Номер 186, страница 71 - гдз по алгебре 10-11 класс учебник Алимов, Колягин

Алгебра, 10-11 класс Учебник, авторы: Алимов Шавкат Арифджанович, Колягин Юрий Михайлович, Ткачева Мария Владимировна, Федорова Надежда Евгеньевна, Шабунин Михаил Иванович, издательство Просвещение, Москва, 2014

Авторы: Алимов Ш. А., Колягин Ю. М., Ткачева М. В., Федорова Н. Е., Шабунин М. И.

Тип: Учебник

Издательство: Просвещение

Год издания: 2014 - 2025

Уровень обучения: базовый и углублённый

Цвет обложки: синий, фиолетовый

ISBN: 978-5-09-112136-0

Допущено Министерством просвещения Российской Федерации

Математика: алгебра и начала математического анализа, геометрия

Популярные ГДЗ в 10 классе

Глава 2. Степенная функция. Упражнения к главе 2 - номер 186, страница 71.

№186 (с. 71)
Условие. №186 (с. 71)
скриншот условия
Алгебра, 10-11 класс Учебник, авторы: Алимов Шавкат Арифджанович, Колягин Юрий Михайлович, Ткачева Мария Владимировна, Федорова Надежда Евгеньевна, Шабунин Михаил Иванович, издательство Просвещение, Москва, 2014, страница 71, номер 186, Условие

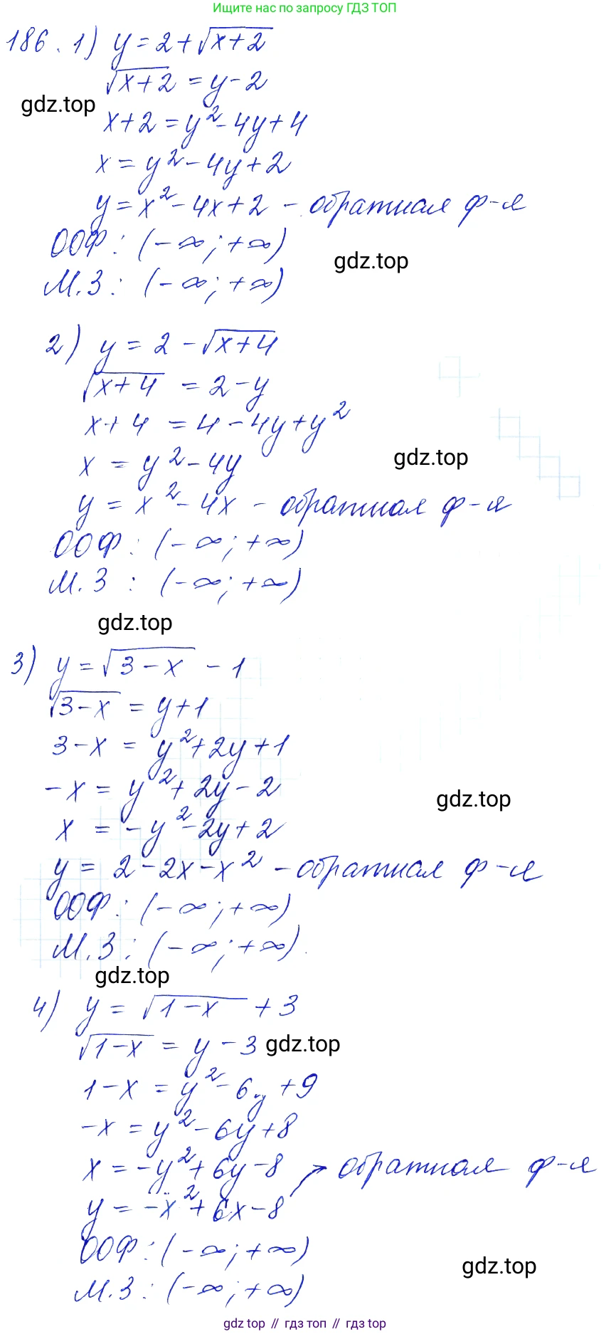
186 Найти функцию, обратную к данной, её область определения и множество значений:

1) $y=2+\sqrt{x+2}$;

2) $y=2-\sqrt{x+4}$;

3) $y=\sqrt{3-x}-1$;

4) $y=\sqrt{1-x}+3$.

Решение 1. №186 (с. 71)
Алгебра, 10-11 класс Учебник, авторы: Алимов Шавкат Арифджанович, Колягин Юрий Михайлович, Ткачева Мария Владимировна, Федорова Надежда Евгеньевна, Шабунин Михаил Иванович, издательство Просвещение, Москва, 2014, страница 71, номер 186, Решение 1
Алгебра, 10-11 класс Учебник, авторы: Алимов Шавкат Арифджанович, Колягин Юрий Михайлович, Ткачева Мария Владимировна, Федорова Надежда Евгеньевна, Шабунин Михаил Иванович, издательство Просвещение, Москва, 2014, страница 71, номер 186, Решение 1 (продолжение 2)
Алгебра, 10-11 класс Учебник, авторы: Алимов Шавкат Арифджанович, Колягин Юрий Михайлович, Ткачева Мария Владимировна, Федорова Надежда Евгеньевна, Шабунин Михаил Иванович, издательство Просвещение, Москва, 2014, страница 71, номер 186, Решение 1 (продолжение 3)
Алгебра, 10-11 класс Учебник, авторы: Алимов Шавкат Арифджанович, Колягин Юрий Михайлович, Ткачева Мария Владимировна, Федорова Надежда Евгеньевна, Шабунин Михаил Иванович, издательство Просвещение, Москва, 2014, страница 71, номер 186, Решение 1 (продолжение 4)
Решение 2. №186 (с. 71)
Алгебра, 10-11 класс Учебник, авторы: Алимов Шавкат Арифджанович, Колягин Юрий Михайлович, Ткачева Мария Владимировна, Федорова Надежда Евгеньевна, Шабунин Михаил Иванович, издательство Просвещение, Москва, 2014, страница 71, номер 186, Решение 2
Алгебра, 10-11 класс Учебник, авторы: Алимов Шавкат Арифджанович, Колягин Юрий Михайлович, Ткачева Мария Владимировна, Федорова Надежда Евгеньевна, Шабунин Михаил Иванович, издательство Просвещение, Москва, 2014, страница 71, номер 186, Решение 2 (продолжение 2)
Решение 4. №186 (с. 71)
Алгебра, 10-11 класс Учебник, авторы: Алимов Шавкат Арифджанович, Колягин Юрий Михайлович, Ткачева Мария Владимировна, Федорова Надежда Евгеньевна, Шабунин Михаил Иванович, издательство Просвещение, Москва, 2014, страница 71, номер 186, Решение 4
Решение 5. №186 (с. 71)
Алгебра, 10-11 класс Учебник, авторы: Алимов Шавкат Арифджанович, Колягин Юрий Михайлович, Ткачева Мария Владимировна, Федорова Надежда Евгеньевна, Шабунин Михаил Иванович, издательство Просвещение, Москва, 2014, страница 71, номер 186, Решение 5
Решение 6. №186 (с. 71)
Алгебра, 10-11 класс Учебник, авторы: Алимов Шавкат Арифджанович, Колягин Юрий Михайлович, Ткачева Мария Владимировна, Федорова Надежда Евгеньевна, Шабунин Михаил Иванович, издательство Просвещение, Москва, 2014, страница 71, номер 186, Решение 6
Решение 7. №186 (с. 71)
Алгебра, 10-11 класс Учебник, авторы: Алимов Шавкат Арифджанович, Колягин Юрий Михайлович, Ткачева Мария Владимировна, Федорова Надежда Евгеньевна, Шабунин Михаил Иванович, издательство Просвещение, Москва, 2014, страница 71, номер 186, Решение 7 Алгебра, 10-11 класс Учебник, авторы: Алимов Шавкат Арифджанович, Колягин Юрий Михайлович, Ткачева Мария Владимировна, Федорова Надежда Евгеньевна, Шабунин Михаил Иванович, издательство Просвещение, Москва, 2014, страница 71, номер 186, Решение 7 (продолжение 2) Алгебра, 10-11 класс Учебник, авторы: Алимов Шавкат Арифджанович, Колягин Юрий Михайлович, Ткачева Мария Владимировна, Федорова Надежда Евгеньевна, Шабунин Михаил Иванович, издательство Просвещение, Москва, 2014, страница 71, номер 186, Решение 7 (продолжение 3)
Решение 8. №186 (с. 71)

1) $y = 2 + \sqrt{x+2}$

Сначала найдём область определения $D(y)$ и множество значений $E(y)$ исходной функции. Подкоренное выражение должно быть неотрицательным: $x+2 \ge 0$, откуда $x \ge -2$. Следовательно, область определения функции: $D(y) = [-2, +\infty)$.
Так как значение арифметического квадратного корня неотрицательно, $\sqrt{x+2} \ge 0$. Тогда $y = 2 + \sqrt{x+2} \ge 2 + 0 = 2$. Следовательно, множество значений функции: $E(y) = [2, +\infty)$.

Чтобы найти обратную функцию, выразим $x$ через $y$ из исходного уравнения:
$y = 2 + \sqrt{x+2}$
$y - 2 = \sqrt{x+2}$
При возведении в квадрат необходимо учесть, что $y-2 \ge 0$, то есть $y \ge 2$, что совпадает с множеством значений $E(y)$.
$(y-2)^2 = x+2$
$x = (y-2)^2 - 2$
Заменяя $x$ на $y$ и $y$ на $x$, получаем обратную функцию: $y = (x-2)^2 - 2$.

Область определения обратной функции совпадает с множеством значений исходной функции: $D(y_{обр}) = E(y) = [2, +\infty)$.
Множество значений обратной функции совпадает с областью определения исходной функции: $E(y_{обр}) = D(y) = [-2, +\infty)$.

Ответ: обратная функция $y = (x-2)^2 - 2$, область определения $D(y) = [2, +\infty)$, множество значений $E(y) = [-2, +\infty)$.

2) $y = 2 - \sqrt{x+4}$

Найдём область определения $D(y)$ и множество значений $E(y)$ исходной функции. Подкоренное выражение: $x+4 \ge 0$, откуда $x \ge -4$. Область определения: $D(y) = [-4, +\infty)$.
Так как $\sqrt{x+4} \ge 0$, то $-\sqrt{x+4} \le 0$. Тогда $y = 2 - \sqrt{x+4} \le 2 - 0 = 2$. Множество значений: $E(y) = (-\infty, 2]$.

Выразим $x$ через $y$:
$y = 2 - \sqrt{x+4}$
$\sqrt{x+4} = 2 - y$
Условие для возведения в квадрат: $2 - y \ge 0$, то есть $y \le 2$, что соответствует $E(y)$.
$x+4 = (2-y)^2$
$x = (2-y)^2 - 4 = (y-2)^2 - 4$
Обратная функция: $y = (x-2)^2 - 4$.

Область определения обратной функции: $D(y_{обр}) = E(y) = (-\infty, 2]$.
Множество значений обратной функции: $E(y_{обр}) = D(y) = [-4, +\infty)$.

Ответ: обратная функция $y = (x-2)^2 - 4$, область определения $D(y) = (-\infty, 2]$, множество значений $E(y) = [-4, +\infty)$.

3) $y = \sqrt{3-x} - 1$

Найдём область определения $D(y)$ и множество значений $E(y)$ исходной функции. Подкоренное выражение: $3-x \ge 0$, откуда $x \le 3$. Область определения: $D(y) = (-\infty, 3]$.
Так как $\sqrt{3-x} \ge 0$, то $y = \sqrt{3-x} - 1 \ge 0 - 1 = -1$. Множество значений: $E(y) = [-1, +\infty)$.

Выразим $x$ через $y$:
$y = \sqrt{3-x} - 1$
$y+1 = \sqrt{3-x}$
Условие для возведения в квадрат: $y+1 \ge 0$, то есть $y \ge -1$, что соответствует $E(y)$.
$(y+1)^2 = 3-x$
$x = 3 - (y+1)^2$
Обратная функция: $y = 3 - (x+1)^2$.

Область определения обратной функции: $D(y_{обр}) = E(y) = [-1, +\infty)$.
Множество значений обратной функции: $E(y_{обр}) = D(y) = (-\infty, 3]$.

Ответ: обратная функция $y = 3 - (x+1)^2$, область определения $D(y) = [-1, +\infty)$, множество значений $E(y) = (-\infty, 3]$.

4) $y = \sqrt{1-x} + 3$

Найдём область определения $D(y)$ и множество значений $E(y)$ исходной функции. Подкоренное выражение: $1-x \ge 0$, откуда $x \le 1$. Область определения: $D(y) = (-\infty, 1]$.
Так как $\sqrt{1-x} \ge 0$, то $y = \sqrt{1-x} + 3 \ge 0 + 3 = 3$. Множество значений: $E(y) = [3, +\infty)$.

Выразим $x$ через $y$:
$y = \sqrt{1-x} + 3$
$y-3 = \sqrt{1-x}$
Условие для возведения в квадрат: $y-3 \ge 0$, то есть $y \ge 3$, что соответствует $E(y)$.
$(y-3)^2 = 1-x$
$x = 1 - (y-3)^2$
Обратная функция: $y = 1 - (x-3)^2$.

Область определения обратной функции: $D(y_{обр}) = E(y) = [3, +\infty)$.
Множество значений обратной функции: $E(y_{обр}) = D(y) = (-\infty, 1]$.

Ответ: обратная функция $y = 1 - (x-3)^2$, область определения $D(y) = [3, +\infty)$, множество значений $E(y) = (-\infty, 1]$.

Помогло решение? Оставьте отзыв в комментариях ниже.

Присоединяйтесь к Телеграм-группе @top_gdz

Присоединиться

Мы подготовили для вас ответ c подробным объяснением домашего задания по алгебре за 10-11 класс, для упражнения номер 186 расположенного на странице 71 к учебнику 2014 года издания для учащихся школ и гимназий.

Теперь на нашем сайте ГДЗ.ТОП вы всегда легко и бесплатно найдёте условие с правильным ответом на вопрос «Как решить ДЗ» и «Как сделать» задание по алгебре к упражнению №186 (с. 71), авторов: Алимов (Шавкат Арифджанович), Колягин (Юрий Михайлович), Ткачева (Мария Владимировна), Федорова (Надежда Евгеньевна), Шабунин (Михаил Иванович), ФГОС (старый) базовый и углублённый уровень обучения учебного пособия издательства Просвещение.