Номер 179, страница 69 - гдз по алгебре 10-11 класс учебник Алимов, Колягин

Алгебра, 10-11 класс Учебник, авторы: Алимов Шавкат Арифджанович, Колягин Юрий Михайлович, Ткачева Мария Владимировна, Федорова Надежда Евгеньевна, Шабунин Михаил Иванович, издательство Просвещение, Москва, 2014

Авторы: Алимов Ш. А., Колягин Ю. М., Ткачева М. В., Федорова Н. Е., Шабунин М. И.

Тип: Учебник

Издательство: Просвещение

Год издания: 2014 - 2025

Уровень обучения: базовый и углублённый

Цвет обложки: синий, фиолетовый

ISBN: 978-5-09-112136-0

Допущено Министерством просвещения Российской Федерации

Математика: алгебра и начала математического анализа, геометрия

Популярные ГДЗ в 10 классе

Глава 2. Степенная функция. Упражнения к главе 2 - номер 179, страница 69.

№179 (с. 69)
Условие. №179 (с. 69)
скриншот условия
Алгебра, 10-11 класс Учебник, авторы: Алимов Шавкат Арифджанович, Колягин Юрий Михайлович, Ткачева Мария Владимировна, Федорова Надежда Евгеньевна, Шабунин Михаил Иванович, издательство Просвещение, Москва, 2014, страница 69, номер 179, Условие
Алгебра, 10-11 класс Учебник, авторы: Алимов Шавкат Арифджанович, Колягин Юрий Михайлович, Ткачева Мария Владимировна, Федорова Надежда Евгеньевна, Шабунин Михаил Иванович, издательство Просвещение, Москва, 2014, страница 69, номер 179, Условие (продолжение 2)

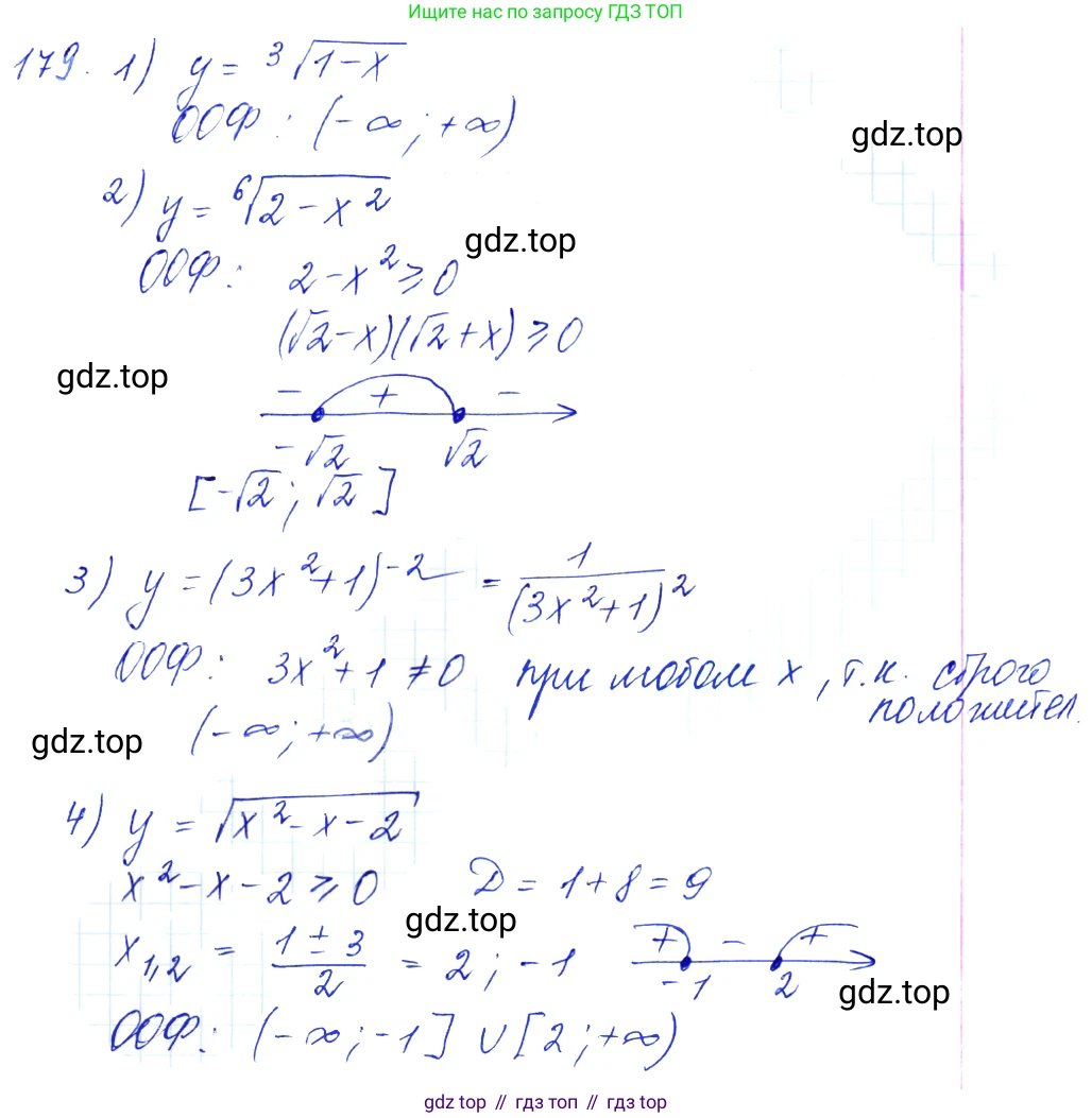
179 Найти область определения функции:

1) $y = \sqrt[3]{1-x}$;

2) $y = \sqrt[6]{2-x^2}$;

3) $y = (3x^2+1)^{-2}$;

4) $y = \sqrt{x^2-x-2}$.

а) $y = f(x)$

б) $y = g(x)$

Рис. 33

Решение 1. №179 (с. 69)
Алгебра, 10-11 класс Учебник, авторы: Алимов Шавкат Арифджанович, Колягин Юрий Михайлович, Ткачева Мария Владимировна, Федорова Надежда Евгеньевна, Шабунин Михаил Иванович, издательство Просвещение, Москва, 2014, страница 69, номер 179, Решение 1
Алгебра, 10-11 класс Учебник, авторы: Алимов Шавкат Арифджанович, Колягин Юрий Михайлович, Ткачева Мария Владимировна, Федорова Надежда Евгеньевна, Шабунин Михаил Иванович, издательство Просвещение, Москва, 2014, страница 69, номер 179, Решение 1 (продолжение 2)
Алгебра, 10-11 класс Учебник, авторы: Алимов Шавкат Арифджанович, Колягин Юрий Михайлович, Ткачева Мария Владимировна, Федорова Надежда Евгеньевна, Шабунин Михаил Иванович, издательство Просвещение, Москва, 2014, страница 69, номер 179, Решение 1 (продолжение 3)
Алгебра, 10-11 класс Учебник, авторы: Алимов Шавкат Арифджанович, Колягин Юрий Михайлович, Ткачева Мария Владимировна, Федорова Надежда Евгеньевна, Шабунин Михаил Иванович, издательство Просвещение, Москва, 2014, страница 69, номер 179, Решение 1 (продолжение 4)
Решение 2. №179 (с. 69)
Алгебра, 10-11 класс Учебник, авторы: Алимов Шавкат Арифджанович, Колягин Юрий Михайлович, Ткачева Мария Владимировна, Федорова Надежда Евгеньевна, Шабунин Михаил Иванович, издательство Просвещение, Москва, 2014, страница 69, номер 179, Решение 2
Решение 4. №179 (с. 69)
Алгебра, 10-11 класс Учебник, авторы: Алимов Шавкат Арифджанович, Колягин Юрий Михайлович, Ткачева Мария Владимировна, Федорова Надежда Евгеньевна, Шабунин Михаил Иванович, издательство Просвещение, Москва, 2014, страница 69, номер 179, Решение 4
Алгебра, 10-11 класс Учебник, авторы: Алимов Шавкат Арифджанович, Колягин Юрий Михайлович, Ткачева Мария Владимировна, Федорова Надежда Евгеньевна, Шабунин Михаил Иванович, издательство Просвещение, Москва, 2014, страница 69, номер 179, Решение 4 (продолжение 2)
Решение 5. №179 (с. 69)
Алгебра, 10-11 класс Учебник, авторы: Алимов Шавкат Арифджанович, Колягин Юрий Михайлович, Ткачева Мария Владимировна, Федорова Надежда Евгеньевна, Шабунин Михаил Иванович, издательство Просвещение, Москва, 2014, страница 69, номер 179, Решение 5
Решение 6. №179 (с. 69)
Алгебра, 10-11 класс Учебник, авторы: Алимов Шавкат Арифджанович, Колягин Юрий Михайлович, Ткачева Мария Владимировна, Федорова Надежда Евгеньевна, Шабунин Михаил Иванович, издательство Просвещение, Москва, 2014, страница 69, номер 179, Решение 6
Решение 7. №179 (с. 69)
Алгебра, 10-11 класс Учебник, авторы: Алимов Шавкат Арифджанович, Колягин Юрий Михайлович, Ткачева Мария Владимировна, Федорова Надежда Евгеньевна, Шабунин Михаил Иванович, издательство Просвещение, Москва, 2014, страница 69, номер 179, Решение 7
Решение 8. №179 (с. 69)

1) Для функции $y = \sqrt[3]{1-x}$ область определения находится из следующих соображений. Функция является кубическим корнем. Корень нечетной степени определен для любого действительного числа подкоренного выражения. Это означает, что выражение $1-x$ может быть положительным, отрицательным или равным нулю. Никаких ограничений на переменную $x$ не накладывается. Следовательно, область определения функции — это множество всех действительных чисел.
Ответ: $D(y) = (-\infty; +\infty)$.

2) Для функции $y = \sqrt[6]{2-x^2}$ область определения определяется условием, что подкоренное выражение для корня четной степени должно быть неотрицательным. Таким образом, мы должны решить неравенство:
$2 - x^2 \ge 0$
$x^2 \le 2$
Это неравенство эквивалентно системе: $\begin{cases} x \le \sqrt{2} \\ x \ge -\sqrt{2} \end{cases}$
Следовательно, решением является замкнутый промежуток.
Ответ: $D(y) = [-\sqrt{2}; \sqrt{2}]$.

3) Функцию $y = (3x^2 + 1)^{-2}$ можно переписать в виде дроби: $y = \frac{1}{(3x^2 + 1)^2}$. Область определения такой функции — это все значения $x$, при которых знаменатель не равен нулю. Найдем значения $x$, при которых знаменатель обращается в ноль:
$(3x^2 + 1)^2 = 0$
$3x^2 + 1 = 0$
$3x^2 = -1$
$x^2 = -\frac{1}{3}$
Данное уравнение не имеет действительных корней, так как квадрат действительного числа не может быть отрицательным. Значит, знаменатель никогда не равен нулю. Следовательно, функция определена для любых действительных значений $x$.
Ответ: $D(y) = (-\infty; +\infty)$.

4) Для функции $y = \sqrt{x^2 - x - 2}$ подкоренное выражение должно быть неотрицательным, так как корень квадратный (четной степени). Решим квадратичное неравенство:
$x^2 - x - 2 \ge 0$
Сначала найдем корни соответствующего уравнения $x^2 - x - 2 = 0$. По теореме Виета, сумма корней равна 1, а их произведение равно -2. Следовательно, корни уравнения: $x_1 = 2$ и $x_2 = -1$.
Так как коэффициент при $x^2$ положителен, ветви параболы $y = x^2 - x - 2$ направлены вверх. Это означает, что парабола принимает неотрицательные значения при $x$, находящихся вне интервала между корнями.
Таким образом, решением неравенства является объединение двух лучей.
Ответ: $D(y) = (-\infty; -1] \cup [2; +\infty)$.

Помогло решение? Оставьте отзыв в комментариях ниже.

Присоединяйтесь к Телеграм-группе @top_gdz

Присоединиться

Мы подготовили для вас ответ c подробным объяснением домашего задания по алгебре за 10-11 класс, для упражнения номер 179 расположенного на странице 69 к учебнику 2014 года издания для учащихся школ и гимназий.

Теперь на нашем сайте ГДЗ.ТОП вы всегда легко и бесплатно найдёте условие с правильным ответом на вопрос «Как решить ДЗ» и «Как сделать» задание по алгебре к упражнению №179 (с. 69), авторов: Алимов (Шавкат Арифджанович), Колягин (Юрий Михайлович), Ткачева (Мария Владимировна), Федорова (Надежда Евгеньевна), Шабунин (Михаил Иванович), ФГОС (старый) базовый и углублённый уровень обучения учебного пособия издательства Просвещение.