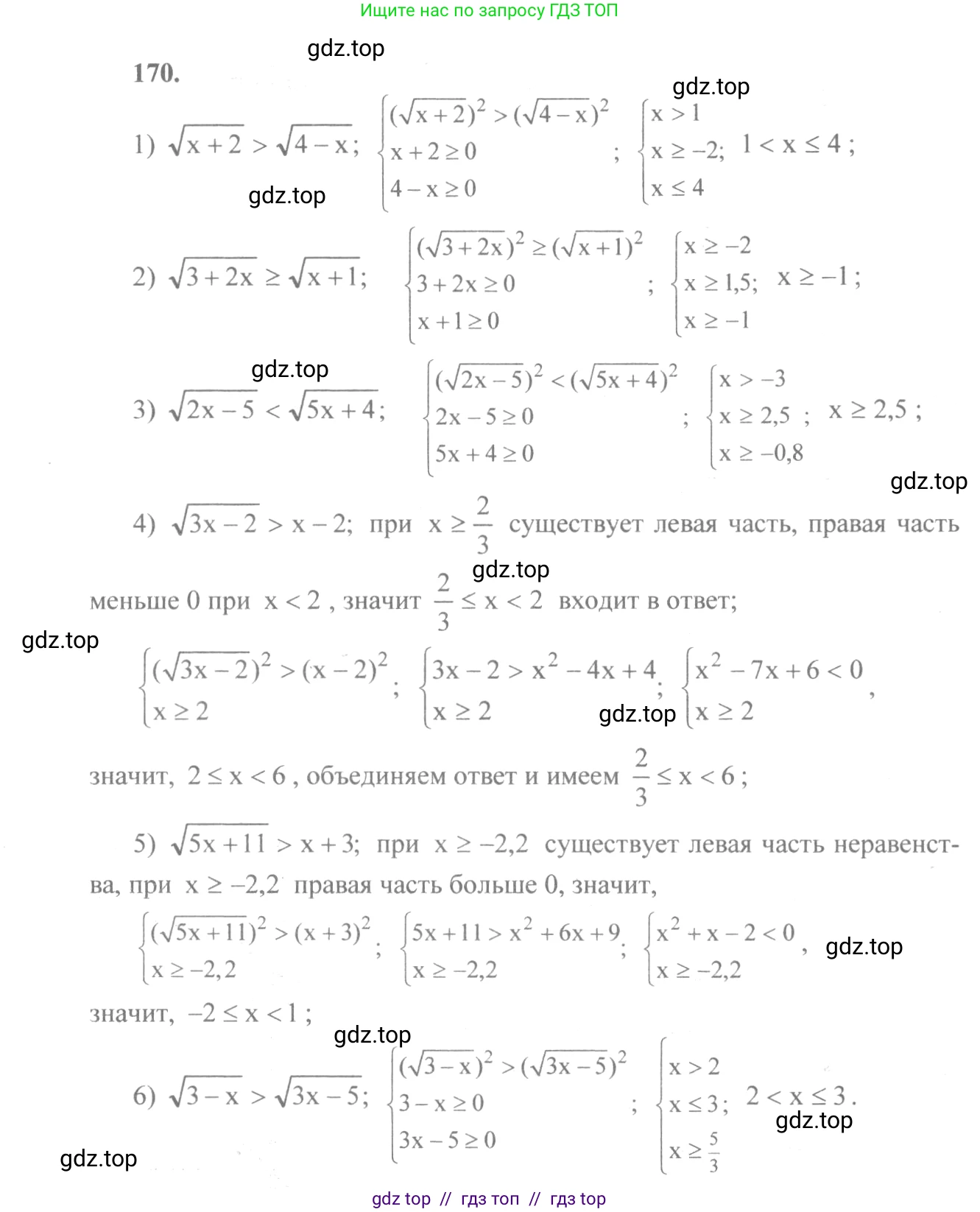
170 1) $\sqrt{x+2} > \sqrt{4-x}$;

2) $\sqrt{3+2x} \ge \sqrt{x+1}$;

3) $\sqrt{2x-5} < \sqrt{5x+4}$;

4) $\sqrt{3x-2} > x-2$;

5) $\sqrt{5x+11} > x+3$;

6) $\sqrt{3-x} < \sqrt{3x-5}$.

Решение 1. №170 (с. 68)
Алгебра, 10-11 класс Учебник, авторы: Алимов Шавкат Арифджанович, Колягин Юрий Михайлович, Ткачева Мария Владимировна, Федорова Надежда Евгеньевна, Шабунин Михаил Иванович, издательство Просвещение, Москва, 2014, страница 68, номер 170, Решение 1
Алгебра, 10-11 класс Учебник, авторы: Алимов Шавкат Арифджанович, Колягин Юрий Михайлович, Ткачева Мария Владимировна, Федорова Надежда Евгеньевна, Шабунин Михаил Иванович, издательство Просвещение, Москва, 2014, страница 68, номер 170, Решение 1 (продолжение 2)
Алгебра, 10-11 класс Учебник, авторы: Алимов Шавкат Арифджанович, Колягин Юрий Михайлович, Ткачева Мария Владимировна, Федорова Надежда Евгеньевна, Шабунин Михаил Иванович, издательство Просвещение, Москва, 2014, страница 68, номер 170, Решение 1 (продолжение 3)
Алгебра, 10-11 класс Учебник, авторы: Алимов Шавкат Арифджанович, Колягин Юрий Михайлович, Ткачева Мария Владимировна, Федорова Надежда Евгеньевна, Шабунин Михаил Иванович, издательство Просвещение, Москва, 2014, страница 68, номер 170, Решение 1 (продолжение 4)
Алгебра, 10-11 класс Учебник, авторы: Алимов Шавкат Арифджанович, Колягин Юрий Михайлович, Ткачева Мария Владимировна, Федорова Надежда Евгеньевна, Шабунин Михаил Иванович, издательство Просвещение, Москва, 2014, страница 68, номер 170, Решение 1 (продолжение 5) Алгебра, 10-11 класс Учебник, авторы: Алимов Шавкат Арифджанович, Колягин Юрий Михайлович, Ткачева Мария Владимировна, Федорова Надежда Евгеньевна, Шабунин Михаил Иванович, издательство Просвещение, Москва, 2014, страница 68, номер 170, Решение 1 (продолжение 6)
Решение 2. №170 (с. 68)
Алгебра, 10-11 класс Учебник, авторы: Алимов Шавкат Арифджанович, Колягин Юрий Михайлович, Ткачева Мария Владимировна, Федорова Надежда Евгеньевна, Шабунин Михаил Иванович, издательство Просвещение, Москва, 2014, страница 68, номер 170, Решение 2
Алгебра, 10-11 класс Учебник, авторы: Алимов Шавкат Арифджанович, Колягин Юрий Михайлович, Ткачева Мария Владимировна, Федорова Надежда Евгеньевна, Шабунин Михаил Иванович, издательство Просвещение, Москва, 2014, страница 68, номер 170, Решение 2 (продолжение 2)
Алгебра, 10-11 класс Учебник, авторы: Алимов Шавкат Арифджанович, Колягин Юрий Михайлович, Ткачева Мария Владимировна, Федорова Надежда Евгеньевна, Шабунин Михаил Иванович, издательство Просвещение, Москва, 2014, страница 68, номер 170, Решение 2 (продолжение 3)
Решение 4. №170 (с. 68)
Алгебра, 10-11 класс Учебник, авторы: Алимов Шавкат Арифджанович, Колягин Юрий Михайлович, Ткачева Мария Владимировна, Федорова Надежда Евгеньевна, Шабунин Михаил Иванович, издательство Просвещение, Москва, 2014, страница 68, номер 170, Решение 4
Алгебра, 10-11 класс Учебник, авторы: Алимов Шавкат Арифджанович, Колягин Юрий Михайлович, Ткачева Мария Владимировна, Федорова Надежда Евгеньевна, Шабунин Михаил Иванович, издательство Просвещение, Москва, 2014, страница 68, номер 170, Решение 4 (продолжение 2)
Решение 5. №170 (с. 68)
Алгебра, 10-11 класс Учебник, авторы: Алимов Шавкат Арифджанович, Колягин Юрий Михайлович, Ткачева Мария Владимировна, Федорова Надежда Евгеньевна, Шабунин Михаил Иванович, издательство Просвещение, Москва, 2014, страница 68, номер 170, Решение 5
Алгебра, 10-11 класс Учебник, авторы: Алимов Шавкат Арифджанович, Колягин Юрий Михайлович, Ткачева Мария Владимировна, Федорова Надежда Евгеньевна, Шабунин Михаил Иванович, издательство Просвещение, Москва, 2014, страница 68, номер 170, Решение 5 (продолжение 2)
Решение 6. №170 (с. 68)
Алгебра, 10-11 класс Учебник, авторы: Алимов Шавкат Арифджанович, Колягин Юрий Михайлович, Ткачева Мария Владимировна, Федорова Надежда Евгеньевна, Шабунин Михаил Иванович, издательство Просвещение, Москва, 2014, страница 68, номер 170, Решение 6
Решение 7. №170 (с. 68)
Алгебра, 10-11 класс Учебник, авторы: Алимов Шавкат Арифджанович, Колягин Юрий Михайлович, Ткачева Мария Владимировна, Федорова Надежда Евгеньевна, Шабунин Михаил Иванович, издательство Просвещение, Москва, 2014, страница 68, номер 170, Решение 7 Алгебра, 10-11 класс Учебник, авторы: Алимов Шавкат Арифджанович, Колягин Юрий Михайлович, Ткачева Мария Владимировна, Федорова Надежда Евгеньевна, Шабунин Михаил Иванович, издательство Просвещение, Москва, 2014, страница 68, номер 170, Решение 7 (продолжение 2) Алгебра, 10-11 класс Учебник, авторы: Алимов Шавкат Арифджанович, Колягин Юрий Михайлович, Ткачева Мария Владимировна, Федорова Надежда Евгеньевна, Шабунин Михаил Иванович, издательство Просвещение, Москва, 2014, страница 68, номер 170, Решение 7 (продолжение 3)
Решение 8. №170 (с. 68)

1) $\sqrt{x+2} > \sqrt{4-x}$

Данное иррациональное неравенство вида $\sqrt{f(x)} > \sqrt{g(x)}$ равносильно системе неравенств, при которой подкоренное выражение левой части больше подкоренного выражения правой, а подкоренное выражение правой части неотрицательно (из чего автоматически следует неотрицательность левой):

$\begin{cases} x+2 > 4-x \\ 4-x \geq 0 \end{cases}$

Решим первое неравенство системы:

$x+x > 4-2$

$2x > 2$

$x > 1$

Решим второе неравенство системы:

$4-x \geq 0$

$4 \geq x$ или $x \leq 4$

Найдем пересечение решений: $x > 1$ и $x \leq 4$.

Следовательно, решение неравенства есть промежуток $x \in (1, 4]$.

Ответ: $(1, 4]$.


2) $\sqrt{3+2x} \geq \sqrt{x+1}$

Это неравенство вида $\sqrt{f(x)} \geq \sqrt{g(x)}$ равносильно системе:

$\begin{cases} 3+2x \geq x+1 \\ x+1 \geq 0 \end{cases}$

Решим первое неравенство:

$3+2x \geq x+1$

$2x-x \geq 1-3$

$x \geq -2$

Решим второе неравенство:

$x+1 \geq 0$

$x \geq -1$

Пересечением решений $x \geq -2$ и $x \geq -1$ является $x \geq -1$.

Ответ: $[-1, \infty)$.


3) $\sqrt{2x-5} < \sqrt{5x+4}$

Неравенство вида $\sqrt{f(x)} < \sqrt{g(x)}$ равносильно системе, при которой подкоренное выражение левой части меньше подкоренного выражения правой, а также неотрицательно:

$\begin{cases} 2x-5 < 5x+4 \\ 2x-5 \geq 0 \end{cases}$

Решаем первое неравенство:

$2x-5 < 5x+4$

$-5-4 < 5x-2x$

$-9 < 3x$

$x > -3$

Решаем второе неравенство:

$2x-5 \geq 0$

$2x \geq 5$

$x \geq 2.5$

Пересечением решений $x > -3$ и $x \geq 2.5$ является $x \geq 2.5$.

Ответ: $[2.5, \infty)$.


4) $\sqrt{3x-2} > x-2$

Это неравенство вида $\sqrt{f(x)} > g(x)$. Решение является объединением решений двух систем, в зависимости от знака правой части $g(x)$.

Сначала найдем область допустимых значений (ОДЗ): $3x-2 \geq 0 \implies 3x \geq 2 \implies x \geq \frac{2}{3}$.

Случай 1: Правая часть отрицательна ($x-2 < 0$). В этом случае неравенство выполняется для всех $x$ из ОДЗ.

$\begin{cases} x-2 < 0 \\ 3x-2 \geq 0 \end{cases} \implies \begin{cases} x < 2 \\ x \geq \frac{2}{3} \end{cases}$

Решением этой системы является промежуток $[\frac{2}{3}, 2)$.

Случай 2: Правая часть неотрицательна ($x-2 \geq 0$). В этом случае можно возвести обе части неравенства в квадрат.

$\begin{cases} x-2 \geq 0 \\ (\sqrt{3x-2})^2 > (x-2)^2 \end{cases} \implies \begin{cases} x \geq 2 \\ 3x-2 > x^2-4x+4 \end{cases}$

Решим второе неравенство в системе:

$x^2-7x+6 < 0$

Найдем корни уравнения $x^2-7x+6=0$. По теореме Виета, корни $x_1=1, x_2=6$. Так как это парабола с ветвями вверх, неравенство выполняется между корнями: $x \in (1, 6)$.

Теперь найдем пересечение этого решения с условием $x \geq 2$: $(1, 6) \cap [2, \infty) = [2, 6)$.

Общее решение исходного неравенства — это объединение решений двух случаев: $[\frac{2}{3}, 2) \cup [2, 6) = [\frac{2}{3}, 6)$.

Ответ: $[\frac{2}{3}, 6)$.


5) $\sqrt{5x+11} > x+3$

Неравенство вида $\sqrt{f(x)} > g(x)$. Рассмотрим два случая.

ОДЗ: $5x+11 \geq 0 \implies 5x \geq -11 \implies x \geq -2.2$.

Случай 1: Правая часть отрицательна ($x+3 < 0$).

$\begin{cases} x+3 < 0 \\ 5x+11 \geq 0 \end{cases} \implies \begin{cases} x < -3 \\ x \geq -2.2 \end{cases}$

Эта система не имеет решений, так как интервалы не пересекаются.

Случай 2: Правая часть неотрицательна ($x+3 \geq 0$).

$\begin{cases} x+3 \geq 0 \\ (\sqrt{5x+11})^2 > (x+3)^2 \end{cases} \implies \begin{cases} x \geq -3 \\ 5x+11 > x^2+6x+9 \end{cases}$

Решим второе неравенство:

$x^2+x-2 < 0$

Корни уравнения $x^2+x-2=0$: $x_1=-2, x_2=1$. Решением квадратного неравенства является интервал $(-2, 1)$.

Найдем пересечение этого решения с условиями $x \geq -3$ и ОДЗ $x \geq -2.2$: $(-2, 1) \cap [-3, \infty) \cap [-2.2, \infty) = (-2, 1)$.

Общее решение — объединение решений двух случаев: $\emptyset \cup (-2, 1) = (-2, 1)$.

Ответ: $(-2, 1)$.


6) $\sqrt{3-x} < \sqrt{3x-5}$

Неравенство вида $\sqrt{f(x)} < \sqrt{g(x)}$ равносильно системе, которая учитывает области определения обоих корней и само неравенство.

$\begin{cases} 3-x < 3x-5 \\ 3-x \geq 0 \\ 3x-5 \geq 0 \end{cases}$

Решим первое неравенство:

$3+5 < 3x+x$

$8 < 4x$

$x > 2$

Решим второе неравенство (ОДЗ):

$3 \geq x$ или $x \leq 3$

Решим третье неравенство (ОДЗ):

$3x \geq 5$

$x \geq \frac{5}{3}$

Найдем пересечение всех трех решений: $x > 2$, $x \leq 3$ и $x \geq \frac{5}{3}$.

Условие $x > 2$ уже включает в себя условие $x \geq \frac{5}{3}$ (так как $2 > \frac{5}{3}$). Таким образом, ищем пересечение $x > 2$ и $x \leq 3$.

Решением является промежуток $(2, 3]$.

Ответ: $(2, 3]$.

Помогло решение? Оставьте отзыв в комментариях ниже.

Присоединяйтесь к Телеграм-группе @top_gdz

Присоединиться

Мы подготовили для вас ответ c подробным объяснением домашего задания по алгебре за 10-11 класс, для упражнения номер 170 расположенного на странице 68 к учебнику 2014 года издания для учащихся школ и гимназий.

Теперь на нашем сайте ГДЗ.ТОП вы всегда легко и бесплатно найдёте условие с правильным ответом на вопрос «Как решить ДЗ» и «Как сделать» задание по алгебре к упражнению №170 (с. 68), авторов: Алимов (Шавкат Арифджанович), Колягин (Юрий Михайлович), Ткачева (Мария Владимировна), Федорова (Надежда Евгеньевна), Шабунин (Михаил Иванович), ФГОС (старый) базовый и углублённый уровень обучения учебного пособия издательства Просвещение.