Номер 155, страница 62 - гдз по алгебре 10-11 класс учебник Алимов, Колягин

Алгебра, 10-11 класс Учебник, авторы: Алимов Шавкат Арифджанович, Колягин Юрий Михайлович, Ткачева Мария Владимировна, Федорова Надежда Евгеньевна, Шабунин Михаил Иванович, издательство Просвещение, Москва, 2014

Авторы: Алимов Ш. А., Колягин Ю. М., Ткачева М. В., Федорова Н. Е., Шабунин М. И.

Тип: Учебник

Издательство: Просвещение

Год издания: 2014 - 2025

Уровень обучения: базовый и углублённый

Цвет обложки: синий, фиолетовый

ISBN: 978-5-09-112136-0

Допущено Министерством просвещения Российской Федерации

Математика: алгебра и начала математического анализа, геометрия

Популярные ГДЗ в 10 классе

Глава 2. Степенная функция. Параграф 9. Иррациональные уравнения - номер 155, страница 62.

№155 (с. 62)
Условие. №155 (с. 62)
скриншот условия
Алгебра, 10-11 класс Учебник, авторы: Алимов Шавкат Арифджанович, Колягин Юрий Михайлович, Ткачева Мария Владимировна, Федорова Надежда Евгеньевна, Шабунин Михаил Иванович, издательство Просвещение, Москва, 2014, страница 62, номер 155, Условие

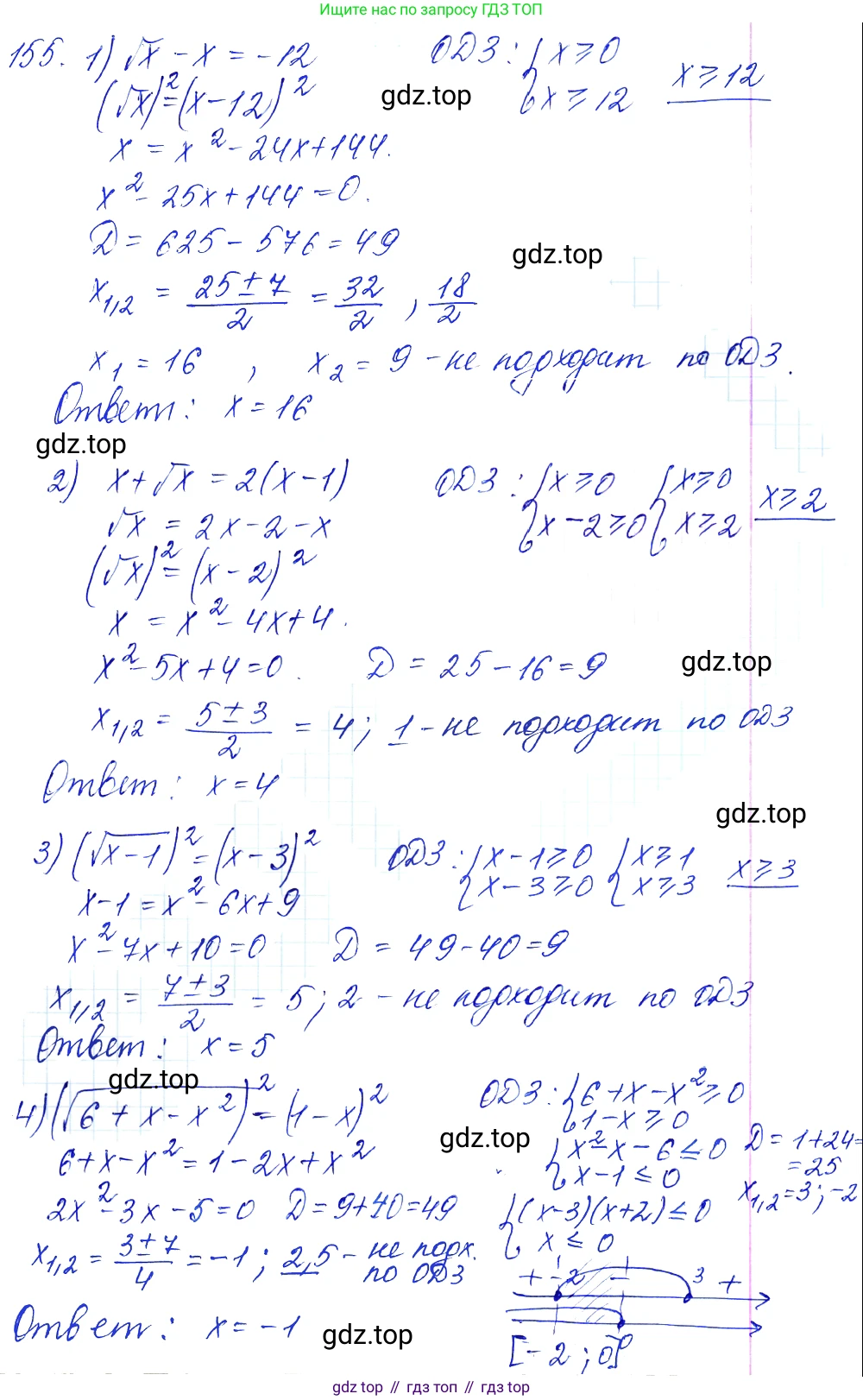
155 1) $\sqrt{x} - x = -12;$

2) $x + \sqrt{x} = 2(x - 1);$

3) $\sqrt{x - 1} = x - 3;$

4) $\sqrt{6 + x - x^2} = 1 - x.$

Решение 1. №155 (с. 62)
Алгебра, 10-11 класс Учебник, авторы: Алимов Шавкат Арифджанович, Колягин Юрий Михайлович, Ткачева Мария Владимировна, Федорова Надежда Евгеньевна, Шабунин Михаил Иванович, издательство Просвещение, Москва, 2014, страница 62, номер 155, Решение 1
Алгебра, 10-11 класс Учебник, авторы: Алимов Шавкат Арифджанович, Колягин Юрий Михайлович, Ткачева Мария Владимировна, Федорова Надежда Евгеньевна, Шабунин Михаил Иванович, издательство Просвещение, Москва, 2014, страница 62, номер 155, Решение 1 (продолжение 2)
Алгебра, 10-11 класс Учебник, авторы: Алимов Шавкат Арифджанович, Колягин Юрий Михайлович, Ткачева Мария Владимировна, Федорова Надежда Евгеньевна, Шабунин Михаил Иванович, издательство Просвещение, Москва, 2014, страница 62, номер 155, Решение 1 (продолжение 3)
Алгебра, 10-11 класс Учебник, авторы: Алимов Шавкат Арифджанович, Колягин Юрий Михайлович, Ткачева Мария Владимировна, Федорова Надежда Евгеньевна, Шабунин Михаил Иванович, издательство Просвещение, Москва, 2014, страница 62, номер 155, Решение 1 (продолжение 4)
Решение 2. №155 (с. 62)
Алгебра, 10-11 класс Учебник, авторы: Алимов Шавкат Арифджанович, Колягин Юрий Михайлович, Ткачева Мария Владимировна, Федорова Надежда Евгеньевна, Шабунин Михаил Иванович, издательство Просвещение, Москва, 2014, страница 62, номер 155, Решение 2
Алгебра, 10-11 класс Учебник, авторы: Алимов Шавкат Арифджанович, Колягин Юрий Михайлович, Ткачева Мария Владимировна, Федорова Надежда Евгеньевна, Шабунин Михаил Иванович, издательство Просвещение, Москва, 2014, страница 62, номер 155, Решение 2 (продолжение 2)
Решение 4. №155 (с. 62)
Алгебра, 10-11 класс Учебник, авторы: Алимов Шавкат Арифджанович, Колягин Юрий Михайлович, Ткачева Мария Владимировна, Федорова Надежда Евгеньевна, Шабунин Михаил Иванович, издательство Просвещение, Москва, 2014, страница 62, номер 155, Решение 4
Алгебра, 10-11 класс Учебник, авторы: Алимов Шавкат Арифджанович, Колягин Юрий Михайлович, Ткачева Мария Владимировна, Федорова Надежда Евгеньевна, Шабунин Михаил Иванович, издательство Просвещение, Москва, 2014, страница 62, номер 155, Решение 4 (продолжение 2)
Решение 5. №155 (с. 62)
Алгебра, 10-11 класс Учебник, авторы: Алимов Шавкат Арифджанович, Колягин Юрий Михайлович, Ткачева Мария Владимировна, Федорова Надежда Евгеньевна, Шабунин Михаил Иванович, издательство Просвещение, Москва, 2014, страница 62, номер 155, Решение 5
Решение 6. №155 (с. 62)
Алгебра, 10-11 класс Учебник, авторы: Алимов Шавкат Арифджанович, Колягин Юрий Михайлович, Ткачева Мария Владимировна, Федорова Надежда Евгеньевна, Шабунин Михаил Иванович, издательство Просвещение, Москва, 2014, страница 62, номер 155, Решение 6
Решение 7. №155 (с. 62)
Алгебра, 10-11 класс Учебник, авторы: Алимов Шавкат Арифджанович, Колягин Юрий Михайлович, Ткачева Мария Владимировна, Федорова Надежда Евгеньевна, Шабунин Михаил Иванович, издательство Просвещение, Москва, 2014, страница 62, номер 155, Решение 7 Алгебра, 10-11 класс Учебник, авторы: Алимов Шавкат Арифджанович, Колягин Юрий Михайлович, Ткачева Мария Владимировна, Федорова Надежда Евгеньевна, Шабунин Михаил Иванович, издательство Просвещение, Москва, 2014, страница 62, номер 155, Решение 7 (продолжение 2)
Решение 8. №155 (с. 62)

1) Дано иррациональное уравнение $\sqrt{x} - x = -12$.
Область допустимых значений (ОДЗ) определяется условием неотрицательности подкоренного выражения: $x \ge 0$.
Для решения введем замену. Пусть $t = \sqrt{x}$. Так как квадратный корень не может быть отрицательным, то $t \ge 0$. Тогда $x = t^2$.
Подставим замену в исходное уравнение:
$t - t^2 = -12$
Перенесем все члены в одну сторону, чтобы получить стандартное квадратное уравнение:
$t^2 - t - 12 = 0$
Решим это уравнение с помощью теоремы Виета. Ищем два числа, произведение которых равно $-12$, а сумма равна $1$. Это числа $4$ и $-3$.
Получаем два корня: $t_1 = 4$ и $t_2 = -3$.
Теперь вернемся к условию замены $t \ge 0$.
Корень $t_1 = 4$ удовлетворяет этому условию.
Корень $t_2 = -3$ не удовлетворяет условию ($-3 < 0$), поэтому он является посторонним.
Выполним обратную замену для $t = 4$:
$\sqrt{x} = 4$
Возведем обе части в квадрат:
$x = 16$
Проверим, удовлетворяет ли найденный корень ОДЗ ($x \ge 0$). $16 \ge 0$, это верно.
Выполним проверку подстановкой в исходное уравнение:
$\sqrt{16} - 16 = 4 - 16 = -12$
$-12 = -12$. Равенство верное.
Ответ: $16$.

2) Дано иррациональное уравнение $x + \sqrt{x} = 2(x-1)$.
ОДЗ: $x \ge 0$.
Раскроем скобки в правой части уравнения:
$x + \sqrt{x} = 2x - 2$
Перенесем все члены в одну сторону:
$x - \sqrt{x} - 2 = 0$
Введем замену. Пусть $t = \sqrt{x}$, где $t \ge 0$. Тогда $x = t^2$.
Уравнение принимает вид:
$t^2 - t - 2 = 0$
Решим квадратное уравнение. По теореме Виета, произведение корней равно $-2$, а сумма равна $1$. Это числа $2$ и $-1$.
$t_1 = 2$ и $t_2 = -1$.
Проверим корни по условию $t \ge 0$.
$t_1 = 2$ подходит.
$t_2 = -1$ не подходит, так как $-1 < 0$.
Выполним обратную замену для $t=2$:
$\sqrt{x} = 2$
$x = 4$
Проверим, удовлетворяет ли корень ОДЗ ($x \ge 0$). $4 \ge 0$, верно.
Проверка подстановкой в исходное уравнение:
$4 + \sqrt{4} = 2(4-1)$
$4 + 2 = 2(3)$
$6 = 6$. Равенство верное.
Ответ: $4$.

3) Дано иррациональное уравнение $\sqrt{x-1} = x-3$.
Найдем ОДЗ. Во-первых, подкоренное выражение должно быть неотрицательным: $x-1 \ge 0$, что дает $x \ge 1$.
Во-вторых, значение арифметического квадратного корня не может быть отрицательным, поэтому правая часть уравнения также должна быть неотрицательной: $x-3 \ge 0$, что дает $x \ge 3$.
Объединяя оба условия ($x \ge 1$ и $x \ge 3$), получаем итоговую ОДЗ: $x \ge 3$.
Возведем обе части уравнения в квадрат, чтобы избавиться от корня:
$(\sqrt{x-1})^2 = (x-3)^2$
$x-1 = x^2 - 6x + 9$
Перенесем все члены в одну сторону:
$x^2 - 6x - x + 9 + 1 = 0$
$x^2 - 7x + 10 = 0$
По теореме Виета, произведение корней равно $10$, а сумма равна $7$. Это числа $5$ и $2$.
$x_1 = 5$ и $x_2 = 2$.
Проверим найденные корни на соответствие ОДЗ ($x \ge 3$).
$x_1 = 5$ удовлетворяет условию ($5 \ge 3$).
$x_2 = 2$ не удовлетворяет условию ($2 < 3$), поэтому это посторонний корень.
Проверим корень $x=5$ подстановкой в исходное уравнение:
$\sqrt{5-1} = 5-3$
$\sqrt{4} = 2$
$2=2$. Равенство верное.
Ответ: $5$.

4) Дано иррациональное уравнение $\sqrt{6+x-x^2} = 1-x$.
Найдем ОДЗ. Подкоренное выражение должно быть неотрицательным: $6+x-x^2 \ge 0$.
Умножим на $-1$ и сменим знак неравенства: $x^2-x-6 \le 0$.
Найдем корни уравнения $x^2-x-6=0$. По теореме Виета, это $x_1=3$ и $x_2=-2$.
Так как ветви параболы $y=x^2-x-6$ направлены вверх, неравенство $y \le 0$ выполняется между корнями: $-2 \le x \le 3$.
Также правая часть уравнения должна быть неотрицательной: $1-x \ge 0$, что дает $x \le 1$.
Итоговая ОДЗ является пересечением условий $-2 \le x \le 3$ и $x \le 1$, что дает $-2 \le x \le 1$.
Возведем обе части уравнения в квадрат:
$(\sqrt{6+x-x^2})^2 = (1-x)^2$
$6+x-x^2 = 1 - 2x + x^2$
Перенесем все в одну сторону:
$2x^2 - 3x - 5 = 0$
Решим это квадратное уравнение через дискриминант: $D = b^2 - 4ac = (-3)^2 - 4(2)(-5) = 9+40=49=7^2$.
$x = \frac{-b \pm \sqrt{D}}{2a} = \frac{3 \pm 7}{4}$
$x_1 = \frac{3+7}{4} = \frac{10}{4} = 2.5$
$x_2 = \frac{3-7}{4} = \frac{-4}{4} = -1$
Проверим корни на соответствие ОДЗ ($-2 \le x \le 1$).
$x_1 = 2.5$ не принадлежит этому промежутку, это посторонний корень.
$x_2 = -1$ принадлежит этому промежутку ($-2 \le -1 \le 1$).
Проверим корень $x=-1$ подстановкой в исходное уравнение:
$\sqrt{6+(-1)-(-1)^2} = 1-(-1)$
$\sqrt{6-1-1} = 1+1$
$\sqrt{4} = 2$
$2=2$. Равенство верное.
Ответ: $-1$.

Помогло решение? Оставьте отзыв в комментариях ниже.

Присоединяйтесь к Телеграм-группе @top_gdz

Присоединиться

Мы подготовили для вас ответ c подробным объяснением домашего задания по алгебре за 10-11 класс, для упражнения номер 155 расположенного на странице 62 к учебнику 2014 года издания для учащихся школ и гимназий.

Теперь на нашем сайте ГДЗ.ТОП вы всегда легко и бесплатно найдёте условие с правильным ответом на вопрос «Как решить ДЗ» и «Как сделать» задание по алгебре к упражнению №155 (с. 62), авторов: Алимов (Шавкат Арифджанович), Колягин (Юрий Михайлович), Ткачева (Мария Владимировна), Федорова (Надежда Евгеньевна), Шабунин (Михаил Иванович), ФГОС (старый) базовый и углублённый уровень обучения учебного пособия издательства Просвещение.