Номер 201, страница 76 - гдз по алгебре 10-11 класс учебник Алимов, Колягин

Алгебра, 10-11 класс Учебник, авторы: Алимов Шавкат Арифджанович, Колягин Юрий Михайлович, Ткачева Мария Владимировна, Федорова Надежда Евгеньевна, Шабунин Михаил Иванович, издательство Просвещение, Москва, 2014

Авторы: Алимов Ш. А., Колягин Ю. М., Ткачева М. В., Федорова Н. Е., Шабунин М. И.

Тип: Учебник

Издательство: Просвещение

Год издания: 2014 - 2025

Уровень обучения: базовый и углублённый

Цвет обложки: синий, фиолетовый

ISBN: 978-5-09-112136-0

Допущено Министерством просвещения Российской Федерации

Математика: алгебра и начала математического анализа, геометрия

Популярные ГДЗ в 10 классе

Глава 3. Показательная функция. Параграф 11. Показательная функция, её свойства и график - номер 201, страница 76.

№201 (с. 76)
Условие. №201 (с. 76)
скриншот условия
Алгебра, 10-11 класс Учебник, авторы: Алимов Шавкат Арифджанович, Колягин Юрий Михайлович, Ткачева Мария Владимировна, Федорова Надежда Евгеньевна, Шабунин Михаил Иванович, издательство Просвещение, Москва, 2014, страница 76, номер 201, Условие

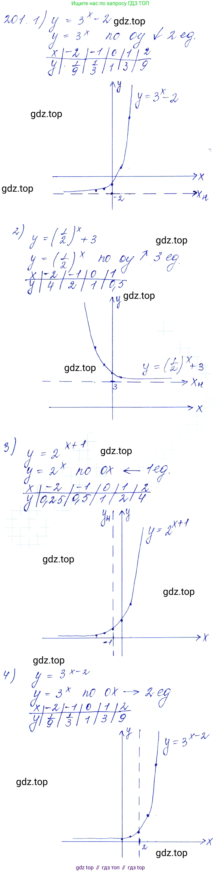
201 Построить график функции:

1) $y = 3^x - 2$; 2) $y = (\frac{1}{2})^x + 3$; 3) $y = 2^{x+1}$; 4) $y = 3^{x-2}$.
Решение 1. №201 (с. 76)
Алгебра, 10-11 класс Учебник, авторы: Алимов Шавкат Арифджанович, Колягин Юрий Михайлович, Ткачева Мария Владимировна, Федорова Надежда Евгеньевна, Шабунин Михаил Иванович, издательство Просвещение, Москва, 2014, страница 76, номер 201, Решение 1
Алгебра, 10-11 класс Учебник, авторы: Алимов Шавкат Арифджанович, Колягин Юрий Михайлович, Ткачева Мария Владимировна, Федорова Надежда Евгеньевна, Шабунин Михаил Иванович, издательство Просвещение, Москва, 2014, страница 76, номер 201, Решение 1 (продолжение 2)
Алгебра, 10-11 класс Учебник, авторы: Алимов Шавкат Арифджанович, Колягин Юрий Михайлович, Ткачева Мария Владимировна, Федорова Надежда Евгеньевна, Шабунин Михаил Иванович, издательство Просвещение, Москва, 2014, страница 76, номер 201, Решение 1 (продолжение 3)
Алгебра, 10-11 класс Учебник, авторы: Алимов Шавкат Арифджанович, Колягин Юрий Михайлович, Ткачева Мария Владимировна, Федорова Надежда Евгеньевна, Шабунин Михаил Иванович, издательство Просвещение, Москва, 2014, страница 76, номер 201, Решение 1 (продолжение 4)
Решение 2. №201 (с. 76)
Алгебра, 10-11 класс Учебник, авторы: Алимов Шавкат Арифджанович, Колягин Юрий Михайлович, Ткачева Мария Владимировна, Федорова Надежда Евгеньевна, Шабунин Михаил Иванович, издательство Просвещение, Москва, 2014, страница 76, номер 201, Решение 2
Решение 4. №201 (с. 76)
Алгебра, 10-11 класс Учебник, авторы: Алимов Шавкат Арифджанович, Колягин Юрий Михайлович, Ткачева Мария Владимировна, Федорова Надежда Евгеньевна, Шабунин Михаил Иванович, издательство Просвещение, Москва, 2014, страница 76, номер 201, Решение 4
Решение 5. №201 (с. 76)
Алгебра, 10-11 класс Учебник, авторы: Алимов Шавкат Арифджанович, Колягин Юрий Михайлович, Ткачева Мария Владимировна, Федорова Надежда Евгеньевна, Шабунин Михаил Иванович, издательство Просвещение, Москва, 2014, страница 76, номер 201, Решение 5
Решение 6. №201 (с. 76)
Алгебра, 10-11 класс Учебник, авторы: Алимов Шавкат Арифджанович, Колягин Юрий Михайлович, Ткачева Мария Владимировна, Федорова Надежда Евгеньевна, Шабунин Михаил Иванович, издательство Просвещение, Москва, 2014, страница 76, номер 201, Решение 6
Решение 7. №201 (с. 76)
Алгебра, 10-11 класс Учебник, авторы: Алимов Шавкат Арифджанович, Колягин Юрий Михайлович, Ткачева Мария Владимировна, Федорова Надежда Евгеньевна, Шабунин Михаил Иванович, издательство Просвещение, Москва, 2014, страница 76, номер 201, Решение 7 Алгебра, 10-11 класс Учебник, авторы: Алимов Шавкат Арифджанович, Колягин Юрий Михайлович, Ткачева Мария Владимировна, Федорова Надежда Евгеньевна, Шабунин Михаил Иванович, издательство Просвещение, Москва, 2014, страница 76, номер 201, Решение 7 (продолжение 2) Алгебра, 10-11 класс Учебник, авторы: Алимов Шавкат Арифджанович, Колягин Юрий Михайлович, Ткачева Мария Владимировна, Федорова Надежда Евгеньевна, Шабунин Михаил Иванович, издательство Просвещение, Москва, 2014, страница 76, номер 201, Решение 7 (продолжение 3) Алгебра, 10-11 класс Учебник, авторы: Алимов Шавкат Арифджанович, Колягин Юрий Михайлович, Ткачева Мария Владимировна, Федорова Надежда Евгеньевна, Шабунин Михаил Иванович, издательство Просвещение, Москва, 2014, страница 76, номер 201, Решение 7 (продолжение 4)
Решение 8. №201 (с. 76)

1) $y = 3^x - 2$

Для построения графика функции $y = 3^x - 2$ выполним следующие шаги:

  1. Сначала построим график базовой показательной функции $y_0 = 3^x$. Это возрастающая функция, так как основание $3 > 1$. График проходит через точку $(0, 1)$ и имеет горизонтальную асимптоту $y=0$ (ось Ox).
  2. График функции $y = 3^x - 2$ получается из графика $y_0 = 3^x$ путем сдвига (параллельного переноса) вдоль оси Oy на 2 единицы вниз.
  3. Все точки графика $y_0 = 3^x$ смещаются на 2 единицы вниз. Горизонтальная асимптота также смещается на 2 единицы вниз и становится прямой $y = -2$.

Найдем несколько ключевых точек для построения:

$x$ $y_0 = 3^x$ $y = 3^x - 2$ Точка на графике
-1 $1/3$ $1/3 - 2 = -5/3$ $(-1, -5/3)$
0 1 $1 - 2 = -1$ $(0, -1)$
1 3 $3 - 2 = 1$ $(1, 1)$
2 9 $9 - 2 = 7$ $(2, 7)$
  • Область определения: $D(y) = (-\infty; +\infty)$.
  • Область значений: $E(y) = (-2; +\infty)$.
  • Горизонтальная асимптота: $y = -2$.

Ответ: График функции $y = 3^x - 2$ — это экспоненциальная кривая, полученная сдвигом графика $y=3^x$ на 2 единицы вниз. Кривая возрастает, пересекает ось Oy в точке $(0, -1)$ и приближается к горизонтальной асимптоте $y=-2$ при $x \to -\infty$.

2) $y = \left(\frac{1}{2}\right)^x + 3$

Для построения графика функции $y = (\frac{1}{2})^x + 3$ выполним следующие шаги:

  1. Сначала построим график базовой показательной функции $y_0 = (\frac{1}{2})^x$. Это убывающая функция, так как основание $0 < \frac{1}{2} < 1$. График проходит через точку $(0, 1)$ и имеет горизонтальную асимптоту $y=0$.
  2. График функции $y = (\frac{1}{2})^x + 3$ получается из графика $y_0 = (\frac{1}{2})^x$ путем сдвига вдоль оси Oy на 3 единицы вверх.
  3. Все точки графика $y_0 = (\frac{1}{2})^x$ смещаются на 3 единицы вверх. Горизонтальная асимптота также смещается на 3 единицы вверх и становится прямой $y = 3$.

Найдем несколько ключевых точек для построения:

$x$ $y_0 = (\frac{1}{2})^x$ $y = (\frac{1}{2})^x + 3$ Точка на графике
-2 4 $4 + 3 = 7$ $(-2, 7)$
-1 2 $2 + 3 = 5$ $(-1, 5)$
0 1 $1 + 3 = 4$ $(0, 4)$
1 $1/2$ $1/2 + 3 = 3.5$ $(1, 3.5)$
  • Область определения: $D(y) = (-\infty; +\infty)$.
  • Область значений: $E(y) = (3; +\infty)$.
  • Горизонтальная асимптота: $y = 3$.

Ответ: График функции $y = (\frac{1}{2})^x + 3$ — это экспоненциальная кривая, полученная сдвигом графика $y=(\frac{1}{2})^x$ на 3 единицы вверх. Кривая убывает, пересекает ось Oy в точке $(0, 4)$ и приближается к горизонтальной асимптоте $y=3$ при $x \to +\infty$.

3) $y = 2^{x+1}$

Для построения графика функции $y = 2^{x+1}$ выполним следующие шаги:

  1. Сначала построим график базовой показательной функции $y_0 = 2^x$. Это возрастающая функция (основание $2 > 1$), проходящая через точку $(0, 1)$ и имеющая горизонтальную асимптоту $y=0$.
  2. График функции $y = 2^{x+1}$ получается из графика $y_0 = 2^x$ путем сдвига вдоль оси Ox на 1 единицу влево.
  3. Все точки графика $y_0 = 2^x$ смещаются на 1 единицу влево. Горизонтальная асимптота $y = 0$ при этом не изменяется.

Найдем несколько ключевых точек для построения:

$x$ $y = 2^{x+1}$ Точка на графике
-2 $2^{-2+1} = 2^{-1} = 0.5$ $(-2, 0.5)$
-1 $2^{-1+1} = 2^0 = 1$ $(-1, 1)$
0 $2^{0+1} = 2^1 = 2$ $(0, 2)$
1 $2^{1+1} = 2^2 = 4$ $(1, 4)$
  • Область определения: $D(y) = (-\infty; +\infty)$.
  • Область значений: $E(y) = (0; +\infty)$.
  • Горизонтальная асимптота: $y = 0$.

Ответ: График функции $y = 2^{x+1}$ — это экспоненциальная кривая, полученная сдвигом графика $y=2^x$ на 1 единицу влево. Кривая возрастает, пересекает ось Oy в точке $(0, 2)$ и приближается к горизонтальной асимптоте $y=0$ при $x \to -\infty$.

4) $y = 3^{x-2}$

Для построения графика функции $y = 3^{x-2}$ выполним следующие шаги:

  1. Сначала построим график базовой показательной функции $y_0 = 3^x$. Это возрастающая функция (основание $3 > 1$), проходящая через точку $(0, 1)$ и имеющая горизонтальную асимптоту $y=0$.
  2. График функции $y = 3^{x-2}$ получается из графика $y_0 = 3^x$ путем сдвига вдоль оси Ox на 2 единицы вправо.
  3. Все точки графика $y_0 = 3^x$ смещаются на 2 единицы вправо. Горизонтальная асимптота $y = 0$ при этом не изменяется.

Найдем несколько ключевых точек для построения:

$x$ $y = 3^{x-2}$ Точка на графике
0 $3^{0-2} = 3^{-2} = 1/9$ $(0, 1/9)$
1 $3^{1-2} = 3^{-1} = 1/3$ $(1, 1/3)$
2 $3^{2-2} = 3^0 = 1$ $(2, 1)$
3 $3^{3-2} = 3^1 = 3$ $(3, 3)$
  • Область определения: $D(y) = (-\infty; +\infty)$.
  • Область значений: $E(y) = (0; +\infty)$.
  • Горизонтальная асимптота: $y = 0$.

Ответ: График функции $y = 3^{x-2}$ — это экспоненциальная кривая, полученная сдвигом графика $y=3^x$ на 2 единицы вправо. Кривая возрастает, проходит через точку $(2, 1)$, пересекает ось Oy в точке $(0, 1/9)$ и приближается к горизонтальной асимптоте $y=0$ при $x \to -\infty$.

Помогло решение? Оставьте отзыв в комментариях ниже.

Присоединяйтесь к Телеграм-группе @top_gdz

Присоединиться

Мы подготовили для вас ответ c подробным объяснением домашего задания по алгебре за 10-11 класс, для упражнения номер 201 расположенного на странице 76 к учебнику 2014 года издания для учащихся школ и гимназий.

Теперь на нашем сайте ГДЗ.ТОП вы всегда легко и бесплатно найдёте условие с правильным ответом на вопрос «Как решить ДЗ» и «Как сделать» задание по алгебре к упражнению №201 (с. 76), авторов: Алимов (Шавкат Арифджанович), Колягин (Юрий Михайлович), Ткачева (Мария Владимировна), Федорова (Надежда Евгеньевна), Шабунин (Михаил Иванович), ФГОС (старый) базовый и углублённый уровень обучения учебного пособия издательства Просвещение.