Номер 216, страница 80 - гдз по алгебре 10-11 класс учебник Алимов, Колягин

Алгебра, 10-11 класс Учебник, авторы: Алимов Шавкат Арифджанович, Колягин Юрий Михайлович, Ткачева Мария Владимировна, Федорова Надежда Евгеньевна, Шабунин Михаил Иванович, издательство Просвещение, Москва, 2014

Авторы: Алимов Ш. А., Колягин Ю. М., Ткачева М. В., Федорова Н. Е., Шабунин М. И.

Тип: Учебник

Издательство: Просвещение

Год издания: 2014 - 2025

Уровень обучения: базовый и углублённый

Цвет обложки: синий, фиолетовый

ISBN: 978-5-09-112136-0

Допущено Министерством просвещения Российской Федерации

Математика: алгебра и начала математического анализа, геометрия

Популярные ГДЗ в 10 классе

Глава 3. Показательная функция. Параграф 12. Показательные уравнения - номер 216, страница 80.

№216 (с. 80)
Условие. №216 (с. 80)
скриншот условия
Алгебра, 10-11 класс Учебник, авторы: Алимов Шавкат Арифджанович, Колягин Юрий Михайлович, Ткачева Мария Владимировна, Федорова Надежда Евгеньевна, Шабунин Михаил Иванович, издательство Просвещение, Москва, 2014, страница 80, номер 216, Условие

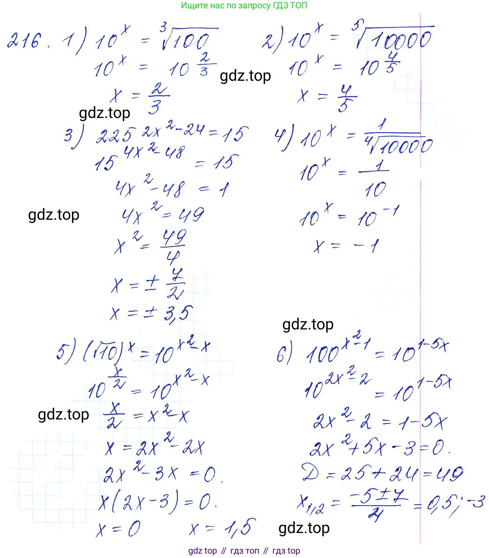
216 1) $10^x = \sqrt[3]{100}$;

2) $10^x = \sqrt[5]{10000}$;

3) $225^{2x^2 - 24} = 15$;

4) $10^x = \frac{1}{\sqrt[4]{10000}};

5) $(\sqrt{10})^x = 10^{x^2 - x}$;

6) $100^{x^2 - 1} = 10^{1 - 5x}$.

Решение 1. №216 (с. 80)
Алгебра, 10-11 класс Учебник, авторы: Алимов Шавкат Арифджанович, Колягин Юрий Михайлович, Ткачева Мария Владимировна, Федорова Надежда Евгеньевна, Шабунин Михаил Иванович, издательство Просвещение, Москва, 2014, страница 80, номер 216, Решение 1
Алгебра, 10-11 класс Учебник, авторы: Алимов Шавкат Арифджанович, Колягин Юрий Михайлович, Ткачева Мария Владимировна, Федорова Надежда Евгеньевна, Шабунин Михаил Иванович, издательство Просвещение, Москва, 2014, страница 80, номер 216, Решение 1 (продолжение 2)
Алгебра, 10-11 класс Учебник, авторы: Алимов Шавкат Арифджанович, Колягин Юрий Михайлович, Ткачева Мария Владимировна, Федорова Надежда Евгеньевна, Шабунин Михаил Иванович, издательство Просвещение, Москва, 2014, страница 80, номер 216, Решение 1 (продолжение 3)
Алгебра, 10-11 класс Учебник, авторы: Алимов Шавкат Арифджанович, Колягин Юрий Михайлович, Ткачева Мария Владимировна, Федорова Надежда Евгеньевна, Шабунин Михаил Иванович, издательство Просвещение, Москва, 2014, страница 80, номер 216, Решение 1 (продолжение 4)
Алгебра, 10-11 класс Учебник, авторы: Алимов Шавкат Арифджанович, Колягин Юрий Михайлович, Ткачева Мария Владимировна, Федорова Надежда Евгеньевна, Шабунин Михаил Иванович, издательство Просвещение, Москва, 2014, страница 80, номер 216, Решение 1 (продолжение 5) Алгебра, 10-11 класс Учебник, авторы: Алимов Шавкат Арифджанович, Колягин Юрий Михайлович, Ткачева Мария Владимировна, Федорова Надежда Евгеньевна, Шабунин Михаил Иванович, издательство Просвещение, Москва, 2014, страница 80, номер 216, Решение 1 (продолжение 6)
Решение 2. №216 (с. 80)
Алгебра, 10-11 класс Учебник, авторы: Алимов Шавкат Арифджанович, Колягин Юрий Михайлович, Ткачева Мария Владимировна, Федорова Надежда Евгеньевна, Шабунин Михаил Иванович, издательство Просвещение, Москва, 2014, страница 80, номер 216, Решение 2
Алгебра, 10-11 класс Учебник, авторы: Алимов Шавкат Арифджанович, Колягин Юрий Михайлович, Ткачева Мария Владимировна, Федорова Надежда Евгеньевна, Шабунин Михаил Иванович, издательство Просвещение, Москва, 2014, страница 80, номер 216, Решение 2 (продолжение 2)
Решение 4. №216 (с. 80)
Алгебра, 10-11 класс Учебник, авторы: Алимов Шавкат Арифджанович, Колягин Юрий Михайлович, Ткачева Мария Владимировна, Федорова Надежда Евгеньевна, Шабунин Михаил Иванович, издательство Просвещение, Москва, 2014, страница 80, номер 216, Решение 4
Решение 5. №216 (с. 80)
Алгебра, 10-11 класс Учебник, авторы: Алимов Шавкат Арифджанович, Колягин Юрий Михайлович, Ткачева Мария Владимировна, Федорова Надежда Евгеньевна, Шабунин Михаил Иванович, издательство Просвещение, Москва, 2014, страница 80, номер 216, Решение 5
Решение 6. №216 (с. 80)
Алгебра, 10-11 класс Учебник, авторы: Алимов Шавкат Арифджанович, Колягин Юрий Михайлович, Ткачева Мария Владимировна, Федорова Надежда Евгеньевна, Шабунин Михаил Иванович, издательство Просвещение, Москва, 2014, страница 80, номер 216, Решение 6
Решение 7. №216 (с. 80)
Алгебра, 10-11 класс Учебник, авторы: Алимов Шавкат Арифджанович, Колягин Юрий Михайлович, Ткачева Мария Владимировна, Федорова Надежда Евгеньевна, Шабунин Михаил Иванович, издательство Просвещение, Москва, 2014, страница 80, номер 216, Решение 7 Алгебра, 10-11 класс Учебник, авторы: Алимов Шавкат Арифджанович, Колягин Юрий Михайлович, Ткачева Мария Владимировна, Федорова Надежда Евгеньевна, Шабунин Михаил Иванович, издательство Просвещение, Москва, 2014, страница 80, номер 216, Решение 7 (продолжение 2)
Решение 8. №216 (с. 80)

1) Исходное уравнение: $10^x = \sqrt[3]{100}$.
Чтобы решить это показательное уравнение, приведем обе части к одному основанию. В данном случае это основание 10.
Представим правую часть уравнения в виде степени с основанием 10. Мы знаем, что $100 = 10^2$.
Тогда $\sqrt[3]{100} = \sqrt[3]{10^2}$.
Используя свойство корня $\sqrt[n]{a^m} = a^{m/n}$, получаем: $\sqrt[3]{10^2} = 10^{2/3}$.
Теперь уравнение принимает вид: $10^x = 10^{2/3}$.
Так как основания степеней равны, мы можем приравнять их показатели:
$x = \frac{2}{3}$.
Ответ: $x = \frac{2}{3}$.

2) Исходное уравнение: $10^x = \sqrt[5]{10000}$.
Приведем обе части уравнения к основанию 10.
Представим число 10000 в виде степени 10: $10000 = 10^4$.
Подставим это в правую часть уравнения: $\sqrt[5]{10000} = \sqrt[5]{10^4}$.
Используя свойство корня $\sqrt[n]{a^m} = a^{m/n}$, получаем: $\sqrt[5]{10^4} = 10^{4/5}$.
Уравнение принимает вид: $10^x = 10^{4/5}$.
Приравниваем показатели степеней:
$x = \frac{4}{5}$.
Ответ: $x = \frac{4}{5}$.

3) Исходное уравнение: $225^{2x^2 - 24} = 15$.
Приведем обе части уравнения к одному основанию. Заметим, что $225 = 15^2$.
Подставим это в левую часть уравнения: $(15^2)^{2x^2 - 24} = 15$.
Используя свойство степени $(a^m)^n = a^{mn}$, получаем: $15^{2(2x^2 - 24)} = 15^1$.
Теперь, когда основания равны, приравниваем показатели степеней:
$2(2x^2 - 24) = 1$
$4x^2 - 48 = 1$
$4x^2 = 49$
$x^2 = \frac{49}{4}$
Извлекаем квадратный корень из обеих частей уравнения:
$x = \pm\sqrt{\frac{49}{4}}$
$x_1 = \frac{7}{2}$, $x_2 = -\frac{7}{2}$.
Ответ: $x_1 = \frac{7}{2}$, $x_2 = -\frac{7}{2}$.

4) Исходное уравнение: $10^x = \frac{1}{\sqrt[4]{10000}}$.
Приведем правую часть к основанию 10. Сначала преобразуем знаменатель.
$10000 = 10^4$.
$\sqrt[4]{10000} = \sqrt[4]{10^4} = 10^{4/4} = 10^1 = 10$.
Теперь уравнение выглядит так: $10^x = \frac{1}{10}$.
Используя свойство отрицательной степени $a^{-n} = \frac{1}{a^n}$, получаем: $\frac{1}{10} = 10^{-1}$.
Уравнение принимает вид: $10^x = 10^{-1}$.
Приравниваем показатели степеней:
$x = -1$.
Ответ: $x = -1$.

5) Исходное уравнение: $(\sqrt{10})^x = 10^{x^2 - x}$.
Приведем левую часть к основанию 10. Мы знаем, что $\sqrt{10} = 10^{1/2}$.
Подставим это в уравнение: $(10^{1/2})^x = 10^{x^2 - x}$.
Используя свойство степени $(a^m)^n = a^{mn}$, получаем: $10^{\frac{1}{2}x} = 10^{x^2 - x}$.
Приравниваем показатели степеней:
$\frac{x}{2} = x^2 - x$
Умножим обе части на 2, чтобы избавиться от дроби:
$x = 2(x^2 - x)$
$x = 2x^2 - 2x$
Перенесем все члены в одну сторону, чтобы получить квадратное уравнение:
$2x^2 - 2x - x = 0$
$2x^2 - 3x = 0$
Вынесем общий множитель $x$ за скобки:
$x(2x - 3) = 0$
Произведение равно нулю, если один из множителей равен нулю:
$x = 0$ или $2x - 3 = 0$.
$2x = 3 \implies x = \frac{3}{2}$.
Ответ: $x_1 = 0$, $x_2 = \frac{3}{2}$.

6) Исходное уравнение: $100^{x^2 - 1} = 10^{1 - 5x}$.
Приведем обе части уравнения к основанию 10. Заметим, что $100 = 10^2$.
Подставим это в левую часть уравнения: $(10^2)^{x^2 - 1} = 10^{1 - 5x}$.
Используя свойство степени $(a^m)^n = a^{mn}$, получаем: $10^{2(x^2 - 1)} = 10^{1 - 5x}$.
Приравниваем показатели степеней:
$2(x^2 - 1) = 1 - 5x$
$2x^2 - 2 = 1 - 5x$
Перенесем все члены в левую часть, чтобы получить стандартное квадратное уравнение:
$2x^2 + 5x - 2 - 1 = 0$
$2x^2 + 5x - 3 = 0$
Решим это квадратное уравнение с помощью дискриминанта $D = b^2 - 4ac$.
$D = 5^2 - 4(2)(-3) = 25 + 24 = 49$.
$x = \frac{-b \pm \sqrt{D}}{2a}$
$x_1 = \frac{-5 + \sqrt{49}}{2 \cdot 2} = \frac{-5 + 7}{4} = \frac{2}{4} = \frac{1}{2}$.
$x_2 = \frac{-5 - \sqrt{49}}{2 \cdot 2} = \frac{-5 - 7}{4} = \frac{-12}{4} = -3$.
Ответ: $x_1 = -3$, $x_2 = \frac{1}{2}$.

Помогло решение? Оставьте отзыв в комментариях ниже.

Присоединяйтесь к Телеграм-группе @top_gdz

Присоединиться

Мы подготовили для вас ответ c подробным объяснением домашего задания по алгебре за 10-11 класс, для упражнения номер 216 расположенного на странице 80 к учебнику 2014 года издания для учащихся школ и гимназий.

Теперь на нашем сайте ГДЗ.ТОП вы всегда легко и бесплатно найдёте условие с правильным ответом на вопрос «Как решить ДЗ» и «Как сделать» задание по алгебре к упражнению №216 (с. 80), авторов: Алимов (Шавкат Арифджанович), Колягин (Юрий Михайлович), Ткачева (Мария Владимировна), Федорова (Надежда Евгеньевна), Шабунин (Михаил Иванович), ФГОС (старый) базовый и углублённый уровень обучения учебного пособия издательства Просвещение.