Номер 171, страница 68 - гдз по алгебре 10-11 класс учебник Алимов, Колягин

Алгебра, 10-11 класс Учебник, авторы: Алимов Шавкат Арифджанович, Колягин Юрий Михайлович, Ткачева Мария Владимировна, Федорова Надежда Евгеньевна, Шабунин Михаил Иванович, издательство Просвещение, Москва, 2014

Авторы: Алимов Ш. А., Колягин Ю. М., Ткачева М. В., Федорова Н. Е., Шабунин М. И.

Тип: Учебник

Издательство: Просвещение

Год издания: 2014 - 2026

Уровень обучения: базовый и углублённый

Цвет обложки: синий, фиолетовый

ISBN: 978-5-09-112136-0

Допущено Министерством просвещения Российской Федерации

Математика: алгебра и начала математического анализа, геометрия

Глава 2. Степенная функция. Параграф 10. Иррациональные неравенства - номер 171, страница 68.

№171 (с. 68)
Условие. №171 (с. 68)
скриншот условия
Алгебра, 10-11 класс Учебник, авторы: Алимов Шавкат Арифджанович, Колягин Юрий Михайлович, Ткачева Мария Владимировна, Федорова Надежда Евгеньевна, Шабунин Михаил Иванович, издательство Просвещение, Москва, 2014, страница 68, номер 171, Условие

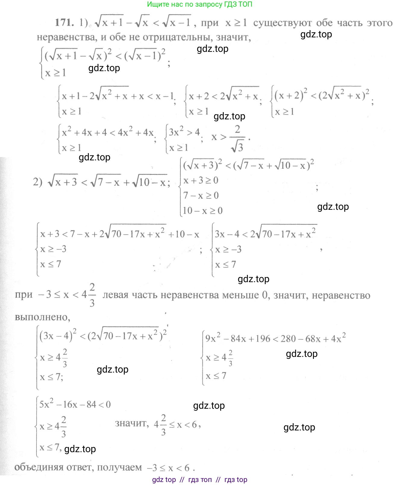
171 1) $\sqrt{x+1}-\sqrt{x} < \sqrt{x-1}$;

2) $\sqrt{x+3} < \sqrt{7-x}+\sqrt{10-x}$.

Решение 1. №171 (с. 68)
Алгебра, 10-11 класс Учебник, авторы: Алимов Шавкат Арифджанович, Колягин Юрий Михайлович, Ткачева Мария Владимировна, Федорова Надежда Евгеньевна, Шабунин Михаил Иванович, издательство Просвещение, Москва, 2014, страница 68, номер 171, Решение 1
Алгебра, 10-11 класс Учебник, авторы: Алимов Шавкат Арифджанович, Колягин Юрий Михайлович, Ткачева Мария Владимировна, Федорова Надежда Евгеньевна, Шабунин Михаил Иванович, издательство Просвещение, Москва, 2014, страница 68, номер 171, Решение 1 (продолжение 2)
Решение 2. №171 (с. 68)
Алгебра, 10-11 класс Учебник, авторы: Алимов Шавкат Арифджанович, Колягин Юрий Михайлович, Ткачева Мария Владимировна, Федорова Надежда Евгеньевна, Шабунин Михаил Иванович, издательство Просвещение, Москва, 2014, страница 68, номер 171, Решение 2
Алгебра, 10-11 класс Учебник, авторы: Алимов Шавкат Арифджанович, Колягин Юрий Михайлович, Ткачева Мария Владимировна, Федорова Надежда Евгеньевна, Шабунин Михаил Иванович, издательство Просвещение, Москва, 2014, страница 68, номер 171, Решение 2 (продолжение 2)
Решение 3. №171 (с. 68)
Алгебра, 10-11 класс Учебник, авторы: Алимов Шавкат Арифджанович, Колягин Юрий Михайлович, Ткачева Мария Владимировна, Федорова Надежда Евгеньевна, Шабунин Михаил Иванович, издательство Просвещение, Москва, 2014, страница 68, номер 171, Решение 3
Решение 4. №171 (с. 68)
Алгебра, 10-11 класс Учебник, авторы: Алимов Шавкат Арифджанович, Колягин Юрий Михайлович, Ткачева Мария Владимировна, Федорова Надежда Евгеньевна, Шабунин Михаил Иванович, издательство Просвещение, Москва, 2014, страница 68, номер 171, Решение 4
Решение 5. №171 (с. 68)
Алгебра, 10-11 класс Учебник, авторы: Алимов Шавкат Арифджанович, Колягин Юрий Михайлович, Ткачева Мария Владимировна, Федорова Надежда Евгеньевна, Шабунин Михаил Иванович, издательство Просвещение, Москва, 2014, страница 68, номер 171, Решение 5
Решение 6. №171 (с. 68)
Алгебра, 10-11 класс Учебник, авторы: Алимов Шавкат Арифджанович, Колягин Юрий Михайлович, Ткачева Мария Владимировна, Федорова Надежда Евгеньевна, Шабунин Михаил Иванович, издательство Просвещение, Москва, 2014, страница 68, номер 171, Решение 6
Решение 7. №171 (с. 68)
Алгебра, 10-11 класс Учебник, авторы: Алимов Шавкат Арифджанович, Колягин Юрий Михайлович, Ткачева Мария Владимировна, Федорова Надежда Евгеньевна, Шабунин Михаил Иванович, издательство Просвещение, Москва, 2014, страница 68, номер 171, Решение 7 Алгебра, 10-11 класс Учебник, авторы: Алимов Шавкат Арифджанович, Колягин Юрий Михайлович, Ткачева Мария Владимировна, Федорова Надежда Евгеньевна, Шабунин Михаил Иванович, издательство Просвещение, Москва, 2014, страница 68, номер 171, Решение 7 (продолжение 2)
Решение 8. №171 (с. 68)

1) $\sqrt{x+1}-\sqrt{x} < \sqrt{x-1}$

Сначала найдем область допустимых значений (ОДЗ). Все подкоренные выражения должны быть неотрицательными:

$\begin{cases} x+1 \ge 0 \\ x \ge 0 \\ x-1 \ge 0 \end{cases} \implies \begin{cases} x \ge -1 \\ x \ge 0 \\ x \ge 1 \end{cases}$

Пересечением этих условий является $x \ge 1$. Таким образом, ОДЗ: $x \in [1, +\infty)$.

Перепишем неравенство в виде $\sqrt{x+1} < \sqrt{x} + \sqrt{x-1}$.

При $x \ge 1$ обе части этого неравенства положительны, поэтому мы можем возвести их в квадрат, сохранив знак неравенства:

$(\sqrt{x+1})^2 < (\sqrt{x} + \sqrt{x-1})^2$

$x+1 < x + 2\sqrt{x}\sqrt{x-1} + (x-1)$

$x+1 < 2x - 1 + 2\sqrt{x(x-1)}$

$2-x < 2\sqrt{x^2-x}$

Теперь рассмотрим два случая в зависимости от знака левой части $2-x$.

Случай 1: $2-x < 0$, то есть $x > 2$.

В этом случае левая часть неравенства отрицательна, а правая часть ($2\sqrt{x^2-x}$) неотрицательна. Неравенство "отрицательное число < неотрицательное число" всегда верно. Таким образом, все значения $x > 2$ являются решениями. Учитывая ОДЗ ($x \ge 1$), получаем решение для этого случая: $x \in (2, +\infty)$.

Случай 2: $2-x \ge 0$, то есть $x \le 2$.

С учетом ОДЗ ($x \ge 1$), этот случай рассматривается на промежутке $x \in [1, 2]$.

На этом промежутке обе части неравенства $2-x < 2\sqrt{x^2-x}$ неотрицательны, поэтому мы можем снова возвести их в квадрат:

$(2-x)^2 < (2\sqrt{x^2-x})^2$

$4 - 4x + x^2 < 4(x^2-x)$

$4 - 4x + x^2 < 4x^2 - 4x$

$4 < 3x^2$

$x^2 > \frac{4}{3}$

Это неравенство равносильно $|x| > \sqrt{\frac{4}{3}}$, то есть $x > \frac{2}{\sqrt{3}}$ или $x < -\frac{2}{\sqrt{3}}$.

Нам нужно найти пересечение этого решения с условием данного случая $x \in [1, 2]$. Условие $x < -\frac{2}{\sqrt{3}}$ не входит в этот промежуток. Остается $x > \frac{2}{\sqrt{3}}$.

Так как $1 < \frac{2}{\sqrt{3}} \approx 1.155 < 2$, пересечение $x > \frac{2}{\sqrt{3}}$ и $x \in [1, 2]$ дает нам промежуток $(\frac{2}{\sqrt{3}}, 2]$.

Объединяя решения из обоих случаев, получаем:

$x \in (\frac{2}{\sqrt{3}}, 2] \cup (2, +\infty) = (\frac{2}{\sqrt{3}}, +\infty)$.

Это решение полностью удовлетворяет ОДЗ.

Ответ: $x \in (\frac{2}{\sqrt{3}}, +\infty)$.

2) $\sqrt{x+3} < \sqrt{7-x} + \sqrt{10-x}$

Найдем область допустимых значений (ОДЗ):

$\begin{cases} x+3 \ge 0 \\ 7-x \ge 0 \\ 10-x \ge 0 \end{cases} \implies \begin{cases} x \ge -3 \\ x \le 7 \\ x \le 10 \end{cases}$

Пересечением этих условий является $-3 \le x \le 7$. Таким образом, ОДЗ: $x \in [-3, 7]$.

На всей ОДЗ все подкоренные выражения неотрицательны, следовательно, обе части исходного неравенства также неотрицательны. Мы можем возвести обе части в квадрат:

$(\sqrt{x+3})^2 < (\sqrt{7-x} + \sqrt{10-x})^2$

$x+3 < (7-x) + 2\sqrt{(7-x)(10-x)} + (10-x)$

$x+3 < 17 - 2x + 2\sqrt{(7-x)(10-x)}$

$3x - 14 < 2\sqrt{x^2 - 17x + 70}$

Рассмотрим два случая в зависимости от знака левой части $3x-14$.

Случай 1: $3x - 14 < 0$, то есть $x < \frac{14}{3}$.

С учетом ОДЗ ($x \in [-3, 7]$), этот случай рассматривается на промежутке $x \in [-3, \frac{14}{3})$.

На этом промежутке левая часть неравенства отрицательна, а правая неотрицательна. Неравенство "отрицательное число < неотрицательное число" всегда истинно. Следовательно, весь промежуток $x \in [-3, \frac{14}{3})$ является решением.

Случай 2: $3x - 14 \ge 0$, то есть $x \ge \frac{14}{3}$.

С учетом ОДЗ ($x \in [-3, 7]$), этот случай рассматривается на промежутке $x \in [\frac{14}{3}, 7]$.

На этом промежутке обе части неравенства $3x - 14 < 2\sqrt{x^2 - 17x + 70}$ неотрицательны, и мы можем возвести их в квадрат:

$(3x-14)^2 < 4(x^2 - 17x + 70)$

$9x^2 - 84x + 196 < 4x^2 - 68x + 280$

$5x^2 - 16x - 84 < 0$

Найдем корни квадратного уравнения $5x^2 - 16x - 84 = 0$.

$D = (-16)^2 - 4 \cdot 5 \cdot (-84) = 256 + 1680 = 1936 = 44^2$.

$x_1 = \frac{16 - 44}{10} = -2.8$

$x_2 = \frac{16 + 44}{10} = 6$

Так как ветви параболы $y = 5x^2 - 16x - 84$ направлены вверх, неравенство $5x^2 - 16x - 84 < 0$ выполняется между корнями: $x \in (-2.8, 6)$.

Найдем пересечение этого интервала с условием данного случая $x \in [\frac{14}{3}, 7]$. Так как $\frac{14}{3} \approx 4.67$, пересечением будет $x \in [\frac{14}{3}, 6)$.

Объединим решения из обоих случаев:

$x \in [-3, \frac{14}{3}) \cup [\frac{14}{3}, 6) = [-3, 6)$.

Полученное решение полностью входит в ОДЗ.

Ответ: $x \in [-3, 6)$.

Помогло решение? Оставьте отзыв в комментариях ниже.

Присоединяйтесь к Телеграм-группе @top_gdz

Присоединиться

Мы подготовили для вас ответ c подробным объяснением домашего задания по алгебре за 10-11 класс, для упражнения номер 171 расположенного на странице 68 к учебнику 2014 года издания для учащихся школ и гимназий.

Теперь на нашем сайте ГДЗ.ТОП вы всегда легко и бесплатно найдёте условие с правильным ответом на вопрос «Как решить ДЗ» и «Как сделать» задание по алгебре к упражнению №171 (с. 68), авторов: Алимов (Шавкат Арифджанович), Колягин (Юрий Михайлович), Ткачева (Мария Владимировна), Федорова (Надежда Евгеньевна), Шабунин (Михаил Иванович), ФГОС (старый) базовый и углублённый уровень обучения учебного пособия издательства Просвещение.