Номер 1482, страница 420 - гдз по алгебре 10-11 класс учебник Алимов, Колягин

Алгебра, 10-11 класс Учебник, авторы: Алимов Шавкат Арифджанович, Колягин Юрий Михайлович, Ткачева Мария Владимировна, Федорова Надежда Евгеньевна, Шабунин Михаил Иванович, издательство Просвещение, Москва, 2014

Авторы: Алимов Ш. А., Колягин Ю. М., Ткачева М. В., Федорова Н. Е., Шабунин М. И.

Тип: Учебник

Издательство: Просвещение

Год издания: 2014 - 2025

Уровень обучения: базовый и углублённый

Цвет обложки: синий, фиолетовый

ISBN: 978-5-09-112136-0

Допущено Министерством просвещения Российской Федерации

Математика: алгебра и начала математического анализа, геометрия

Популярные ГДЗ в 10 классе

Упражнения для итогового повторения курса алгебры и начал математического анализа. 6. Функции и графики - номер 1482, страница 420.

№1482 (с. 420)
Условие. №1482 (с. 420)
скриншот условия
Алгебра, 10-11 класс Учебник, авторы: Алимов Шавкат Арифджанович, Колягин Юрий Михайлович, Ткачева Мария Владимировна, Федорова Надежда Евгеньевна, Шабунин Михаил Иванович, издательство Просвещение, Москва, 2014, страница 420, номер 1482, Условие

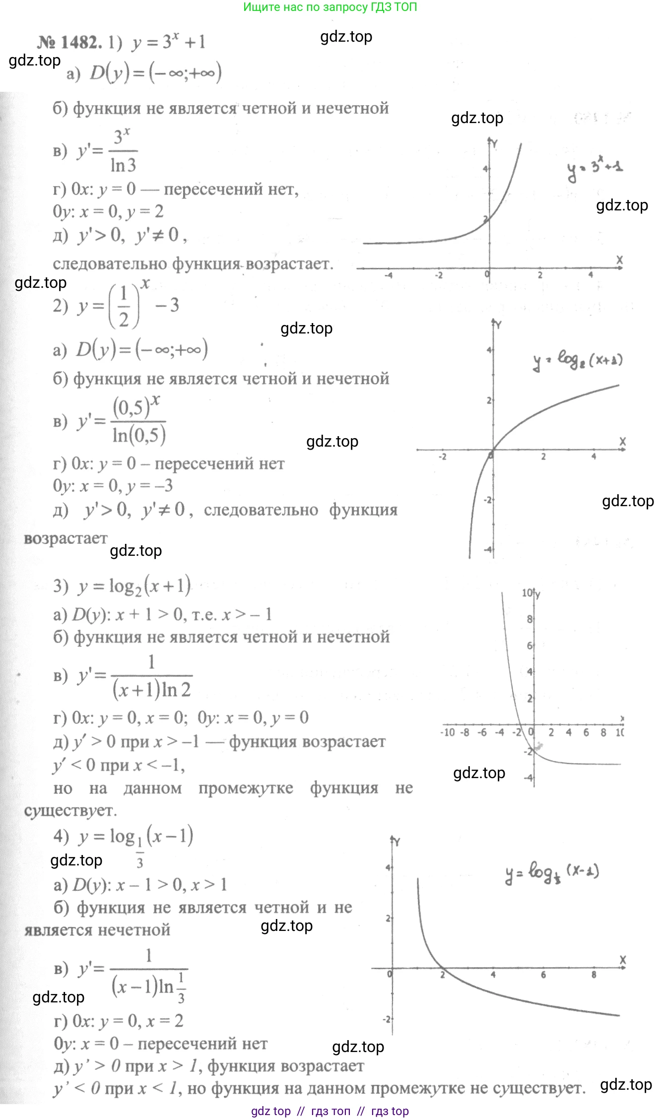
1482 Выяснить основные свойства функции и построить её график:

1) $y = 3^x + 1$;

2) $y = \log_2 (x + 1)$;

3) $y = \log_{\frac{1}{3}} (x - 1).

Решение 1. №1482 (с. 420)
Алгебра, 10-11 класс Учебник, авторы: Алимов Шавкат Арифджанович, Колягин Юрий Михайлович, Ткачева Мария Владимировна, Федорова Надежда Евгеньевна, Шабунин Михаил Иванович, издательство Просвещение, Москва, 2014, страница 420, номер 1482, Решение 1
Алгебра, 10-11 класс Учебник, авторы: Алимов Шавкат Арифджанович, Колягин Юрий Михайлович, Ткачева Мария Владимировна, Федорова Надежда Евгеньевна, Шабунин Михаил Иванович, издательство Просвещение, Москва, 2014, страница 420, номер 1482, Решение 1 (продолжение 2)
Алгебра, 10-11 класс Учебник, авторы: Алимов Шавкат Арифджанович, Колягин Юрий Михайлович, Ткачева Мария Владимировна, Федорова Надежда Евгеньевна, Шабунин Михаил Иванович, издательство Просвещение, Москва, 2014, страница 420, номер 1482, Решение 1 (продолжение 3)
Решение 2. №1482 (с. 420)
Алгебра, 10-11 класс Учебник, авторы: Алимов Шавкат Арифджанович, Колягин Юрий Михайлович, Ткачева Мария Владимировна, Федорова Надежда Евгеньевна, Шабунин Михаил Иванович, издательство Просвещение, Москва, 2014, страница 420, номер 1482, Решение 2
Алгебра, 10-11 класс Учебник, авторы: Алимов Шавкат Арифджанович, Колягин Юрий Михайлович, Ткачева Мария Владимировна, Федорова Надежда Евгеньевна, Шабунин Михаил Иванович, издательство Просвещение, Москва, 2014, страница 420, номер 1482, Решение 2 (продолжение 2)
Решение 7. №1482 (с. 420)
Алгебра, 10-11 класс Учебник, авторы: Алимов Шавкат Арифджанович, Колягин Юрий Михайлович, Ткачева Мария Владимировна, Федорова Надежда Евгеньевна, Шабунин Михаил Иванович, издательство Просвещение, Москва, 2014, страница 420, номер 1482, Решение 7
Алгебра, 10-11 класс Учебник, авторы: Алимов Шавкат Арифджанович, Колягин Юрий Михайлович, Ткачева Мария Владимировна, Федорова Надежда Евгеньевна, Шабунин Михаил Иванович, издательство Просвещение, Москва, 2014, страница 420, номер 1482, Решение 7 (продолжение 2)
Алгебра, 10-11 класс Учебник, авторы: Алимов Шавкат Арифджанович, Колягин Юрий Михайлович, Ткачева Мария Владимировна, Федорова Надежда Евгеньевна, Шабунин Михаил Иванович, издательство Просвещение, Москва, 2014, страница 420, номер 1482, Решение 7 (продолжение 3)
Алгебра, 10-11 класс Учебник, авторы: Алимов Шавкат Арифджанович, Колягин Юрий Михайлович, Ткачева Мария Владимировна, Федорова Надежда Евгеньевна, Шабунин Михаил Иванович, издательство Просвещение, Москва, 2014, страница 420, номер 1482, Решение 7 (продолжение 4)
Решение 8. №1482 (с. 420)

1) $y = 3^x + 1$

Проведем исследование функции и построим ее график.

Основные свойства функции:

1. Область определения: Функция определена для всех действительных значений $x$, так как показательная функция $3^x$ определена на всей числовой оси. $D(y) = (-\infty; +\infty)$.

2. Область значений: Поскольку $3^x > 0$ для любого $x$, то $3^x + 1 > 1$. Таким образом, область значений функции $E(y) = (1; +\infty)$.

3. Пересечение с осями координат:
- С осью $Ox$: Уравнение $y=0$, то есть $3^x + 1 = 0$, не имеет решений, так как $3^x = -1$ невозможно ($3^x$ всегда положительно). График не пересекает ось $Ox$.
- С осью $Oy$: При $x=0$, $y = 3^0 + 1 = 1 + 1 = 2$. Точка пересечения с осью $Oy$ – $(0, 2)$.

4. Монотонность: Так как основание степени $3 > 1$, функция $y = 3^x$ является строго возрастающей. Сложение константы не меняет характер монотонности, поэтому функция $y = 3^x + 1$ также строго возрастает на всей области определения.

5. Четность/нечетность: Проверим значение функции для $-x$: $y(-x) = 3^{-x} + 1 = \frac{1}{3^x} + 1$. Так как $y(-x) \neq y(x)$ и $y(-x) \neq -y(x)$, функция не является ни четной, ни нечетной (является функцией общего вида).

6. Асимптоты: При $x \to -\infty$, значение $3^x \to 0$, следовательно $y \to 1$. Прямая $y=1$ является горизонтальной асимптотой для графика функции при $x \to -\infty$. Вертикальных асимптот нет.

Построение графика:

График функции $y = 3^x + 1$ получается из графика базовой показательной функции $y = 3^x$ путем параллельного переноса (сдвига) вдоль оси $Oy$ на 1 единицу вверх. Для построения найдем несколько контрольных точек:

при $x = -1$, $y = 3^{-1} + 1 = \frac{1}{3} + 1 = \frac{4}{3} \approx 1.33$;
при $x = 0$, $y = 3^0 + 1 = 1 + 1 = 2$;
при $x = 1$, $y = 3^1 + 1 = 3 + 1 = 4$.

График представляет собой экспоненциальную кривую, которая проходит через точки $(-1, 4/3)$, $(0, 2)$, $(1, 4)$, неограниченно возрастает при $x \to +\infty$ и асимптотически приближается к прямой $y=1$ слева.

Ответ: Функция $y = 3^x + 1$ определена на $(-\infty; +\infty)$, область значений $(1; +\infty)$. Функция строго возрастающая, не имеет нулей, пересекает ось $Oy$ в точке $(0, 2)$. Имеет горизонтальную асимптоту $y=1$. График получен сдвигом графика $y=3^x$ на 1 единицу вверх.

2) $y = \log_2 (x + 1)$

Проведем исследование функции и построим ее график.

Основные свойства функции:

1. Область определения: Аргумент логарифма должен быть строго положительным: $x + 1 > 0$, откуда $x > -1$. $D(y) = (-1; +\infty)$.

2. Область значений: Область значений логарифмической функции — множество всех действительных чисел. $E(y) = (-\infty; +\infty)$.

3. Пересечение с осями координат:
- С осью $Ox$ (нули функции): Решим уравнение $y=0 \Rightarrow \log_2(x+1) = 0 \Rightarrow x+1 = 2^0 = 1 \Rightarrow x=0$.
- С осью $Oy$: При $x=0$, $y=\log_2(0+1)=\log_2(1)=0$.
График пересекает обе оси в начале координат, в точке $(0, 0)$.

4. Монотонность: Так как основание логарифма $2 > 1$, функция является строго возрастающей на всей области определения.

5. Четность/нечетность: Область определения $D(y) = (-1; +\infty)$ несимметрична относительно начала координат, поэтому функция не является ни четной, ни нечетной.

6. Асимптоты: На границе области определения при $x \to -1^+$, аргумент логарифма $x+1 \to 0^+$, следовательно $y = \log_2(x+1) \to -\infty$. Прямая $x = -1$ является вертикальной асимптотой.

Построение графика:

График функции $y = \log_2(x + 1)$ получается из графика базовой логарифмической функции $y = \log_2 x$ путем сдвига вдоль оси $Ox$ на 1 единицу влево. Для построения найдем несколько контрольных точек:

при $x = -1/2$, $y = \log_2(1/2) = -1$;
при $x = 0$, $y = \log_2(1) = 0$;
при $x = 1$, $y = \log_2(2) = 1$;
при $x = 3$, $y = \log_2(4) = 2$.

График представляет собой логарифмическую кривую, которая имеет вертикальную асимптоту $x=-1$, проходит через точки $(-1/2, -1)$, $(0, 0)$, $(1, 1)$, $(3, 2)$ и медленно возрастает при $x \to +\infty$.

Ответ: Функция $y = \log_2(x+1)$ определена на $(-1; +\infty)$, область значений $(-\infty; +\infty)$. Функция строго возрастающая, имеет нуль в точке $x=0$. Имеет вертикальную асимптоту $x=-1$. График получен сдвигом графика $y=\log_2 x$ на 1 единицу влево.

3) $y = \log_{1/3} (x - 1)$

Проведем исследование функции и построим ее график.

Основные свойства функции:

1. Область определения: Аргумент логарифма должен быть строго положительным: $x - 1 > 0$, откуда $x > 1$. $D(y) = (1; +\infty)$.

2. Область значений: Область значений логарифмической функции — множество всех действительных чисел. $E(y) = (-\infty; +\infty)$.

3. Пересечение с осями координат:
- С осью $Ox$ (нули функции): Решим уравнение $y=0 \Rightarrow \log_{1/3}(x-1) = 0 \Rightarrow x-1 = (1/3)^0 = 1 \Rightarrow x=2$. Точка пересечения $(2, 0)$.
- С осью $Oy$: Так как область определения $x>1$, значение $x=0$ не входит в нее, следовательно, график не пересекает ось $Oy$.

4. Монотонность: Так как основание логарифма $0 < 1/3 < 1$, функция является строго убывающей на всей области определения.

5. Четность/нечетность: Область определения $D(y) = (1; +\infty)$ несимметрична относительно начала координат, поэтому функция не является ни четной, ни нечетной.

6. Асимптоты: На границе области определения при $x \to 1^+$, аргумент логарифма $x-1 \to 0^+$, следовательно $y = \log_{1/3}(x-1) \to +\infty$. Прямая $x = 1$ является вертикальной асимптотой.

Построение графика:

График функции $y = \log_{1/3}(x - 1)$ получается из графика базовой функции $y = \log_{1/3} x$ путем сдвига вдоль оси $Ox$ на 1 единицу вправо. Для построения найдем несколько контрольных точек:

при $x = 4/3 \approx 1.33$, $y = \log_{1/3}(1/3) = 1$;
при $x = 2$, $y = \log_{1/3}(1) = 0$;
при $x = 4$, $y = \log_{1/3}(3) = -1$.

График представляет собой логарифмическую кривую, которая имеет вертикальную асимптоту $x=1$, проходит через точки $(4/3, 1)$, $(2, 0)$, $(4, -1)$ и неограниченно убывает при $x \to +\infty$.

Ответ: Функция $y = \log_{1/3}(x - 1)$ определена на $(1; +\infty)$, область значений $(-\infty; +\infty)$. Функция строго убывающая, имеет нуль в точке $x=2$. Имеет вертикальную асимптоту $x=1$. График получен сдвигом графика $y=\log_{1/3} x$ на 1 единицу вправо.

Помогло решение? Оставьте отзыв в комментариях ниже.

Присоединяйтесь к Телеграм-группе @top_gdz

Присоединиться

Мы подготовили для вас ответ c подробным объяснением домашего задания по алгебре за 10-11 класс, для упражнения номер 1482 расположенного на странице 420 к учебнику 2014 года издания для учащихся школ и гимназий.

Теперь на нашем сайте ГДЗ.ТОП вы всегда легко и бесплатно найдёте условие с правильным ответом на вопрос «Как решить ДЗ» и «Как сделать» задание по алгебре к упражнению №1482 (с. 420), авторов: Алимов (Шавкат Арифджанович), Колягин (Юрий Михайлович), Ткачева (Мария Владимировна), Федорова (Надежда Евгеньевна), Шабунин (Михаил Иванович), ФГОС (старый) базовый и углублённый уровень обучения учебного пособия издательства Просвещение.