Номер 191, страница 71 - гдз по алгебре 10-11 класс учебник Алимов, Колягин

Алгебра, 10-11 класс Учебник, авторы: Алимов Шавкат Арифджанович, Колягин Юрий Михайлович, Ткачева Мария Владимировна, Федорова Надежда Евгеньевна, Шабунин Михаил Иванович, издательство Просвещение, Москва, 2014

Авторы: Алимов Ш. А., Колягин Ю. М., Ткачева М. В., Федорова Н. Е., Шабунин М. И.

Тип: Учебник

Издательство: Просвещение

Год издания: 2014 - 2025

Уровень обучения: базовый и углублённый

Цвет обложки: синий, фиолетовый

ISBN: 978-5-09-112136-0

Допущено Министерством просвещения Российской Федерации

Математика: алгебра и начала математического анализа, геометрия

Популярные ГДЗ в 10 классе

Глава 2. Степенная функция. Упражнения к главе 2 - номер 191, страница 71.

№191 (с. 71)
Условие. №191 (с. 71)
скриншот условия
Алгебра, 10-11 класс Учебник, авторы: Алимов Шавкат Арифджанович, Колягин Юрий Михайлович, Ткачева Мария Владимировна, Федорова Надежда Евгеньевна, Шабунин Михаил Иванович, издательство Просвещение, Москва, 2014, страница 71, номер 191, Условие

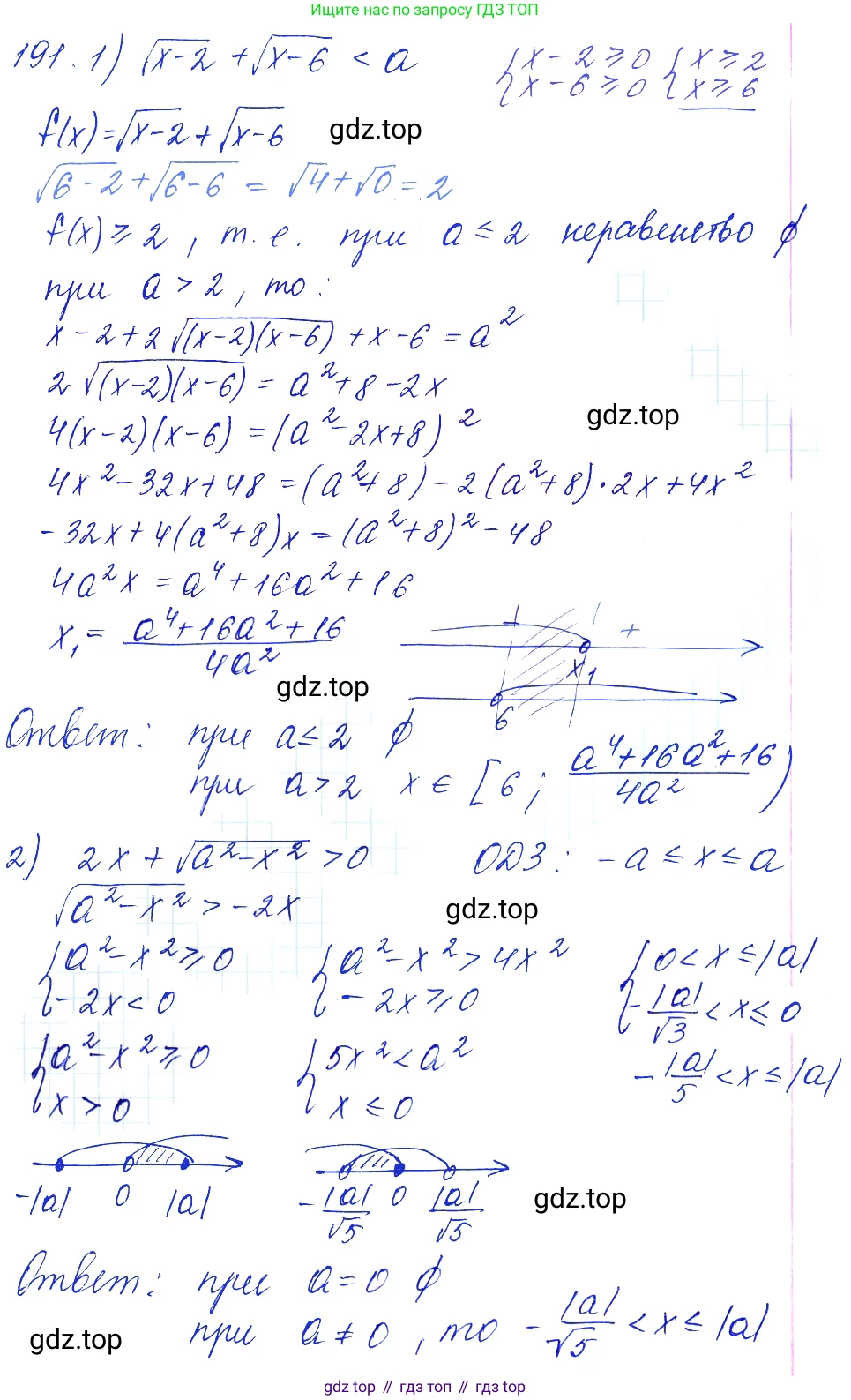
191 При различных значениях a решить неравенство:

1) $\sqrt{x-2}+\sqrt{x-6} < a;$

2) $2x+\sqrt{a^2-x^2} > 0.$

Решение 1. №191 (с. 71)
Алгебра, 10-11 класс Учебник, авторы: Алимов Шавкат Арифджанович, Колягин Юрий Михайлович, Ткачева Мария Владимировна, Федорова Надежда Евгеньевна, Шабунин Михаил Иванович, издательство Просвещение, Москва, 2014, страница 71, номер 191, Решение 1
Алгебра, 10-11 класс Учебник, авторы: Алимов Шавкат Арифджанович, Колягин Юрий Михайлович, Ткачева Мария Владимировна, Федорова Надежда Евгеньевна, Шабунин Михаил Иванович, издательство Просвещение, Москва, 2014, страница 71, номер 191, Решение 1 (продолжение 2)
Решение 2. №191 (с. 71)
Алгебра, 10-11 класс Учебник, авторы: Алимов Шавкат Арифджанович, Колягин Юрий Михайлович, Ткачева Мария Владимировна, Федорова Надежда Евгеньевна, Шабунин Михаил Иванович, издательство Просвещение, Москва, 2014, страница 71, номер 191, Решение 2
Алгебра, 10-11 класс Учебник, авторы: Алимов Шавкат Арифджанович, Колягин Юрий Михайлович, Ткачева Мария Владимировна, Федорова Надежда Евгеньевна, Шабунин Михаил Иванович, издательство Просвещение, Москва, 2014, страница 71, номер 191, Решение 2 (продолжение 2)
Решение 3. №191 (с. 71)
Алгебра, 10-11 класс Учебник, авторы: Алимов Шавкат Арифджанович, Колягин Юрий Михайлович, Ткачева Мария Владимировна, Федорова Надежда Евгеньевна, Шабунин Михаил Иванович, издательство Просвещение, Москва, 2014, страница 71, номер 191, Решение 3
Решение 4. №191 (с. 71)
Алгебра, 10-11 класс Учебник, авторы: Алимов Шавкат Арифджанович, Колягин Юрий Михайлович, Ткачева Мария Владимировна, Федорова Надежда Евгеньевна, Шабунин Михаил Иванович, издательство Просвещение, Москва, 2014, страница 71, номер 191, Решение 4
Решение 5. №191 (с. 71)
Алгебра, 10-11 класс Учебник, авторы: Алимов Шавкат Арифджанович, Колягин Юрий Михайлович, Ткачева Мария Владимировна, Федорова Надежда Евгеньевна, Шабунин Михаил Иванович, издательство Просвещение, Москва, 2014, страница 71, номер 191, Решение 5 Алгебра, 10-11 класс Учебник, авторы: Алимов Шавкат Арифджанович, Колягин Юрий Михайлович, Ткачева Мария Владимировна, Федорова Надежда Евгеньевна, Шабунин Михаил Иванович, издательство Просвещение, Москва, 2014, страница 71, номер 191, Решение 5 (продолжение 2)
Решение 6. №191 (с. 71)
Алгебра, 10-11 класс Учебник, авторы: Алимов Шавкат Арифджанович, Колягин Юрий Михайлович, Ткачева Мария Владимировна, Федорова Надежда Евгеньевна, Шабунин Михаил Иванович, издательство Просвещение, Москва, 2014, страница 71, номер 191, Решение 6
Решение 7. №191 (с. 71)
Алгебра, 10-11 класс Учебник, авторы: Алимов Шавкат Арифджанович, Колягин Юрий Михайлович, Ткачева Мария Владимировна, Федорова Надежда Евгеньевна, Шабунин Михаил Иванович, издательство Просвещение, Москва, 2014, страница 71, номер 191, Решение 7 Алгебра, 10-11 класс Учебник, авторы: Алимов Шавкат Арифджанович, Колягин Юрий Михайлович, Ткачева Мария Владимировна, Федорова Надежда Евгеньевна, Шабунин Михаил Иванович, издательство Просвещение, Москва, 2014, страница 71, номер 191, Решение 7 (продолжение 2)
Решение 8. №191 (с. 71)

1)

Рассмотрим неравенство $\sqrt{x-2} + \sqrt{x-6} < a$.

1. Найдем область допустимых значений (ОДЗ) для переменной $x$. Подкоренные выражения должны быть неотрицательными:

$ \begin{cases} x - 2 \ge 0 \\ x - 6 \ge 0 \end{cases} \implies \begin{cases} x \ge 2 \\ x \ge 6 \end{cases} $

Пересечением этих условий является $x \ge 6$. Итак, ОДЗ: $x \in [6, +\infty)$.

2. Левая часть неравенства представляет собой сумму двух неотрицательных слагаемых, поэтому она всегда неотрицательна. Следовательно, если $a \le 0$, неравенство не имеет решений.

3. Рассмотрим функцию $f(x) = \sqrt{x-2} + \sqrt{x-6}$ на ее области определения $x \ge 6$.
Ее производная $f'(x) = \frac{1}{2\sqrt{x-2}} + \frac{1}{2\sqrt{x-6}}$.
При $x > 6$ оба слагаемых положительны, значит $f'(x) > 0$. Функция $f(x)$ является строго возрастающей на всей области определения.

4. Найдем минимальное значение функции $f(x)$. Так как функция возрастающая, ее минимум достигается в крайней левой точке области определения, то есть при $x=6$.
$f_{min} = f(6) = \sqrt{6-2} + \sqrt{6-6} = \sqrt{4} + 0 = 2$.

5. Проанализируем неравенство в зависимости от значения параметра $a$.
Случай 1: $a \le 2$.
Поскольку минимальное значение левой части равно 2, то есть $\sqrt{x-2} + \sqrt{x-6} \ge 2$ для любого $x$ из ОДЗ, то неравенство $\sqrt{x-2} + \sqrt{x-6} < a$ при $a \le 2$ не может выполняться. В этом случае решений нет.

Случай 2: $a > 2$.
В этом случае обе части неравенства $\sqrt{x-2} + \sqrt{x-6} < a$ положительны. Можем возвести обе части в квадрат:

$(\sqrt{x-2} + \sqrt{x-6})^2 < a^2$

$(x-2) + 2\sqrt{(x-2)(x-6)} + (x-6) < a^2$

$2x - 8 + 2\sqrt{x^2 - 8x + 12} < a^2$

Изолируем радикал:

$2\sqrt{x^2 - 8x + 12} < a^2 - 2x + 8$

Для возведения в квадрат необходимо, чтобы правая часть была неотрицательной: $a^2 - 2x + 8 \ge 0$. Однако, так как левая часть $2\sqrt{...}$ строго больше нуля (при $x>6$), то и правая часть должна быть строго положительной: $a^2 - 2x + 8 > 0$, откуда $x < \frac{a^2+8}{2}$.

Возводим в квадрат при условии $x < \frac{a^2+8}{2}$:

$4(x^2 - 8x + 12) < (a^2 - 2x + 8)^2$

$4x^2 - 32x + 48 < (a^2)^2 + (2x-8)^2 - 2a^2(2x-8)$

$4x^2 - 32x + 48 < a^4 + 4x^2 - 32x + 64 - 4a^2x + 16a^2$

После сокращения одинаковых членов получаем:

$48 < a^4 + 64 - 4a^2x + 16a^2$

Переносим слагаемое с $x$ влево:

$4a^2x < a^4 + 16a^2 + 16$

Так как $a > 2$, то $a^2 > 4$, и $4a^2$ — положительное число. Делим на него:

$x < \frac{a^4 + 16a^2 + 16}{4a^2}$

Итак, для случая $a>2$ мы имеем систему условий:

$ \begin{cases} x \ge 6 & \text{(ОДЗ)} \\ x < \frac{a^4 + 16a^2 + 16}{4a^2} \end{cases} $

Дополнительное условие $x < \frac{a^2+8}{2}$ оказывается излишним, поскольку, как можно показать, $\frac{a^4 + 16a^2 + 16}{4a^2} < \frac{a^2+8}{2}$ при $a>2$.

Решение при $a>2$ имеет вид: $6 \le x < \frac{a^4 + 16a^2 + 16}{4a^2}$.

Ответ: если $a \le 2$, решений нет; если $a > 2$, то $x \in [6, \frac{a^4 + 16a^2 + 16}{4a^2})$.

2)

Рассмотрим неравенство $2x + \sqrt{a^2 - x^2} > 0$.

1. Перепишем неравенство в виде $\sqrt{a^2 - x^2} > -2x$.

2. Найдем ОДЗ: $a^2 - x^2 \ge 0 \implies x^2 \le a^2 \implies -|a| \le x \le |a|$.

Если $a=0$, то ОДЗ состоит из одной точки $x=0$. Неравенство принимает вид $2(0) + \sqrt{0-0} > 0$, то есть $0 > 0$, что неверно. При $a=0$ решений нет.

Далее считаем, что $a \ne 0$.

3. Решение неравенства $\sqrt{f(x)} > g(x)$ зависит от знака $g(x)$. Рассмотрим два случая для правой части $-2x$.

Случай 1: Правая часть отрицательна.

$-2x < 0 \implies x > 0$.

В этом случае левая часть неравенства $\sqrt{a^2 - x^2}$ как арифметический корень всегда неотрицательна, а правая часть $-2x$ строго отрицательна. Неотрицательное число всегда больше отрицательного. Следовательно, неравенство выполняется для всех $x > 0$, которые входят в ОДЗ.

Найдем пересечение условия $x > 0$ с ОДЗ $-|a| \le x \le |a|$:

$0 < x \le |a|$.

Это первая часть решения.

Случай 2: Правая часть неотрицательна.

$-2x \ge 0 \implies x \le 0$.

В этом случае обе части неравенства $\sqrt{a^2 - x^2} > -2x$ неотрицательны, и мы можем возвести их в квадрат, сохранив знак неравенства:

$(\sqrt{a^2 - x^2})^2 > (-2x)^2$

$a^2 - x^2 > 4x^2$

$a^2 > 5x^2$

$x^2 < \frac{a^2}{5}$

Извлекая корень, получаем $|x| < \frac{|a|}{\sqrt{5}}$, что равносильно $-\frac{|a|}{\sqrt{5}} < x < \frac{|a|}{\sqrt{5}}$.

Теперь нужно найти пересечение этого интервала с условием данного случая ($x \le 0$) и ОДЗ ($-|a| \le x \le |a|$).

Система условий:
$ \begin{cases} -|a| \le x \le |a| \\ x \le 0 \\ -\frac{|a|}{\sqrt{5}} < x < \frac{|a|}{\sqrt{5}} \end{cases} $

Пересечением этих трех условий является интервал $-\frac{|a|}{\sqrt{5}} < x \le 0$.

4. Объединим решения, полученные в обоих случаях.

Из случая 1: $x \in (0, |a|]$.
Из случая 2: $x \in (-\frac{|a|}{\sqrt{5}}, 0]$.

Объединение этих двух множеств дает итоговый ответ:

$x \in (-\frac{|a|}{\sqrt{5}}, 0] \cup (0, |a|] = (-\frac{|a|}{\sqrt{5}}, |a|]$.

Ответ: если $a = 0$, решений нет; если $a \ne 0$, то $x \in (-\frac{|a|}{\sqrt{5}}, |a|]$.

Помогло решение? Оставьте отзыв в комментариях ниже.

Присоединяйтесь к Телеграм-группе @top_gdz

Присоединиться

Мы подготовили для вас ответ c подробным объяснением домашего задания по алгебре за 10-11 класс, для упражнения номер 191 расположенного на странице 71 к учебнику 2014 года издания для учащихся школ и гимназий.

Теперь на нашем сайте ГДЗ.ТОП вы всегда легко и бесплатно найдёте условие с правильным ответом на вопрос «Как решить ДЗ» и «Как сделать» задание по алгебре к упражнению №191 (с. 71), авторов: Алимов (Шавкат Арифджанович), Колягин (Юрий Михайлович), Ткачева (Мария Владимировна), Федорова (Надежда Евгеньевна), Шабунин (Михаил Иванович), ФГОС (старый) базовый и углублённый уровень обучения учебного пособия издательства Просвещение.