Номер 190, страница 71 - гдз по алгебре 10-11 класс учебник Алимов, Колягин

Алгебра, 10-11 класс Учебник, авторы: Алимов Шавкат Арифджанович, Колягин Юрий Михайлович, Ткачева Мария Владимировна, Федорова Надежда Евгеньевна, Шабунин Михаил Иванович, издательство Просвещение, Москва, 2014

Авторы: Алимов Ш. А., Колягин Ю. М., Ткачева М. В., Федорова Н. Е., Шабунин М. И.

Тип: Учебник

Издательство: Просвещение

Год издания: 2014 - 2025

Уровень обучения: базовый и углублённый

Цвет обложки: синий, фиолетовый

ISBN: 978-5-09-112136-0

Допущено Министерством просвещения Российской Федерации

Математика: алгебра и начала математического анализа, геометрия

Популярные ГДЗ в 10 классе

Глава 2. Степенная функция. Упражнения к главе 2 - номер 190, страница 71.

№190 (с. 71)
Условие. №190 (с. 71)
скриншот условия
Алгебра, 10-11 класс Учебник, авторы: Алимов Шавкат Арифджанович, Колягин Юрий Михайлович, Ткачева Мария Владимировна, Федорова Надежда Евгеньевна, Шабунин Михаил Иванович, издательство Просвещение, Москва, 2014, страница 71, номер 190, Условие

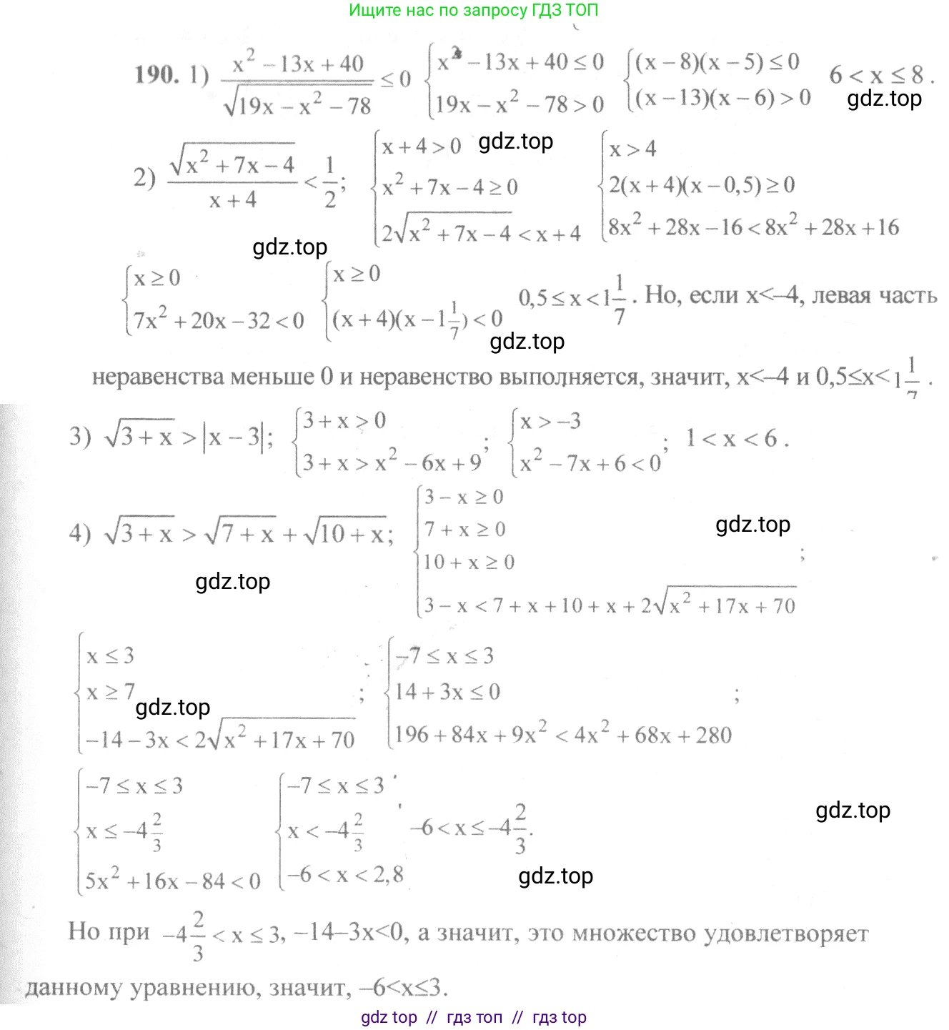
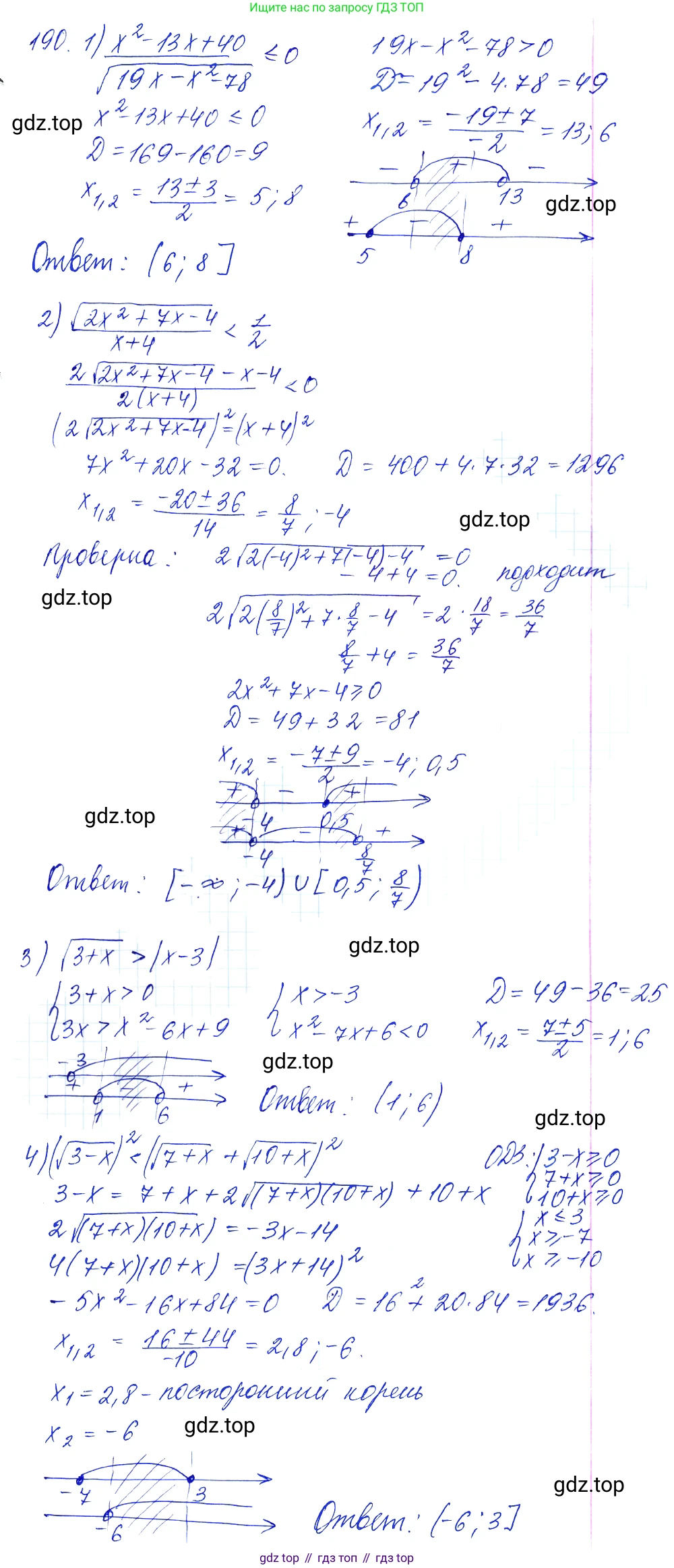
190 1) $\frac{x^2 - 13x + 40}{\sqrt{19x - x^2 - 78}} \le 0;$

2) $\frac{\sqrt{2x^2 + 7x - 4}}{x + 4} < \frac{1}{2};$

3) $\sqrt{3 + x} > |x - 3|;$

4) $\sqrt{3 - x} < \sqrt{7 + x} + \sqrt{10 + x}.$

Решение 1. №190 (с. 71)
Алгебра, 10-11 класс Учебник, авторы: Алимов Шавкат Арифджанович, Колягин Юрий Михайлович, Ткачева Мария Владимировна, Федорова Надежда Евгеньевна, Шабунин Михаил Иванович, издательство Просвещение, Москва, 2014, страница 71, номер 190, Решение 1
Алгебра, 10-11 класс Учебник, авторы: Алимов Шавкат Арифджанович, Колягин Юрий Михайлович, Ткачева Мария Владимировна, Федорова Надежда Евгеньевна, Шабунин Михаил Иванович, издательство Просвещение, Москва, 2014, страница 71, номер 190, Решение 1 (продолжение 2)
Алгебра, 10-11 класс Учебник, авторы: Алимов Шавкат Арифджанович, Колягин Юрий Михайлович, Ткачева Мария Владимировна, Федорова Надежда Евгеньевна, Шабунин Михаил Иванович, издательство Просвещение, Москва, 2014, страница 71, номер 190, Решение 1 (продолжение 3)
Алгебра, 10-11 класс Учебник, авторы: Алимов Шавкат Арифджанович, Колягин Юрий Михайлович, Ткачева Мария Владимировна, Федорова Надежда Евгеньевна, Шабунин Михаил Иванович, издательство Просвещение, Москва, 2014, страница 71, номер 190, Решение 1 (продолжение 4)
Решение 2. №190 (с. 71)
Алгебра, 10-11 класс Учебник, авторы: Алимов Шавкат Арифджанович, Колягин Юрий Михайлович, Ткачева Мария Владимировна, Федорова Надежда Евгеньевна, Шабунин Михаил Иванович, издательство Просвещение, Москва, 2014, страница 71, номер 190, Решение 2
Алгебра, 10-11 класс Учебник, авторы: Алимов Шавкат Арифджанович, Колягин Юрий Михайлович, Ткачева Мария Владимировна, Федорова Надежда Евгеньевна, Шабунин Михаил Иванович, издательство Просвещение, Москва, 2014, страница 71, номер 190, Решение 2 (продолжение 2)
Алгебра, 10-11 класс Учебник, авторы: Алимов Шавкат Арифджанович, Колягин Юрий Михайлович, Ткачева Мария Владимировна, Федорова Надежда Евгеньевна, Шабунин Михаил Иванович, издательство Просвещение, Москва, 2014, страница 71, номер 190, Решение 2 (продолжение 3)
Решение 4. №190 (с. 71)
Алгебра, 10-11 класс Учебник, авторы: Алимов Шавкат Арифджанович, Колягин Юрий Михайлович, Ткачева Мария Владимировна, Федорова Надежда Евгеньевна, Шабунин Михаил Иванович, издательство Просвещение, Москва, 2014, страница 71, номер 190, Решение 4
Алгебра, 10-11 класс Учебник, авторы: Алимов Шавкат Арифджанович, Колягин Юрий Михайлович, Ткачева Мария Владимировна, Федорова Надежда Евгеньевна, Шабунин Михаил Иванович, издательство Просвещение, Москва, 2014, страница 71, номер 190, Решение 4 (продолжение 2)
Решение 5. №190 (с. 71)
Алгебра, 10-11 класс Учебник, авторы: Алимов Шавкат Арифджанович, Колягин Юрий Михайлович, Ткачева Мария Владимировна, Федорова Надежда Евгеньевна, Шабунин Михаил Иванович, издательство Просвещение, Москва, 2014, страница 71, номер 190, Решение 5
Решение 6. №190 (с. 71)
Алгебра, 10-11 класс Учебник, авторы: Алимов Шавкат Арифджанович, Колягин Юрий Михайлович, Ткачева Мария Владимировна, Федорова Надежда Евгеньевна, Шабунин Михаил Иванович, издательство Просвещение, Москва, 2014, страница 71, номер 190, Решение 6
Решение 7. №190 (с. 71)
Алгебра, 10-11 класс Учебник, авторы: Алимов Шавкат Арифджанович, Колягин Юрий Михайлович, Ткачева Мария Владимировна, Федорова Надежда Евгеньевна, Шабунин Михаил Иванович, издательство Просвещение, Москва, 2014, страница 71, номер 190, Решение 7 Алгебра, 10-11 класс Учебник, авторы: Алимов Шавкат Арифджанович, Колягин Юрий Михайлович, Ткачева Мария Владимировна, Федорова Надежда Евгеньевна, Шабунин Михаил Иванович, издательство Просвещение, Москва, 2014, страница 71, номер 190, Решение 7 (продолжение 2) Алгебра, 10-11 класс Учебник, авторы: Алимов Шавкат Арифджанович, Колягин Юрий Михайлович, Ткачева Мария Владимировна, Федорова Надежда Евгеньевна, Шабунин Михаил Иванович, издательство Просвещение, Москва, 2014, страница 71, номер 190, Решение 7 (продолжение 3)
Решение 8. №190 (с. 71)

1) Решим неравенство $\frac{x^2 - 13x + 40}{\sqrt{19x - x^2 - 78}} \le 0$.

Сначала найдем область допустимых значений (ОДЗ). Выражение под корнем в знаменателе должно быть строго больше нуля:

$19x - x^2 - 78 > 0$

Умножим неравенство на -1, изменив знак на противоположный:

$x^2 - 19x + 78 < 0$

Найдем корни квадратного трехчлена $x^2 - 19x + 78 = 0$. Используя формулу для корней квадратного уравнения, получаем $x_1 = \frac{19 - \sqrt{19^2 - 4 \cdot 78}}{2} = \frac{19 - \sqrt{49}}{2} = 6$ и $x_2 = \frac{19 + 7}{2} = 13$.

Поскольку ветви параболы $y=x^2 - 19x + 78$ направлены вверх, неравенство $x^2 - 19x + 78 < 0$ выполняется на интервале между корнями: $x \in (6, 13)$. Это и есть ОДЗ.

Вернемся к исходному неравенству. В области ОДЗ знаменатель $\sqrt{19x - x^2 - 78}$ всегда положителен. Поэтому, чтобы дробь была меньше или равна нулю, необходимо, чтобы числитель был меньше или равен нулю:

$x^2 - 13x + 40 \le 0$

Найдем корни уравнения $x^2 - 13x + 40 = 0$. По теореме Виета, сумма корней равна 13, а произведение 40, откуда корни $x_1 = 5$ и $x_2 = 8$.

Неравенство $x^2 - 13x + 40 \le 0$ выполняется при $x \in [5, 8]$.

Для получения окончательного ответа найдем пересечение полученного решения с ОДЗ:

$[5, 8] \cap (6, 13) = (6, 8]$.

Ответ: $x \in (6, 8]$.

2) Решим неравенство $\frac{\sqrt{2x^2 + 7x - 4}}{x+4} < \frac{1}{2}$.

Найдем ОДЗ. Во-первых, подкоренное выражение должно быть неотрицательным: $2x^2 + 7x - 4 \ge 0$. Корни уравнения $2x^2 + 7x - 4 = 0$ равны $x_1 = -4$ и $x_2 = 1/2$. Следовательно, $x \in (-\infty, -4] \cup [1/2, +\infty)$. Во-вторых, знаменатель не должен быть равен нулю: $x+4 \neq 0$, то есть $x \neq -4$. Объединяя условия, получаем ОДЗ: $x \in (-\infty, -4) \cup [1/2, +\infty)$.

Рассмотрим два случая в зависимости от знака знаменателя.

Случай 1: $x+4 > 0 \implies x > -4$. С учетом ОДЗ, этот случай рассматривается для $x \in [1/2, +\infty)$. Умножим обе части неравенства на $2(x+4) > 0$:

$2\sqrt{2x^2 + 7x - 4} < x+4$

Так как обе части неравенства неотрицательны, возведем их в квадрат:

$4(2x^2 + 7x - 4) < (x+4)^2$

$8x^2 + 28x - 16 < x^2 + 8x + 16$

$7x^2 + 20x - 32 < 0$

Корни уравнения $7x^2 + 20x - 32 = 0$ это $x_1 = -4$ и $x_2 = 8/7$. Неравенство выполняется для $x \in (-4, 8/7)$. Пересекая этот интервал с условием случая $x \in [1/2, +\infty)$, получаем: $(-4, 8/7) \cap [1/2, +\infty) = [1/2, 8/7)$.

Случай 2: $x+4 < 0 \implies x < -4$. С учетом ОДЗ, этот случай рассматривается для $x \in (-\infty, -4)$. В этом случае левая часть неравенства $\frac{\sqrt{\dots}}{x+4}$ отрицательна, а правая часть $1/2$ положительна. Отрицательное число всегда меньше положительного, поэтому неравенство выполняется для всех $x$ из этого случая. Решение для этого случая: $x \in (-\infty, -4)$.

Объединяем решения обоих случаев: $(-\infty, -4) \cup [1/2, 8/7)$.

Ответ: $x \in (-\infty, -4) \cup [1/2, 8/7)$.

3) Решим неравенство $\sqrt{3+x} > |x-3|$.

ОДЗ: $3+x \ge 0 \implies x \ge -3$.

В области ОДЗ обе части неравенства неотрицательны, поэтому мы можем возвести их в квадрат, не меняя знака неравенства:

$(\sqrt{3+x})^2 > (|x-3|)^2$

$3+x > (x-3)^2$

$3+x > x^2 - 6x + 9$

$0 > x^2 - 7x + 6$

$x^2 - 7x + 6 < 0$

Корни уравнения $x^2 - 7x + 6 = 0$ это $x_1 = 1$ и $x_2 = 6$. Неравенство выполняется для $x \in (1, 6)$.

Пересекаем полученное решение с ОДЗ $x \ge -3$: $(1, 6) \cap [-3, +\infty) = (1, 6)$.

Ответ: $x \in (1, 6)$.

4) Решим неравенство $\sqrt{3-x} < \sqrt{7+x} + \sqrt{10+x}$.

Найдем область допустимых значений (ОДЗ). Все подкоренные выражения должны быть неотрицательны: $\begin{cases} 3-x \ge 0 \\ 7+x \ge 0 \\ 10+x \ge 0 \end{cases}$, что равносильно системе $\begin{cases} x \le 3 \\ x \ge -7 \\ x \ge -10 \end{cases}$. Пересечение этих условий дает ОДЗ: $x \in [-7, 3]$.

В области ОДЗ все части неравенства определены и неотрицательны. Возведем обе части в квадрат:

$(\sqrt{3-x})^2 < (\sqrt{7+x} + \sqrt{10+x})^2$

$3-x < (7+x) + 2\sqrt{(7+x)(10+x)} + (10+x)$

$3-x < 17 + 2x + 2\sqrt{x^2+17x+70}$

$-14 - 3x < 2\sqrt{x^2+17x+70}$

Теперь необходимо рассмотреть два случая в зависимости от знака левой части полученного неравенства.

Случай 1: Левая часть отрицательна. Это происходит при $-14 - 3x < 0$, то есть $x > -14/3$. В этом случае неравенство вида «отрицательное число < неотрицательное число» всегда истинно. Необходимо учесть ОДЗ. Пересечение $x > -14/3$ и $x \in [-7, 3]$ дает первую часть решения: $x \in (-14/3, 3]$.

Случай 2: Левая часть неотрицательна. Это происходит при $-14 - 3x \ge 0$, то есть $x \le -14/3$. В этом случае обе части неравенства неотрицательны, и мы можем снова возвести их в квадрат:

$(-14 - 3x)^2 < (2\sqrt{x^2+17x+70})^2$

$196 + 84x + 9x^2 < 4(x^2+17x+70)$

$196 + 84x + 9x^2 < 4x^2 + 68x + 280$

$5x^2 + 16x - 84 < 0$

Корнями квадратного уравнения $5x^2 + 16x - 84 = 0$ являются $x_1 = -6$ и $x_2 = 2.8$. Неравенство выполняется на интервале $x \in (-6, 2.8)$. Найдем пересечение этого результата с условием данного случая ($x \le -14/3$) и ОДЗ. Условие для этого случая с учетом ОДЗ: $x \in [-7, -14/3]$. Пересечение $x \in (-6, 2.8)$ и $x \in [-7, -14/3]$ дает вторую часть решения: $x \in (-6, -14/3]$.

Объединяя решения из обоих случаев, получаем итоговый ответ: $x \in (-6, -14/3] \cup (-14/3, 3] = (-6, 3]$.

Ответ: $x \in (-6, 3]$.

Помогло решение? Оставьте отзыв в комментариях ниже.

Присоединяйтесь к Телеграм-группе @top_gdz

Присоединиться

Мы подготовили для вас ответ c подробным объяснением домашего задания по алгебре за 10-11 класс, для упражнения номер 190 расположенного на странице 71 к учебнику 2014 года издания для учащихся школ и гимназий.

Теперь на нашем сайте ГДЗ.ТОП вы всегда легко и бесплатно найдёте условие с правильным ответом на вопрос «Как решить ДЗ» и «Как сделать» задание по алгебре к упражнению №190 (с. 71), авторов: Алимов (Шавкат Арифджанович), Колягин (Юрий Михайлович), Ткачева (Мария Владимировна), Федорова (Надежда Евгеньевна), Шабунин (Михаил Иванович), ФГОС (старый) базовый и углублённый уровень обучения учебного пособия издательства Просвещение.