Номер 187, страница 71 - гдз по алгебре 10-11 класс учебник Алимов, Колягин

Алгебра, 10-11 класс Учебник, авторы: Алимов Шавкат Арифджанович, Колягин Юрий Михайлович, Ткачева Мария Владимировна, Федорова Надежда Евгеньевна, Шабунин Михаил Иванович, издательство Просвещение, Москва, 2014

Авторы: Алимов Ш. А., Колягин Ю. М., Ткачева М. В., Федорова Н. Е., Шабунин М. И.

Тип: Учебник

Издательство: Просвещение

Год издания: 2014 - 2025

Уровень обучения: базовый и углублённый

Цвет обложки: синий, фиолетовый

ISBN: 978-5-09-112136-0

Допущено Министерством просвещения Российской Федерации

Математика: алгебра и начала математического анализа, геометрия

Популярные ГДЗ в 10 классе

Глава 2. Степенная функция. Упражнения к главе 2 - номер 187, страница 71.

№187 (с. 71)
Условие. №187 (с. 71)
скриншот условия
Алгебра, 10-11 класс Учебник, авторы: Алимов Шавкат Арифджанович, Колягин Юрий Михайлович, Ткачева Мария Владимировна, Федорова Надежда Евгеньевна, Шабунин Михаил Иванович, издательство Просвещение, Москва, 2014, страница 71, номер 187, Условие

Решить уравнение (187—188).

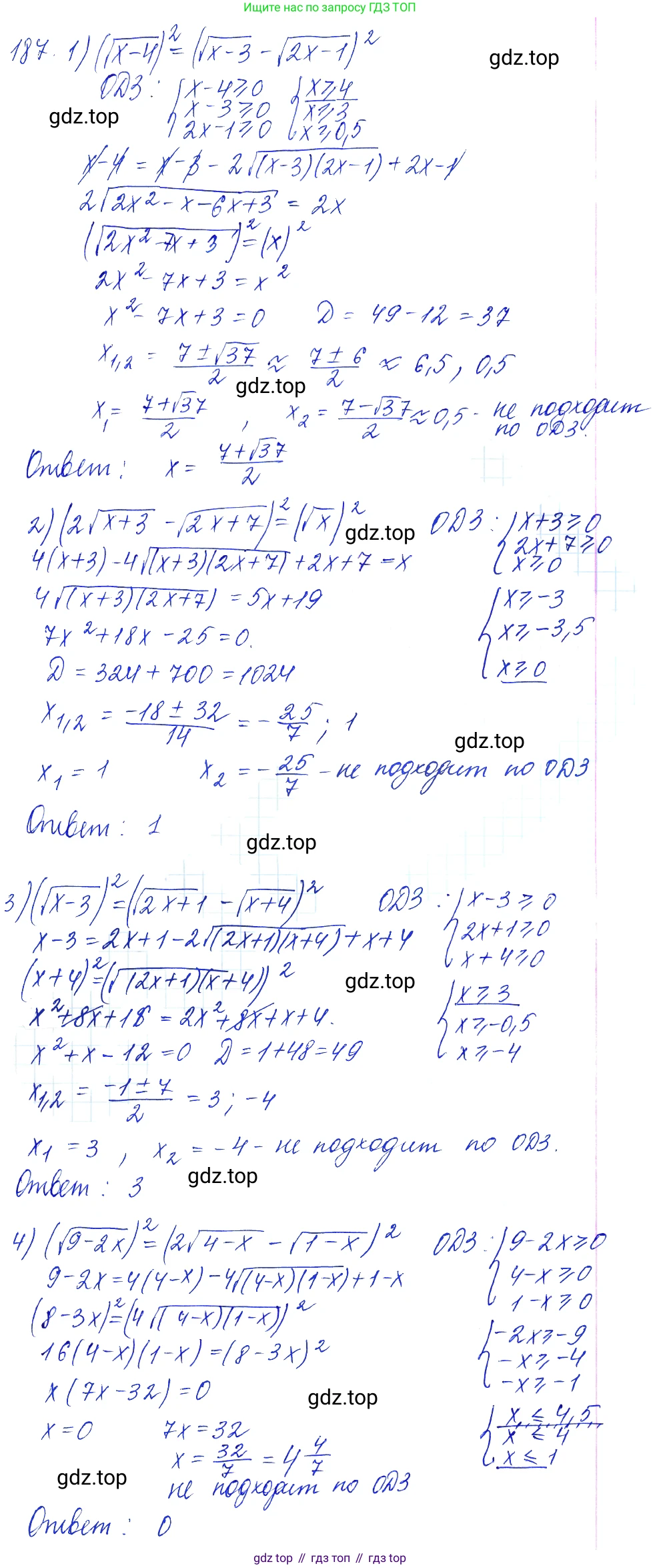
187 1) $\sqrt{x-4}=\sqrt{x-3}-\sqrt{2x-1}$;

2) $2\sqrt{x+3}-\sqrt{2x+7}=\sqrt{x}$;

3) $\sqrt{x-3}=\sqrt{2x+1}-\sqrt{x+4}$;

4) $\sqrt{9-2x}=2\sqrt{4-x}-\sqrt{1-x}$.

Решение 1. №187 (с. 71)
Алгебра, 10-11 класс Учебник, авторы: Алимов Шавкат Арифджанович, Колягин Юрий Михайлович, Ткачева Мария Владимировна, Федорова Надежда Евгеньевна, Шабунин Михаил Иванович, издательство Просвещение, Москва, 2014, страница 71, номер 187, Решение 1
Алгебра, 10-11 класс Учебник, авторы: Алимов Шавкат Арифджанович, Колягин Юрий Михайлович, Ткачева Мария Владимировна, Федорова Надежда Евгеньевна, Шабунин Михаил Иванович, издательство Просвещение, Москва, 2014, страница 71, номер 187, Решение 1 (продолжение 2)
Алгебра, 10-11 класс Учебник, авторы: Алимов Шавкат Арифджанович, Колягин Юрий Михайлович, Ткачева Мария Владимировна, Федорова Надежда Евгеньевна, Шабунин Михаил Иванович, издательство Просвещение, Москва, 2014, страница 71, номер 187, Решение 1 (продолжение 3)
Алгебра, 10-11 класс Учебник, авторы: Алимов Шавкат Арифджанович, Колягин Юрий Михайлович, Ткачева Мария Владимировна, Федорова Надежда Евгеньевна, Шабунин Михаил Иванович, издательство Просвещение, Москва, 2014, страница 71, номер 187, Решение 1 (продолжение 4)
Решение 2. №187 (с. 71)
Алгебра, 10-11 класс Учебник, авторы: Алимов Шавкат Арифджанович, Колягин Юрий Михайлович, Ткачева Мария Владимировна, Федорова Надежда Евгеньевна, Шабунин Михаил Иванович, издательство Просвещение, Москва, 2014, страница 71, номер 187, Решение 2
Алгебра, 10-11 класс Учебник, авторы: Алимов Шавкат Арифджанович, Колягин Юрий Михайлович, Ткачева Мария Владимировна, Федорова Надежда Евгеньевна, Шабунин Михаил Иванович, издательство Просвещение, Москва, 2014, страница 71, номер 187, Решение 2 (продолжение 2)
Решение 4. №187 (с. 71)
Алгебра, 10-11 класс Учебник, авторы: Алимов Шавкат Арифджанович, Колягин Юрий Михайлович, Ткачева Мария Владимировна, Федорова Надежда Евгеньевна, Шабунин Михаил Иванович, издательство Просвещение, Москва, 2014, страница 71, номер 187, Решение 4
Алгебра, 10-11 класс Учебник, авторы: Алимов Шавкат Арифджанович, Колягин Юрий Михайлович, Ткачева Мария Владимировна, Федорова Надежда Евгеньевна, Шабунин Михаил Иванович, издательство Просвещение, Москва, 2014, страница 71, номер 187, Решение 4 (продолжение 2)
Решение 5. №187 (с. 71)
Алгебра, 10-11 класс Учебник, авторы: Алимов Шавкат Арифджанович, Колягин Юрий Михайлович, Ткачева Мария Владимировна, Федорова Надежда Евгеньевна, Шабунин Михаил Иванович, издательство Просвещение, Москва, 2014, страница 71, номер 187, Решение 5
Решение 6. №187 (с. 71)
Алгебра, 10-11 класс Учебник, авторы: Алимов Шавкат Арифджанович, Колягин Юрий Михайлович, Ткачева Мария Владимировна, Федорова Надежда Евгеньевна, Шабунин Михаил Иванович, издательство Просвещение, Москва, 2014, страница 71, номер 187, Решение 6
Решение 7. №187 (с. 71)
Алгебра, 10-11 класс Учебник, авторы: Алимов Шавкат Арифджанович, Колягин Юрий Михайлович, Ткачева Мария Владимировна, Федорова Надежда Евгеньевна, Шабунин Михаил Иванович, издательство Просвещение, Москва, 2014, страница 71, номер 187, Решение 7 Алгебра, 10-11 класс Учебник, авторы: Алимов Шавкат Арифджанович, Колягин Юрий Михайлович, Ткачева Мария Владимировна, Федорова Надежда Евгеньевна, Шабунин Михаил Иванович, издательство Просвещение, Москва, 2014, страница 71, номер 187, Решение 7 (продолжение 2)
Решение 8. №187 (с. 71)

1) $\sqrt{x-4} = \sqrt{x-3} - \sqrt{2x-1}$

Найдем область допустимых значений (ОДЗ). Выражения под знаком квадратного корня должны быть неотрицательными:

$\begin{cases} x-4 \ge 0 \\ x-3 \ge 0 \\ 2x-1 \ge 0 \end{cases} \implies \begin{cases} x \ge 4 \\ x \ge 3 \\ x \ge 0.5 \end{cases}$

Пересечением этих условий является промежуток $x \ge 4$.

Левая часть уравнения, $\sqrt{x-4}$, является арифметическим корнем, поэтому она неотрицательна. Следовательно, и правая часть уравнения должна быть неотрицательной:

$\sqrt{x-3} - \sqrt{2x-1} \ge 0$

$\sqrt{x-3} \ge \sqrt{2x-1}$

Поскольку обе части этого неравенства неотрицательны, мы можем возвести их в квадрат, сохранив знак неравенства:

$x-3 \ge 2x-1$

$-3+1 \ge 2x-x$

$-2 \ge x$, то есть $x \le -2$.

Таким образом, для существования решения необходимо одновременное выполнение двух условий: $x \ge 4$ (из ОДЗ) и $x \le -2$. Эти два условия несовместны, так как нет такого числа $x$, которое было бы одновременно больше или равно 4 и меньше или равно -2. Следовательно, уравнение не имеет решений.

Ответ: решений нет.

2) $2\sqrt{x+3} - \sqrt{2x+7} = \sqrt{x}$

Найдем ОДЗ:

$\begin{cases} x+3 \ge 0 \\ 2x+7 \ge 0 \\ x \ge 0 \end{cases} \implies \begin{cases} x \ge -3 \\ x \ge -3.5 \\ x \ge 0 \end{cases}$

Пересечением условий является $x \ge 0$.

Перенесем один из корней в правую часть уравнения, чтобы при возведении в квадрат было меньше слагаемых:

$2\sqrt{x+3} = \sqrt{x} + \sqrt{2x+7}$

В ОДЗ ($x \ge 0$) обе части уравнения неотрицательны, поэтому мы можем возвести их в квадрат:

$(2\sqrt{x+3})^2 = (\sqrt{x} + \sqrt{2x+7})^2$

$4(x+3) = (\sqrt{x})^2 + 2\sqrt{x}\sqrt{2x+7} + (\sqrt{2x+7})^2$

$4x+12 = x + 2\sqrt{x(2x+7)} + 2x+7$

$4x+12 = 3x+7 + 2\sqrt{2x^2+7x}$

Уединим оставшийся корень в одной части уравнения:

$4x+12 - 3x - 7 = 2\sqrt{2x^2+7x}$

$x+5 = 2\sqrt{2x^2+7x}$

В ОДЗ ($x \ge 0$) левая часть $x+5$ строго положительна. Возведем обе части в квадрат еще раз:

$(x+5)^2 = (2\sqrt{2x^2+7x})^2$

$x^2+10x+25 = 4(2x^2+7x)$

$x^2+10x+25 = 8x^2+28x$

$7x^2+18x-25 = 0$

Решим полученное квадратное уравнение. Дискриминант $D = b^2-4ac = 18^2 - 4 \cdot 7 \cdot (-25) = 324 + 700 = 1024 = 32^2$.

Корни уравнения:

$x_1 = \frac{-18+32}{2 \cdot 7} = \frac{14}{14} = 1$

$x_2 = \frac{-18-32}{2 \cdot 7} = \frac{-50}{14} = -\frac{25}{7}$

Проверим найденные корни на принадлежность ОДЗ ($x \ge 0$).

Корень $x_1 = 1$ удовлетворяет ОДЗ.

Корень $x_2 = -25/7$ не удовлетворяет ОДЗ.

Выполним проверку для $x=1$ подстановкой в исходное уравнение:

$2\sqrt{1+3} - \sqrt{2(1)+7} = \sqrt{1} \implies 2\sqrt{4} - \sqrt{9} = 1 \implies 2 \cdot 2 - 3 = 1 \implies 1 = 1$ (верно).

Ответ: $x=1$.

3) $\sqrt{x-3} = \sqrt{2x+1} - \sqrt{x+4}$

Найдем ОДЗ:

$\begin{cases} x-3 \ge 0 \\ 2x+1 \ge 0 \\ x+4 \ge 0 \end{cases} \implies \begin{cases} x \ge 3 \\ x \ge -0.5 \\ x \ge -4 \end{cases}$

Пересечением условий является $x \ge 3$.

Перенесем корень, чтобы в левой части была сумма корней:

$\sqrt{x-3} + \sqrt{x+4} = \sqrt{2x+1}$

В ОДЗ ($x \ge 3$) обе части уравнения неотрицательны, поэтому мы можем возвести их в квадрат:

$(\sqrt{x-3} + \sqrt{x+4})^2 = (\sqrt{2x+1})^2$

$(x-3) + 2\sqrt{(x-3)(x+4)} + (x+4) = 2x+1$

$2x+1 + 2\sqrt{x^2+x-12} = 2x+1$

$2\sqrt{x^2+x-12} = 0$

$\sqrt{x^2+x-12} = 0$

$x^2+x-12 = 0$

По теореме Виета, сумма корней равна -1, а произведение -12. Корни: $x_1 = 3$, $x_2 = -4$.

Проверим корни на принадлежность ОДЗ ($x \ge 3$).

Корень $x_1 = 3$ удовлетворяет ОДЗ.

Корень $x_2 = -4$ не удовлетворяет ОДЗ.

Проверим корень $x=3$ подстановкой в исходное уравнение:

$\sqrt{3-3} = \sqrt{2(3)+1} - \sqrt{3+4} \implies \sqrt{0} = \sqrt{7} - \sqrt{7} \implies 0=0$ (верно).

Ответ: $x=3$.

4) $\sqrt{9-2x} = 2\sqrt{4-x} - \sqrt{1-x}$

Найдем ОДЗ:

$\begin{cases} 9-2x \ge 0 \\ 4-x \ge 0 \\ 1-x \ge 0 \end{cases} \implies \begin{cases} x \le 4.5 \\ x \le 4 \\ x \le 1 \end{cases}$

Пересечением условий является $x \le 1$.

Перенесем корень в левую часть:

$\sqrt{9-2x} + \sqrt{1-x} = 2\sqrt{4-x}$

В ОДЗ ($x \le 1$) обе части уравнения неотрицательны, поэтому можем возвести их в квадрат:

$(\sqrt{9-2x} + \sqrt{1-x})^2 = (2\sqrt{4-x})^2$

$(9-2x) + 2\sqrt{(9-2x)(1-x)} + (1-x) = 4(4-x)$

$10-3x + 2\sqrt{2x^2-11x+9} = 16-4x$

Уединим корень:

$2\sqrt{2x^2-11x+9} = 16-4x - (10-3x)$

$2\sqrt{2x^2-11x+9} = 6-x$

В ОДЗ ($x \le 1$) правая часть $6-x$ всегда положительна (т.к. $6-x \ge 6-1=5$). Поэтому можно снова возвести обе части в квадрат:

$(2\sqrt{2x^2-11x+9})^2 = (6-x)^2$

$4(2x^2-11x+9) = 36-12x+x^2$

$8x^2-44x+36 = 36-12x+x^2$

$7x^2-32x = 0$

$x(7x-32) = 0$

Получаем два возможных корня:

$x_1 = 0$

$7x_2 - 32 = 0 \implies x_2 = \frac{32}{7}$

Проверим корни на принадлежность ОДЗ ($x \le 1$).

Корень $x_1 = 0$ удовлетворяет ОДЗ.

Корень $x_2 = 32/7$ не удовлетворяет ОДЗ, так как $32/7 > 1$.

Проверим корень $x=0$ подстановкой в исходное уравнение:

$\sqrt{9-2(0)} = 2\sqrt{4-0} - \sqrt{1-0} \implies \sqrt{9} = 2\sqrt{4} - \sqrt{1} \implies 3 = 2 \cdot 2 - 1 \implies 3=3$ (верно).

Ответ: $x=0$.

Помогло решение? Оставьте отзыв в комментариях ниже.

Присоединяйтесь к Телеграм-группе @top_gdz

Присоединиться

Мы подготовили для вас ответ c подробным объяснением домашего задания по алгебре за 10-11 класс, для упражнения номер 187 расположенного на странице 71 к учебнику 2014 года издания для учащихся школ и гимназий.

Теперь на нашем сайте ГДЗ.ТОП вы всегда легко и бесплатно найдёте условие с правильным ответом на вопрос «Как решить ДЗ» и «Как сделать» задание по алгебре к упражнению №187 (с. 71), авторов: Алимов (Шавкат Арифджанович), Колягин (Юрий Михайлович), Ткачева (Мария Владимировна), Федорова (Надежда Евгеньевна), Шабунин (Михаил Иванович), ФГОС (старый) базовый и углублённый уровень обучения учебного пособия издательства Просвещение.