Номер 180, страница 70 - гдз по алгебре 10-11 класс учебник Алимов, Колягин

Алгебра, 10-11 класс Учебник, авторы: Алимов Шавкат Арифджанович, Колягин Юрий Михайлович, Ткачева Мария Владимировна, Федорова Надежда Евгеньевна, Шабунин Михаил Иванович, издательство Просвещение, Москва, 2014

Авторы: Алимов Ш. А., Колягин Ю. М., Ткачева М. В., Федорова Н. Е., Шабунин М. И.

Тип: Учебник

Издательство: Просвещение

Год издания: 2014 - 2025

Уровень обучения: базовый и углублённый

Цвет обложки: синий, фиолетовый

ISBN: 978-5-09-112136-0

Допущено Министерством просвещения Российской Федерации

Математика: алгебра и начала математического анализа, геометрия

Популярные ГДЗ в 10 классе

Глава 2. Степенная функция. Упражнения к главе 2 - номер 180, страница 70.

№180 (с. 70)
Условие. №180 (с. 70)
скриншот условия
Алгебра, 10-11 класс Учебник, авторы: Алимов Шавкат Арифджанович, Колягин Юрий Михайлович, Ткачева Мария Владимировна, Федорова Надежда Евгеньевна, Шабунин Михаил Иванович, издательство Просвещение, Москва, 2014, страница 70, номер 180, Условие

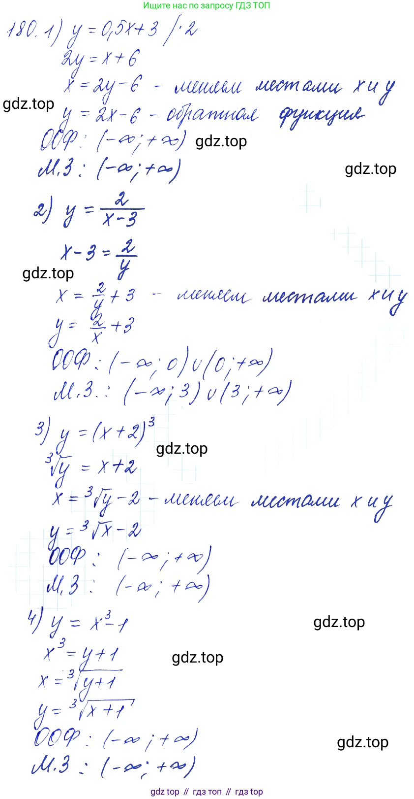
180 Найти функцию, обратную данной, её область определения и множество значений:

1) $y = 0,5x + 3;$

2) $y = \frac{2}{x-3};$

3) $y = (x + 2)^3;$

4) $y = x^3 - 1.$

Решение 1. №180 (с. 70)
Алгебра, 10-11 класс Учебник, авторы: Алимов Шавкат Арифджанович, Колягин Юрий Михайлович, Ткачева Мария Владимировна, Федорова Надежда Евгеньевна, Шабунин Михаил Иванович, издательство Просвещение, Москва, 2014, страница 70, номер 180, Решение 1
Алгебра, 10-11 класс Учебник, авторы: Алимов Шавкат Арифджанович, Колягин Юрий Михайлович, Ткачева Мария Владимировна, Федорова Надежда Евгеньевна, Шабунин Михаил Иванович, издательство Просвещение, Москва, 2014, страница 70, номер 180, Решение 1 (продолжение 2)
Алгебра, 10-11 класс Учебник, авторы: Алимов Шавкат Арифджанович, Колягин Юрий Михайлович, Ткачева Мария Владимировна, Федорова Надежда Евгеньевна, Шабунин Михаил Иванович, издательство Просвещение, Москва, 2014, страница 70, номер 180, Решение 1 (продолжение 3)
Алгебра, 10-11 класс Учебник, авторы: Алимов Шавкат Арифджанович, Колягин Юрий Михайлович, Ткачева Мария Владимировна, Федорова Надежда Евгеньевна, Шабунин Михаил Иванович, издательство Просвещение, Москва, 2014, страница 70, номер 180, Решение 1 (продолжение 4)
Решение 2. №180 (с. 70)
Алгебра, 10-11 класс Учебник, авторы: Алимов Шавкат Арифджанович, Колягин Юрий Михайлович, Ткачева Мария Владимировна, Федорова Надежда Евгеньевна, Шабунин Михаил Иванович, издательство Просвещение, Москва, 2014, страница 70, номер 180, Решение 2
Алгебра, 10-11 класс Учебник, авторы: Алимов Шавкат Арифджанович, Колягин Юрий Михайлович, Ткачева Мария Владимировна, Федорова Надежда Евгеньевна, Шабунин Михаил Иванович, издательство Просвещение, Москва, 2014, страница 70, номер 180, Решение 2 (продолжение 2)
Решение 4. №180 (с. 70)
Алгебра, 10-11 класс Учебник, авторы: Алимов Шавкат Арифджанович, Колягин Юрий Михайлович, Ткачева Мария Владимировна, Федорова Надежда Евгеньевна, Шабунин Михаил Иванович, издательство Просвещение, Москва, 2014, страница 70, номер 180, Решение 4
Решение 5. №180 (с. 70)
Алгебра, 10-11 класс Учебник, авторы: Алимов Шавкат Арифджанович, Колягин Юрий Михайлович, Ткачева Мария Владимировна, Федорова Надежда Евгеньевна, Шабунин Михаил Иванович, издательство Просвещение, Москва, 2014, страница 70, номер 180, Решение 5
Алгебра, 10-11 класс Учебник, авторы: Алимов Шавкат Арифджанович, Колягин Юрий Михайлович, Ткачева Мария Владимировна, Федорова Надежда Евгеньевна, Шабунин Михаил Иванович, издательство Просвещение, Москва, 2014, страница 70, номер 180, Решение 5 (продолжение 2)
Решение 6. №180 (с. 70)
Алгебра, 10-11 класс Учебник, авторы: Алимов Шавкат Арифджанович, Колягин Юрий Михайлович, Ткачева Мария Владимировна, Федорова Надежда Евгеньевна, Шабунин Михаил Иванович, издательство Просвещение, Москва, 2014, страница 70, номер 180, Решение 6
Решение 7. №180 (с. 70)
Алгебра, 10-11 класс Учебник, авторы: Алимов Шавкат Арифджанович, Колягин Юрий Михайлович, Ткачева Мария Владимировна, Федорова Надежда Евгеньевна, Шабунин Михаил Иванович, издательство Просвещение, Москва, 2014, страница 70, номер 180, Решение 7 Алгебра, 10-11 класс Учебник, авторы: Алимов Шавкат Арифджанович, Колягин Юрий Михайлович, Ткачева Мария Владимировна, Федорова Надежда Евгеньевна, Шабунин Михаил Иванович, издательство Просвещение, Москва, 2014, страница 70, номер 180, Решение 7 (продолжение 2)
Решение 8. №180 (с. 70)

1) Дана функция $y = 0,5x + 3$.

Чтобы найти функцию, обратную данной, необходимо выразить переменную $x$ через $y$ из исходного уравнения:

$y - 3 = 0,5x$

$x = \frac{y - 3}{0,5}$

$x = 2(y-3)$

$x = 2y - 6$

Теперь, для получения обратной функции в стандартной форме, меняем местами переменные $x$ и $y$:

$y = 2x - 6$

Это и есть искомая обратная функция.

Область определения обратной функции совпадает с множеством значений исходной функции. Исходная функция $y = 0,5x + 3$ является линейной, её множество значений — все действительные числа. Следовательно, область определения обратной функции: $D(y) = (-\infty; +\infty)$.

Множество значений обратной функции совпадает с областью определения исходной функции. Область определения линейной функции $y = 0,5x + 3$ — также все действительные числа. Следовательно, множество значений обратной функции: $E(y) = (-\infty; +\infty)$.

Ответ: обратная функция $y = 2x - 6$; область определения $D(y) = (-\infty; +\infty)$; множество значений $E(y) = (-\infty; +\infty)$.

2) Дана функция $y = \frac{2}{x-3}$.

Чтобы найти обратную функцию, выразим $x$ через $y$:

$y(x-3) = 2$

$yx - 3y = 2$

$yx = 2 + 3y$

$x = \frac{2 + 3y}{y}$

Меняем местами переменные $x$ и $y$:

$y = \frac{2 + 3x}{x}$

Эту функцию можно также записать в виде $y = \frac{2}{x} + 3$.

Область определения обратной функции совпадает с множеством значений исходной. Для исходной функции $y = \frac{2}{x-3}$ значение $y$ не может быть равно нулю, так как числитель дроби — константа, не равная нулю. Таким образом, множество значений исходной функции — $E(f) = (-\infty; 0) \cup (0; +\infty)$. Это и есть область определения обратной функции: $D(y) = (-\infty; 0) \cup (0; +\infty)$.

Множество значений обратной функции совпадает с областью определения исходной. Для исходной функции $y = \frac{2}{x-3}$ знаменатель не может быть равен нулю, то есть $x-3 \neq 0$, откуда $x \neq 3$. Таким образом, область определения исходной функции — $D(f) = (-\infty; 3) \cup (3; +\infty)$. Это и есть множество значений обратной функции: $E(y) = (-\infty; 3) \cup (3; +\infty)$.

Ответ: обратная функция $y = \frac{2}{x} + 3$; область определения $D(y) = (-\infty; 0) \cup (0; +\infty)$; множество значений $E(y) = (-\infty; 3) \cup (3; +\infty)$.

3) Дана функция $y = (x+2)^3$.

Для нахождения обратной функции выразим $x$ через $y$. Для этого извлечем кубический корень из обеих частей уравнения:

$\sqrt[3]{y} = x+2$

$x = \sqrt[3]{y} - 2$

Теперь меняем местами $x$ и $y$:

$y = \sqrt[3]{x} - 2$

Это обратная функция.

Исходная функция $y = (x+2)^3$ является кубической. Её область определения и множество значений — все действительные числа. $D(f) = (-\infty; +\infty)$ и $E(f) = (-\infty; +\infty)$.

Область определения обратной функции равна множеству значений исходной, то есть $D(y) = (-\infty; +\infty)$.

Множество значений обратной функции равно области определения исходной, то есть $E(y) = (-\infty; +\infty)$.

Ответ: обратная функция $y = \sqrt[3]{x} - 2$; область определения $D(y) = (-\infty; +\infty)$; множество значений $E(y) = (-\infty; +\infty)$.

4) Дана функция $y = x^3 - 1$.

Чтобы найти обратную функцию, выразим $x$ через $y$:

$x^3 = y + 1$

$x = \sqrt[3]{y+1}$

Меняем местами переменные $x$ и $y$:

$y = \sqrt[3]{x+1}$

Это обратная функция.

Исходная функция $y = x^3 - 1$ — это кубическая функция, область определения и множество значений которой — все действительные числа. $D(f) = (-\infty; +\infty)$ и $E(f) = (-\infty; +\infty)$.

Соответственно, область определения обратной функции $D(y) = E(f) = (-\infty; +\infty)$.

Множество значений обратной функции $E(y) = D(f) = (-\infty; +\infty)$.

Ответ: обратная функция $y = \sqrt[3]{x+1}$; область определения $D(y) = (-\infty; +\infty)$; множество значений $E(y) = (-\infty; +\infty)$.

Помогло решение? Оставьте отзыв в комментариях ниже.

Присоединяйтесь к Телеграм-группе @top_gdz

Присоединиться

Мы подготовили для вас ответ c подробным объяснением домашего задания по алгебре за 10-11 класс, для упражнения номер 180 расположенного на странице 70 к учебнику 2014 года издания для учащихся школ и гимназий.

Теперь на нашем сайте ГДЗ.ТОП вы всегда легко и бесплатно найдёте условие с правильным ответом на вопрос «Как решить ДЗ» и «Как сделать» задание по алгебре к упражнению №180 (с. 70), авторов: Алимов (Шавкат Арифджанович), Колягин (Юрий Михайлович), Ткачева (Мария Владимировна), Федорова (Надежда Евгеньевна), Шабунин (Михаил Иванович), ФГОС (старый) базовый и углублённый уровень обучения учебного пособия издательства Просвещение.