Номер 164, страница 63 - гдз по алгебре 10-11 класс учебник Алимов, Колягин

Алгебра, 10-11 класс Учебник, авторы: Алимов Шавкат Арифджанович, Колягин Юрий Михайлович, Ткачева Мария Владимировна, Федорова Надежда Евгеньевна, Шабунин Михаил Иванович, издательство Просвещение, Москва, 2014

Авторы: Алимов Ш. А., Колягин Ю. М., Ткачева М. В., Федорова Н. Е., Шабунин М. И.

Тип: Учебник

Издательство: Просвещение

Год издания: 2014 - 2026

Уровень обучения: базовый и углублённый

Цвет обложки: синий, фиолетовый

ISBN: 978-5-09-112136-0

Допущено Министерством просвещения Российской Федерации

Математика: алгебра и начала математического анализа, геометрия

Глава 2. Степенная функция. Параграф 9. Иррациональные уравнения - номер 164, страница 63.

№164 (с. 63)
Условие. №164 (с. 63)
скриншот условия
Алгебра, 10-11 класс Учебник, авторы: Алимов Шавкат Арифджанович, Колягин Юрий Михайлович, Ткачева Мария Владимировна, Федорова Надежда Евгеньевна, Шабунин Михаил Иванович, издательство Просвещение, Москва, 2014, страница 63, номер 164, Условие

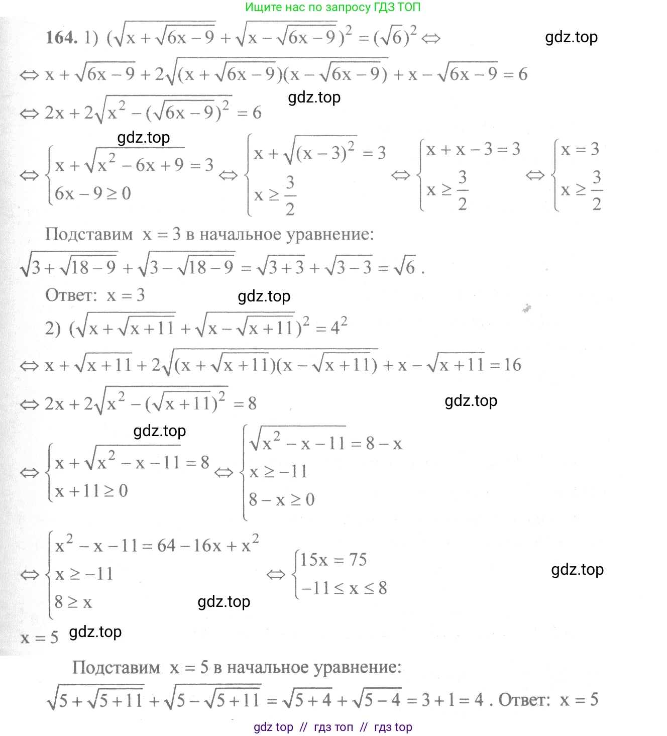
164 Решить уравнение:

1) $\sqrt{x+\sqrt{6x-9}}+\sqrt{x-\sqrt{6x-9}}=\sqrt{6};$

2) $\sqrt{x+\sqrt{x+11}}+\sqrt{x-\sqrt{x+11}}=4.$

Решение 1. №164 (с. 63)
Алгебра, 10-11 класс Учебник, авторы: Алимов Шавкат Арифджанович, Колягин Юрий Михайлович, Ткачева Мария Владимировна, Федорова Надежда Евгеньевна, Шабунин Михаил Иванович, издательство Просвещение, Москва, 2014, страница 63, номер 164, Решение 1
Алгебра, 10-11 класс Учебник, авторы: Алимов Шавкат Арифджанович, Колягин Юрий Михайлович, Ткачева Мария Владимировна, Федорова Надежда Евгеньевна, Шабунин Михаил Иванович, издательство Просвещение, Москва, 2014, страница 63, номер 164, Решение 1 (продолжение 2)
Решение 2. №164 (с. 63)
Алгебра, 10-11 класс Учебник, авторы: Алимов Шавкат Арифджанович, Колягин Юрий Михайлович, Ткачева Мария Владимировна, Федорова Надежда Евгеньевна, Шабунин Михаил Иванович, издательство Просвещение, Москва, 2014, страница 63, номер 164, Решение 2
Решение 3. №164 (с. 63)
Алгебра, 10-11 класс Учебник, авторы: Алимов Шавкат Арифджанович, Колягин Юрий Михайлович, Ткачева Мария Владимировна, Федорова Надежда Евгеньевна, Шабунин Михаил Иванович, издательство Просвещение, Москва, 2014, страница 63, номер 164, Решение 3
Решение 4. №164 (с. 63)
Алгебра, 10-11 класс Учебник, авторы: Алимов Шавкат Арифджанович, Колягин Юрий Михайлович, Ткачева Мария Владимировна, Федорова Надежда Евгеньевна, Шабунин Михаил Иванович, издательство Просвещение, Москва, 2014, страница 63, номер 164, Решение 4
Алгебра, 10-11 класс Учебник, авторы: Алимов Шавкат Арифджанович, Колягин Юрий Михайлович, Ткачева Мария Владимировна, Федорова Надежда Евгеньевна, Шабунин Михаил Иванович, издательство Просвещение, Москва, 2014, страница 63, номер 164, Решение 4 (продолжение 2)
Решение 5. №164 (с. 63)
Алгебра, 10-11 класс Учебник, авторы: Алимов Шавкат Арифджанович, Колягин Юрий Михайлович, Ткачева Мария Владимировна, Федорова Надежда Евгеньевна, Шабунин Михаил Иванович, издательство Просвещение, Москва, 2014, страница 63, номер 164, Решение 5
Решение 6. №164 (с. 63)
Алгебра, 10-11 класс Учебник, авторы: Алимов Шавкат Арифджанович, Колягин Юрий Михайлович, Ткачева Мария Владимировна, Федорова Надежда Евгеньевна, Шабунин Михаил Иванович, издательство Просвещение, Москва, 2014, страница 63, номер 164, Решение 6
Решение 7. №164 (с. 63)
Алгебра, 10-11 класс Учебник, авторы: Алимов Шавкат Арифджанович, Колягин Юрий Михайлович, Ткачева Мария Владимировна, Федорова Надежда Евгеньевна, Шабунин Михаил Иванович, издательство Просвещение, Москва, 2014, страница 63, номер 164, Решение 7 Алгебра, 10-11 класс Учебник, авторы: Алимов Шавкат Арифджанович, Колягин Юрий Михайлович, Ткачева Мария Владимировна, Федорова Надежда Евгеньевна, Шабунин Михаил Иванович, издательство Просвещение, Москва, 2014, страница 63, номер 164, Решение 7 (продолжение 2)
Решение 8. №164 (с. 63)

1) Дано уравнение $\sqrt{x+\sqrt{6x-9}} + \sqrt{x-\sqrt{6x-9}} = \sqrt{6}$.
Сначала определим область допустимых значений (ОДЗ) для $x$.
1. Выражение под внутренним корнем должно быть неотрицательным: $6x-9 \ge 0$, что дает $6x \ge 9$, или $x \ge \frac{3}{2}$.
2. Выражение под внешним левым корнем должно быть неотрицательным: $x+\sqrt{6x-9} \ge 0$. При $x \ge \frac{3}{2}$ это условие выполняется, так как оба слагаемых неотрицательны.
3. Выражение под внешним правым корнем должно быть неотрицательным: $x-\sqrt{6x-9} \ge 0$. Это эквивалентно $x \ge \sqrt{6x-9}$. Так как при $x \ge \frac{3}{2}$ обе части неравенства неотрицательны, мы можем возвести их в квадрат: $x^2 \ge 6x-9$, что преобразуется в $x^2 - 6x + 9 \ge 0$, или $(x-3)^2 \ge 0$. Это неравенство верно для любого действительного $x$.
Итак, ОДЗ уравнения: $x \ge \frac{3}{2}$.
Теперь решим уравнение. Возведем обе части уравнения в квадрат (это допустимо, так как обе части неотрицательны):
$(\sqrt{x+\sqrt{6x-9}} + \sqrt{x-\sqrt{6x-9}})^2 = (\sqrt{6})^2$
$(x+\sqrt{6x-9}) + (x-\sqrt{6x-9}) + 2\sqrt{(x+\sqrt{6x-9})(x-\sqrt{6x-9})} = 6$
$2x + 2\sqrt{x^2 - (\sqrt{6x-9})^2} = 6$
$2x + 2\sqrt{x^2 - 6x + 9} = 6$
Разделим обе части на 2:
$x + \sqrt{(x-3)^2} = 3$
$x + |x-3| = 3$
Рассмотрим два случая для раскрытия модуля:
a) Если $x-3 \ge 0$, то есть $x \ge 3$. Уравнение принимает вид: $x + (x-3) = 3 \implies 2x - 3 = 3 \implies 2x = 6 \implies x=3$. Это значение удовлетворяет условию $x \ge 3$.
b) Если $x-3 < 0$, то есть $x < 3$. Уравнение принимает вид: $x - (x-3) = 3 \implies x - x + 3 = 3 \implies 3=3$. Это верное тождество, следовательно, решением являются все $x$, удовлетворяющие условию $x < 3$.
Теперь объединим полученные результаты с ОДЗ ($x \ge \frac{3}{2}$).
Из случая (a) имеем корень $x=3$.
Из случая (b) имеем решения $x < 3$. С учетом ОДЗ, получаем интервал $\frac{3}{2} \le x < 3$.
Общее решение является объединением результатов из (a) и (b): $x=3$ и $\frac{3}{2} \le x < 3$. Это дает нам отрезок $\frac{3}{2} \le x \le 3$.
Ответ: $x \in [\frac{3}{2}; 3]$.

2) Дано уравнение $\sqrt{x+\sqrt{x+11}} + \sqrt{x-\sqrt{x+11}} = 4$.
Найдем ОДЗ.
1. $x+11 \ge 0 \implies x \ge -11$.
2. $x-\sqrt{x+11} \ge 0 \implies x \ge \sqrt{x+11}$. Из этого следует, что $x$ должен быть неотрицательным, $x \ge 0$. Возведя в квадрат, получим $x^2 \ge x+11 \implies x^2-x-11 \ge 0$.
Найдем корни квадратного уравнения $x^2-x-11=0$ по формуле: $x = \frac{-(-1) \pm \sqrt{(-1)^2 - 4(1)(-11)}}{2(1)} = \frac{1 \pm \sqrt{1+44}}{2} = \frac{1 \pm \sqrt{45}}{2} = \frac{1 \pm 3\sqrt{5}}{2}$.
Парабола $y=x^2-x-11$ ветвями вверх, поэтому неравенство $x^2-x-11 \ge 0$ выполняется при $x \ge \frac{1+3\sqrt{5}}{2}$ или $x \le \frac{1-3\sqrt{5}}{2}$. Учитывая, что $x \ge 0$, подходит только $x \ge \frac{1+3\sqrt{5}}{2}$.
Итак, ОДЗ: $x \ge \frac{1+3\sqrt{5}}{2}$.
Возведем обе части исходного уравнения в квадрат:
$(\sqrt{x+\sqrt{x+11}} + \sqrt{x-\sqrt{x+11}})^2 = 4^2$
$(x+\sqrt{x+11}) + (x-\sqrt{x+11}) + 2\sqrt{(x+\sqrt{x+11})(x-\sqrt{x+11})} = 16$
$2x + 2\sqrt{x^2 - (x+11)} = 16$
$2x + 2\sqrt{x^2-x-11} = 16$
Разделим обе части на 2:
$x + \sqrt{x^2-x-11} = 8$
Уединим радикал:
$\sqrt{x^2-x-11} = 8-x$
Чтобы уравнение имело решение, правая часть должна быть неотрицательной: $8-x \ge 0$, то есть $x \le 8$.
Теперь возведем обе части в квадрат:
$x^2-x-11 = (8-x)^2$
$x^2-x-11 = 64 - 16x + x^2$
$-x-11 = 64-16x$
$15x = 75$
$x=5$
Проверим, удовлетворяет ли найденный корень $x=5$ всем наложенным условиям:
1. Проверка на принадлежность ОДЗ: $x \ge \frac{1+3\sqrt{5}}{2}$. Нужно проверить, верно ли $5 \ge \frac{1+3\sqrt{5}}{2}$. Умножим на 2: $10 \ge 1+3\sqrt{5} \implies 9 \ge 3\sqrt{5} \implies 3 \ge \sqrt{5}$. Возведем в квадрат: $9 \ge 5$. Неравенство верное, значит, $x=5$ входит в ОДЗ.
2. Проверка условия $x \le 8$: $5 \le 8$. Неравенство верное.
Так как все условия выполнены, $x=5$ является решением уравнения.
Ответ: $5$.

Помогло решение? Оставьте отзыв в комментариях ниже.

Присоединяйтесь к Телеграм-группе @top_gdz

Присоединиться

Мы подготовили для вас ответ c подробным объяснением домашего задания по алгебре за 10-11 класс, для упражнения номер 164 расположенного на странице 63 к учебнику 2014 года издания для учащихся школ и гимназий.

Теперь на нашем сайте ГДЗ.ТОП вы всегда легко и бесплатно найдёте условие с правильным ответом на вопрос «Как решить ДЗ» и «Как сделать» задание по алгебре к упражнению №164 (с. 63), авторов: Алимов (Шавкат Арифджанович), Колягин (Юрий Михайлович), Ткачева (Мария Владимировна), Федорова (Надежда Евгеньевна), Шабунин (Михаил Иванович), ФГОС (старый) базовый и углублённый уровень обучения учебного пособия издательства Просвещение.