Номер 188, страница 71 - гдз по алгебре 10-11 класс учебник Алимов, Колягин

Алгебра, 10-11 класс Учебник, авторы: Алимов Шавкат Арифджанович, Колягин Юрий Михайлович, Ткачева Мария Владимировна, Федорова Надежда Евгеньевна, Шабунин Михаил Иванович, издательство Просвещение, Москва, 2014

Авторы: Алимов Ш. А., Колягин Ю. М., Ткачева М. В., Федорова Н. Е., Шабунин М. И.

Тип: Учебник

Издательство: Просвещение

Год издания: 2014 - 2025

Уровень обучения: базовый и углублённый

Цвет обложки: синий, фиолетовый

ISBN: 978-5-09-112136-0

Допущено Министерством просвещения Российской Федерации

Математика: алгебра и начала математического анализа, геометрия

Популярные ГДЗ в 10 классе

Глава 2. Степенная функция. Упражнения к главе 2 - номер 188, страница 71.

№188 (с. 71)
Условие. №188 (с. 71)
скриншот условия
Алгебра, 10-11 класс Учебник, авторы: Алимов Шавкат Арифджанович, Колягин Юрий Михайлович, Ткачева Мария Владимировна, Федорова Надежда Евгеньевна, Шабунин Михаил Иванович, издательство Просвещение, Москва, 2014, страница 71, номер 188, Условие

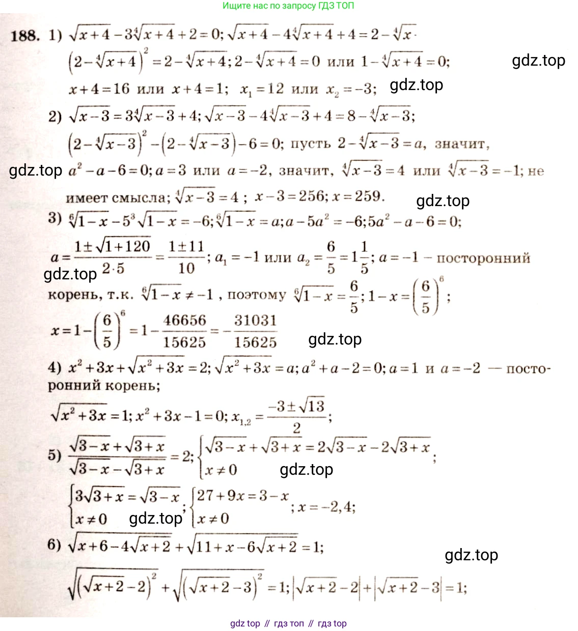
188 1) $\sqrt{x+4} - 3\sqrt[4]{x+4} + 2 = 0;$

2) $\sqrt{x-3} = 3\sqrt[4]{x-3} + 4;$

3) $\sqrt[6]{1-x} - 5\sqrt[3]{1-x} = -6;$

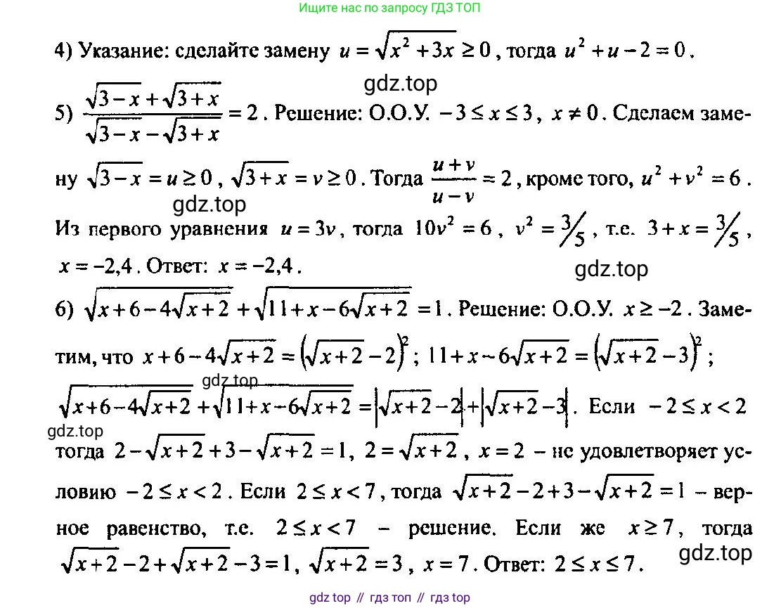
4) $x^2 + 3x + \sqrt{x^2+3x} = 2;$

5) $\frac{\sqrt{3-x} + \sqrt{3+x}}{\sqrt{3-x} - \sqrt{3+x}} = 2;$

6) $\sqrt{x+6-4\sqrt{x+2}} + \sqrt{11+x-6\sqrt{x+2}} = 1.$

Решение 1. №188 (с. 71)
Алгебра, 10-11 класс Учебник, авторы: Алимов Шавкат Арифджанович, Колягин Юрий Михайлович, Ткачева Мария Владимировна, Федорова Надежда Евгеньевна, Шабунин Михаил Иванович, издательство Просвещение, Москва, 2014, страница 71, номер 188, Решение 1
Алгебра, 10-11 класс Учебник, авторы: Алимов Шавкат Арифджанович, Колягин Юрий Михайлович, Ткачева Мария Владимировна, Федорова Надежда Евгеньевна, Шабунин Михаил Иванович, издательство Просвещение, Москва, 2014, страница 71, номер 188, Решение 1 (продолжение 2)
Алгебра, 10-11 класс Учебник, авторы: Алимов Шавкат Арифджанович, Колягин Юрий Михайлович, Ткачева Мария Владимировна, Федорова Надежда Евгеньевна, Шабунин Михаил Иванович, издательство Просвещение, Москва, 2014, страница 71, номер 188, Решение 1 (продолжение 3)
Алгебра, 10-11 класс Учебник, авторы: Алимов Шавкат Арифджанович, Колягин Юрий Михайлович, Ткачева Мария Владимировна, Федорова Надежда Евгеньевна, Шабунин Михаил Иванович, издательство Просвещение, Москва, 2014, страница 71, номер 188, Решение 1 (продолжение 4)
Алгебра, 10-11 класс Учебник, авторы: Алимов Шавкат Арифджанович, Колягин Юрий Михайлович, Ткачева Мария Владимировна, Федорова Надежда Евгеньевна, Шабунин Михаил Иванович, издательство Просвещение, Москва, 2014, страница 71, номер 188, Решение 1 (продолжение 5) Алгебра, 10-11 класс Учебник, авторы: Алимов Шавкат Арифджанович, Колягин Юрий Михайлович, Ткачева Мария Владимировна, Федорова Надежда Евгеньевна, Шабунин Михаил Иванович, издательство Просвещение, Москва, 2014, страница 71, номер 188, Решение 1 (продолжение 6)
Решение 2. №188 (с. 71)
Алгебра, 10-11 класс Учебник, авторы: Алимов Шавкат Арифджанович, Колягин Юрий Михайлович, Ткачева Мария Владимировна, Федорова Надежда Евгеньевна, Шабунин Михаил Иванович, издательство Просвещение, Москва, 2014, страница 71, номер 188, Решение 2
Алгебра, 10-11 класс Учебник, авторы: Алимов Шавкат Арифджанович, Колягин Юрий Михайлович, Ткачева Мария Владимировна, Федорова Надежда Евгеньевна, Шабунин Михаил Иванович, издательство Просвещение, Москва, 2014, страница 71, номер 188, Решение 2 (продолжение 2)
Алгебра, 10-11 класс Учебник, авторы: Алимов Шавкат Арифджанович, Колягин Юрий Михайлович, Ткачева Мария Владимировна, Федорова Надежда Евгеньевна, Шабунин Михаил Иванович, издательство Просвещение, Москва, 2014, страница 71, номер 188, Решение 2 (продолжение 3)
Алгебра, 10-11 класс Учебник, авторы: Алимов Шавкат Арифджанович, Колягин Юрий Михайлович, Ткачева Мария Владимировна, Федорова Надежда Евгеньевна, Шабунин Михаил Иванович, издательство Просвещение, Москва, 2014, страница 71, номер 188, Решение 2 (продолжение 4)
Решение 4. №188 (с. 71)
Алгебра, 10-11 класс Учебник, авторы: Алимов Шавкат Арифджанович, Колягин Юрий Михайлович, Ткачева Мария Владимировна, Федорова Надежда Евгеньевна, Шабунин Михаил Иванович, издательство Просвещение, Москва, 2014, страница 71, номер 188, Решение 4
Алгебра, 10-11 класс Учебник, авторы: Алимов Шавкат Арифджанович, Колягин Юрий Михайлович, Ткачева Мария Владимировна, Федорова Надежда Евгеньевна, Шабунин Михаил Иванович, издательство Просвещение, Москва, 2014, страница 71, номер 188, Решение 4 (продолжение 2)
Решение 5. №188 (с. 71)
Алгебра, 10-11 класс Учебник, авторы: Алимов Шавкат Арифджанович, Колягин Юрий Михайлович, Ткачева Мария Владимировна, Федорова Надежда Евгеньевна, Шабунин Михаил Иванович, издательство Просвещение, Москва, 2014, страница 71, номер 188, Решение 5
Алгебра, 10-11 класс Учебник, авторы: Алимов Шавкат Арифджанович, Колягин Юрий Михайлович, Ткачева Мария Владимировна, Федорова Надежда Евгеньевна, Шабунин Михаил Иванович, издательство Просвещение, Москва, 2014, страница 71, номер 188, Решение 5 (продолжение 2)
Решение 6. №188 (с. 71)
Алгебра, 10-11 класс Учебник, авторы: Алимов Шавкат Арифджанович, Колягин Юрий Михайлович, Ткачева Мария Владимировна, Федорова Надежда Евгеньевна, Шабунин Михаил Иванович, издательство Просвещение, Москва, 2014, страница 71, номер 188, Решение 6
Решение 7. №188 (с. 71)
Алгебра, 10-11 класс Учебник, авторы: Алимов Шавкат Арифджанович, Колягин Юрий Михайлович, Ткачева Мария Владимировна, Федорова Надежда Евгеньевна, Шабунин Михаил Иванович, издательство Просвещение, Москва, 2014, страница 71, номер 188, Решение 7 Алгебра, 10-11 класс Учебник, авторы: Алимов Шавкат Арифджанович, Колягин Юрий Михайлович, Ткачева Мария Владимировна, Федорова Надежда Евгеньевна, Шабунин Михаил Иванович, издательство Просвещение, Москва, 2014, страница 71, номер 188, Решение 7 (продолжение 2) Алгебра, 10-11 класс Учебник, авторы: Алимов Шавкат Арифджанович, Колягин Юрий Михайлович, Ткачева Мария Владимировна, Федорова Надежда Евгеньевна, Шабунин Михаил Иванович, издательство Просвещение, Москва, 2014, страница 71, номер 188, Решение 7 (продолжение 3) Алгебра, 10-11 класс Учебник, авторы: Алимов Шавкат Арифджанович, Колягин Юрий Михайлович, Ткачева Мария Владимировна, Федорова Надежда Евгеньевна, Шабунин Михаил Иванович, издательство Просвещение, Москва, 2014, страница 71, номер 188, Решение 7 (продолжение 4)
Решение 8. №188 (с. 71)

1) Исходное уравнение: $\sqrt{x+4} - 3\sqrt[4]{x+4} + 2 = 0$.
Это иррациональное уравнение, которое можно свести к квадратному с помощью замены переменной.
Пусть $y = \sqrt[4]{x+4}$. Тогда $\sqrt{x+4} = (\sqrt[4]{x+4})^2 = y^2$. Заметим, что по определению арифметического корня, $y \ge 0$.
Подставим новую переменную в уравнение:
$y^2 - 3y + 2 = 0$.
Это квадратное уравнение относительно $y$. Решим его с помощью теоремы Виета: сумма корней равна 3, произведение корней равно 2. Корни:
$y_1 = 1$, $y_2 = 2$.
Оба корня удовлетворяют условию $y \ge 0$.
Теперь выполним обратную замену:
1. $\sqrt[4]{x+4} = 1$. Возводим обе части в четвертую степень: $x+4 = 1^4 \Rightarrow x+4=1 \Rightarrow x = -3$.
2. $\sqrt[4]{x+4} = 2$. Возводим обе части в четвертую степень: $x+4 = 2^4 \Rightarrow x+4=16 \Rightarrow x = 12$.
Проверим область допустимых значений (ОДЗ): $x+4 \ge 0 \Rightarrow x \ge -4$. Оба корня $(-3 \text{ и } 12)$ входят в ОДЗ.
Проверка:
При $x=-3$: $\sqrt{-3+4} - 3\sqrt[4]{-3+4} + 2 = \sqrt{1} - 3\sqrt[4]{1} + 2 = 1 - 3 + 2 = 0$. Верно.
При $x=12$: $\sqrt{12+4} - 3\sqrt[4]{12+4} + 2 = \sqrt{16} - 3\sqrt[4]{16} + 2 = 4 - 3 \cdot 2 + 2 = 4 - 6 + 2 = 0$. Верно.
Ответ: $x_1 = -3, x_2 = 12$.

2) Исходное уравнение: $\sqrt{x-3} = 3\sqrt[4]{x-3} + 4$.
Перепишем уравнение: $\sqrt{x-3} - 3\sqrt[4]{x-3} - 4 = 0$.
Сделаем замену переменной. Пусть $y = \sqrt[4]{x-3}$. Тогда $\sqrt{x-3} = y^2$. Условие: $y \ge 0$.
Подставляем в уравнение:
$y^2 - 3y - 4 = 0$.
Решаем квадратное уравнение. По теореме Виета: сумма корней равна 3, произведение равно -4. Корни:
$y_1 = 4$, $y_2 = -1$.
Условию $y \ge 0$ удовлетворяет только $y_1=4$. Корень $y_2 = -1$ является посторонним.
Выполним обратную замену для $y=4$:
$\sqrt[4]{x-3} = 4$.
Возведем обе части в четвертую степень:
$x-3 = 4^4 \Rightarrow x-3 = 256 \Rightarrow x = 259$.
Проверим ОДЗ: $x-3 \ge 0 \Rightarrow x \ge 3$. Корень $x=259$ удовлетворяет ОДЗ.
Проверка:
$\sqrt{259-3} = \sqrt{256} = 16$.
$3\sqrt[4]{259-3} + 4 = 3\sqrt[4]{256} + 4 = 3 \cdot 4 + 4 = 12+4 = 16$.
$16=16$. Верно.
Ответ: $x = 259$.

3) Исходное уравнение: $\sqrt[6]{1-x} - 5\sqrt[3]{1-x} = -6$.
Перепишем уравнение: $5\sqrt[3]{1-x} - \sqrt[6]{1-x} - 6 = 0$.
Сделаем замену. Пусть $y = \sqrt[6]{1-x}$. Тогда $\sqrt[3]{1-x} = (\sqrt[6]{1-x})^2 = y^2$. Условие: $y \ge 0$.
Подставляем в уравнение:
$5y^2 - y - 6 = 0$.
Решаем квадратное уравнение с помощью дискриминанта:
$D = (-1)^2 - 4 \cdot 5 \cdot (-6) = 1 + 120 = 121 = 11^2$.
$y = \frac{-(-1) \pm \sqrt{121}}{2 \cdot 5} = \frac{1 \pm 11}{10}$.
$y_1 = \frac{1+11}{10} = \frac{12}{10} = 1.2$.
$y_2 = \frac{1-11}{10} = \frac{-10}{10} = -1$.
Условию $y \ge 0$ удовлетворяет только $y_1=1.2$. Корень $y_2=-1$ посторонний.
Выполним обратную замену:
$\sqrt[6]{1-x} = 1.2$.
Возведем обе части в шестую степень:
$1-x = (1.2)^6 = (\frac{6}{5})^6 = \frac{46656}{15625}$.
$x = 1 - \frac{46656}{15625} = \frac{15625 - 46656}{15625} = -\frac{31031}{15625}$.
Проверим ОДЗ: $1-x \ge 0 \Rightarrow x \le 1$. Корень $x = -31031/15625$ удовлетворяет этому условию.
Ответ: $x = -\frac{31031}{15625}$.

4) Исходное уравнение: $x^2 + 3x + \sqrt{x^2+3x} = 2$.
Сделаем замену. Пусть $y = \sqrt{x^2+3x}$. Тогда $x^2+3x = y^2$. Условие $y \ge 0$.
Подставляем в уравнение:
$y^2 + y = 2 \Rightarrow y^2 + y - 2 = 0$.
Решаем квадратное уравнение по теореме Виета: сумма корней равна -1, произведение равно -2. Корни:
$y_1 = 1$, $y_2 = -2$.
Условию $y \ge 0$ удовлетворяет только $y_1=1$.
Выполним обратную замену:
$\sqrt{x^2+3x} = 1$.
Возведем обе части в квадрат:
$x^2+3x = 1 \Rightarrow x^2+3x-1=0$.
Решаем полученное квадратное уравнение через дискриминант:
$D = 3^2 - 4 \cdot 1 \cdot (-1) = 9+4=13$.
$x = \frac{-3 \pm \sqrt{13}}{2}$.
Оба корня, $x_1 = \frac{-3 + \sqrt{13}}{2}$ и $x_2 = \frac{-3 - \sqrt{13}}{2}$, являются решениями. ОДЗ ($x^2+3x \ge 0$) для них выполняется, так как мы решали уравнение $\sqrt{x^2+3x}=1$, что равносильно $x^2+3x=1$, а $1 \ge 0$.
Ответ: $x = \frac{-3 \pm \sqrt{13}}{2}$.

5) Исходное уравнение: $\frac{\sqrt{3-x} + \sqrt{3+x}}{\sqrt{3-x} - \sqrt{3+x}} = 2$.
Найдем область допустимых значений (ОДЗ):
1. $3-x \ge 0 \Rightarrow x \le 3$.
2. $3+x \ge 0 \Rightarrow x \ge -3$.
3. $\sqrt{3-x} - \sqrt{3+x} \neq 0 \Rightarrow \sqrt{3-x} \neq \sqrt{3+x} \Rightarrow 3-x \neq 3+x \Rightarrow 2x \neq 0 \Rightarrow x \neq 0$.
Итак, ОДЗ: $x \in [-3, 0) \cup (0, 3]$.
Умножим обе части уравнения на знаменатель $\sqrt{3-x} - \sqrt{3+x}$:
$\sqrt{3-x} + \sqrt{3+x} = 2(\sqrt{3-x} - \sqrt{3+x})$.
$\sqrt{3-x} + \sqrt{3+x} = 2\sqrt{3-x} - 2\sqrt{3+x}$.
Сгруппируем слагаемые с одинаковыми корнями:
$\sqrt{3+x} + 2\sqrt{3+x} = 2\sqrt{3-x} - \sqrt{3-x}$.
$3\sqrt{3+x} = \sqrt{3-x}$.
Возведем обе части в квадрат (обе части неотрицательны в ОДЗ):
$(3\sqrt{3+x})^2 = (\sqrt{3-x})^2$.
$9(3+x) = 3-x$.
$27 + 9x = 3 - x$.
$10x = -24$.
$x = -2.4$.
Корень $x=-2.4$ принадлежит ОДЗ, так как $-3 \le -2.4 \le 3$ и $-2.4 \neq 0$.
Ответ: $x = -2.4$.

6) Исходное уравнение: $\sqrt{x+6-4\sqrt{x+2}} + \sqrt{11+x-6\sqrt{x+2}} = 1$.
ОДЗ: $x+2 \ge 0 \Rightarrow x \ge -2$. Также выражения под внешними корнями должны быть неотрицательны.
Преобразуем выражения под корнями, выделив полные квадраты.
Первый корень: $x+6-4\sqrt{x+2} = (x+2) - 4\sqrt{x+2} + 4 = (\sqrt{x+2})^2 - 2 \cdot \sqrt{x+2} \cdot 2 + 2^2 = (\sqrt{x+2}-2)^2$.
Второй корень: $11+x-6\sqrt{x+2} = (x+2) - 6\sqrt{x+2} + 9 = (\sqrt{x+2})^2 - 2 \cdot \sqrt{x+2} \cdot 3 + 3^2 = (\sqrt{x+2}-3)^2$.
Уравнение принимает вид:
$\sqrt{(\sqrt{x+2}-2)^2} + \sqrt{(\sqrt{x+2}-3)^2} = 1$.
Используя свойство $\sqrt{a^2} = |a|$, получаем:
$|\sqrt{x+2}-2| + |\sqrt{x+2}-3| = 1$.
Сделаем замену $y = \sqrt{x+2}$. Так как $x \ge -2$, то $y \ge 0$.
$|y-2| + |y-3| = 1$.
Решим это уравнение с модулями, рассмотрев три случая:
1. $0 \le y < 2$.
$-(y-2) - (y-3) = 1 \Rightarrow -y+2-y+3=1 \Rightarrow -2y+5=1 \Rightarrow 2y=4 \Rightarrow y=2$.
Это значение не входит в интервал $y<2$, значит, решений в этом случае нет.
2. $2 \le y \le 3$.
$(y-2) - (y-3) = 1 \Rightarrow y-2-y+3=1 \Rightarrow 1=1$.
Это тождество, значит, решением является весь промежуток $2 \le y \le 3$.
3. $y > 3$.
$(y-2) + (y-3) = 1 \Rightarrow 2y-5=1 \Rightarrow 2y=6 \Rightarrow y=3$.
Это значение не входит в интервал $y>3$, решений нет.
Итак, решением для $y$ является отрезок $[2, 3]$.
Выполним обратную замену: $2 \le \sqrt{x+2} \le 3$.
Так как все части неравенства неотрицательны, возведем их в квадрат:
$4 \le x+2 \le 9$.
Вычтем 2 из всех частей неравенства:
$2 \le x \le 7$.
Все значения из этого отрезка удовлетворяют ОДЗ ($x \ge -2$).
Ответ: $x \in [2, 7]$.

Помогло решение? Оставьте отзыв в комментариях ниже.

Присоединяйтесь к Телеграм-группе @top_gdz

Присоединиться

Мы подготовили для вас ответ c подробным объяснением домашего задания по алгебре за 10-11 класс, для упражнения номер 188 расположенного на странице 71 к учебнику 2014 года издания для учащихся школ и гимназий.

Теперь на нашем сайте ГДЗ.ТОП вы всегда легко и бесплатно найдёте условие с правильным ответом на вопрос «Как решить ДЗ» и «Как сделать» задание по алгебре к упражнению №188 (с. 71), авторов: Алимов (Шавкат Арифджанович), Колягин (Юрий Михайлович), Ткачева (Мария Владимировна), Федорова (Надежда Евгеньевна), Шабунин (Михаил Иванович), ФГОС (старый) базовый и углублённый уровень обучения учебного пособия издательства Просвещение.