Номер 174, страница 69 - гдз по алгебре 10-11 класс учебник Алимов, Колягин

Алгебра, 10-11 класс Учебник, авторы: Алимов Шавкат Арифджанович, Колягин Юрий Михайлович, Ткачева Мария Владимировна, Федорова Надежда Евгеньевна, Шабунин Михаил Иванович, издательство Просвещение, Москва, 2014

Авторы: Алимов Ш. А., Колягин Ю. М., Ткачева М. В., Федорова Н. Е., Шабунин М. И.

Тип: Учебник

Издательство: Просвещение

Год издания: 2014 - 2026

Уровень обучения: базовый и углублённый

Цвет обложки: синий, фиолетовый

ISBN: 978-5-09-112136-0

Допущено Министерством просвещения Российской Федерации

Математика: алгебра и начала математического анализа, геометрия

Глава 2. Степенная функция. Параграф 10. Иррациональные неравенства - номер 174, страница 69.

№174 (с. 69)
Условие. №174 (с. 69)
скриншот условия
Алгебра, 10-11 класс Учебник, авторы: Алимов Шавкат Арифджанович, Колягин Юрий Михайлович, Ткачева Мария Владимировна, Федорова Надежда Евгеньевна, Шабунин Михаил Иванович, издательство Просвещение, Москва, 2014, страница 69, номер 174, Условие

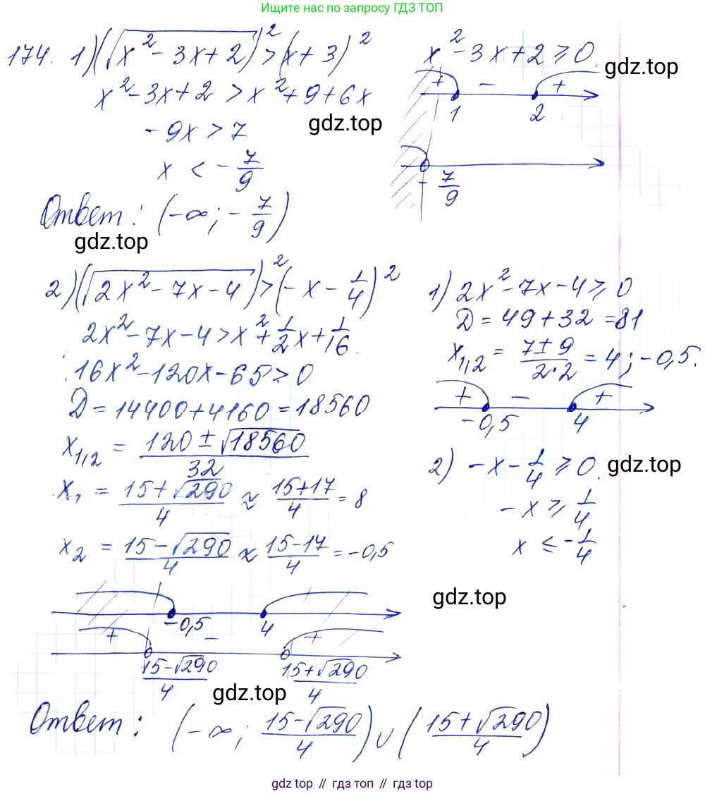
174 Решить неравенство:

1) $\sqrt{x^2 - 3x + 2} > x + 3;$

2) $\sqrt{2x^2 - 7x - 4} > -x - \frac{1}{4}.$

Решение 1. №174 (с. 69)
Алгебра, 10-11 класс Учебник, авторы: Алимов Шавкат Арифджанович, Колягин Юрий Михайлович, Ткачева Мария Владимировна, Федорова Надежда Евгеньевна, Шабунин Михаил Иванович, издательство Просвещение, Москва, 2014, страница 69, номер 174, Решение 1
Алгебра, 10-11 класс Учебник, авторы: Алимов Шавкат Арифджанович, Колягин Юрий Михайлович, Ткачева Мария Владимировна, Федорова Надежда Евгеньевна, Шабунин Михаил Иванович, издательство Просвещение, Москва, 2014, страница 69, номер 174, Решение 1 (продолжение 2)
Решение 2. №174 (с. 69)
Алгебра, 10-11 класс Учебник, авторы: Алимов Шавкат Арифджанович, Колягин Юрий Михайлович, Ткачева Мария Владимировна, Федорова Надежда Евгеньевна, Шабунин Михаил Иванович, издательство Просвещение, Москва, 2014, страница 69, номер 174, Решение 2
Алгебра, 10-11 класс Учебник, авторы: Алимов Шавкат Арифджанович, Колягин Юрий Михайлович, Ткачева Мария Владимировна, Федорова Надежда Евгеньевна, Шабунин Михаил Иванович, издательство Просвещение, Москва, 2014, страница 69, номер 174, Решение 2 (продолжение 2)
Решение 3. №174 (с. 69)
Алгебра, 10-11 класс Учебник, авторы: Алимов Шавкат Арифджанович, Колягин Юрий Михайлович, Ткачева Мария Владимировна, Федорова Надежда Евгеньевна, Шабунин Михаил Иванович, издательство Просвещение, Москва, 2014, страница 69, номер 174, Решение 3
Решение 5. №174 (с. 69)
Алгебра, 10-11 класс Учебник, авторы: Алимов Шавкат Арифджанович, Колягин Юрий Михайлович, Ткачева Мария Владимировна, Федорова Надежда Евгеньевна, Шабунин Михаил Иванович, издательство Просвещение, Москва, 2014, страница 69, номер 174, Решение 5
Алгебра, 10-11 класс Учебник, авторы: Алимов Шавкат Арифджанович, Колягин Юрий Михайлович, Ткачева Мария Владимировна, Федорова Надежда Евгеньевна, Шабунин Михаил Иванович, издательство Просвещение, Москва, 2014, страница 69, номер 174, Решение 5 (продолжение 2)
Решение 6. №174 (с. 69)
Алгебра, 10-11 класс Учебник, авторы: Алимов Шавкат Арифджанович, Колягин Юрий Михайлович, Ткачева Мария Владимировна, Федорова Надежда Евгеньевна, Шабунин Михаил Иванович, издательство Просвещение, Москва, 2014, страница 69, номер 174, Решение 6
Решение 7. №174 (с. 69)
Алгебра, 10-11 класс Учебник, авторы: Алимов Шавкат Арифджанович, Колягин Юрий Михайлович, Ткачева Мария Владимировна, Федорова Надежда Евгеньевна, Шабунин Михаил Иванович, издательство Просвещение, Москва, 2014, страница 69, номер 174, Решение 7 Алгебра, 10-11 класс Учебник, авторы: Алимов Шавкат Арифджанович, Колягин Юрий Михайлович, Ткачева Мария Владимировна, Федорова Надежда Евгеньевна, Шабунин Михаил Иванович, издательство Просвещение, Москва, 2014, страница 69, номер 174, Решение 7 (продолжение 2)
Решение 8. №174 (с. 69)

1) Решим неравенство $ \sqrt{x^2 - 3x + 2} > x + 3 $. Данное иррациональное неравенство вида $ \sqrt{f(x)} > g(x) $ равносильно совокупности двух систем.
Первая система рассматривает случай, когда правая часть отрицательна, а подкоренное выражение неотрицательно:$ \begin{cases} x + 3 < 0 \\ x^2 - 3x + 2 \ge 0 \end{cases} $Решая эту систему, получаем:$ \begin{cases} x < -3 \\ (x-1)(x-2) \ge 0 \end{cases} \implies \begin{cases} x < -3 \\ x \in (-\infty, 1] \cup [2, +\infty) \end{cases} $Пересечением этих условий является интервал $ x \in (-\infty, -3) $.
Вторая система рассматривает случай, когда обе части неравенства неотрицательны, что позволяет возвести их в квадрат:$ \begin{cases} x + 3 \ge 0 \\ x^2 - 3x + 2 > (x + 3)^2 \end{cases} $Решая эту систему, получаем:$ \begin{cases} x \ge -3 \\ x^2 - 3x + 2 > x^2 + 6x + 9 \end{cases} \implies \begin{cases} x \ge -3 \\ -9x > 7 \end{cases} \implies \begin{cases} x \ge -3 \\ x < -\frac{7}{9} \end{cases} $Решением этой системы является интервал $ x \in [-3, -\frac{7}{9}) $.
Объединяя решения обеих систем, $ (-\infty, -3) \cup [-3, -\frac{7}{9}) $, получаем общее решение неравенства.
Ответ: $ x \in (-\infty, -\frac{7}{9}) $.

2) Решим неравенство $ \sqrt{2x^2 - 7x - 4} > -x - \frac{1}{4} $. Это неравенство также решается рассмотрением двух систем.
Первая система:$ \begin{cases} -x - \frac{1}{4} < 0 \\ 2x^2 - 7x - 4 \ge 0 \end{cases} $Решаем систему:$ \begin{cases} x > -\frac{1}{4} \\ 2(x-4)(x+\frac{1}{2}) \ge 0 \end{cases} \implies \begin{cases} x > -0.25 \\ x \in (-\infty, -0.5] \cup [4, +\infty) \end{cases} $Пересечение этих множеств дает $ x \in [4, +\infty) $.
Вторая система:$ \begin{cases} -x - \frac{1}{4} \ge 0 \\ 2x^2 - 7x - 4 > (-x - \frac{1}{4})^2 \end{cases} $Решаем систему:$ \begin{cases} x \le -\frac{1}{4} \\ 2x^2 - 7x - 4 > x^2 + \frac{1}{2}x + \frac{1}{16} \end{cases} \implies \begin{cases} x \le -\frac{1}{4} \\ x^2 - \frac{15}{2}x - \frac{65}{16} > 0 \end{cases} \implies \begin{cases} x \le -\frac{1}{4} \\ 16x^2 - 120x - 65 > 0 \end{cases} $Найдем корни уравнения $ 16x^2 - 120x - 65 = 0 $. Дискриминант $ D = (-120)^2 - 4 \cdot 16 \cdot (-65) = 14400 + 4160 = 18560 $. Корни: $ x_{1,2} = \frac{120 \pm \sqrt{18560}}{32} = \frac{120 \pm 8\sqrt{290}}{32} = \frac{15 \pm \sqrt{290}}{4} $.Решением неравенства $ 16x^2 - 120x - 65 > 0 $ является $ x \in (-\infty, \frac{15 - \sqrt{290}}{4}) \cup (\frac{15 + \sqrt{290}}{4}, +\infty) $.Учитывая, что $ \frac{15 - \sqrt{290}}{4} \approx \frac{15 - 17.03}{4} \approx -0.51 < -0.25 $, а $ \frac{15 + \sqrt{290}}{4} \approx \frac{15 + 17.03}{4} \approx 8.01 > -0.25 $, пересечение с условием $ x \le -\frac{1}{4} $ дает $ x \in (-\infty, \frac{15 - \sqrt{290}}{4}) $.
Объединяя решения обеих систем, получаем итоговый ответ.
Ответ: $ x \in (-\infty, \frac{15 - \sqrt{290}}{4}) \cup [4, +\infty) $.

Помогло решение? Оставьте отзыв в комментариях ниже.

Присоединяйтесь к Телеграм-группе @top_gdz

Присоединиться

Мы подготовили для вас ответ c подробным объяснением домашего задания по алгебре за 10-11 класс, для упражнения номер 174 расположенного на странице 69 к учебнику 2014 года издания для учащихся школ и гимназий.

Теперь на нашем сайте ГДЗ.ТОП вы всегда легко и бесплатно найдёте условие с правильным ответом на вопрос «Как решить ДЗ» и «Как сделать» задание по алгебре к упражнению №174 (с. 69), авторов: Алимов (Шавкат Арифджанович), Колягин (Юрий Михайлович), Ткачева (Мария Владимировна), Федорова (Надежда Евгеньевна), Шабунин (Михаил Иванович), ФГОС (старый) базовый и углублённый уровень обучения учебного пособия издательства Просвещение.