Номер 223, страница 80 - гдз по алгебре 10-11 класс учебник Алимов, Колягин

Алгебра, 10-11 класс Учебник, авторы: Алимов Шавкат Арифджанович, Колягин Юрий Михайлович, Ткачева Мария Владимировна, Федорова Надежда Евгеньевна, Шабунин Михаил Иванович, издательство Просвещение, Москва, 2014

Авторы: Алимов Ш. А., Колягин Ю. М., Ткачева М. В., Федорова Н. Е., Шабунин М. И.

Тип: Учебник

Издательство: Просвещение

Год издания: 2014 - 2025

Уровень обучения: базовый и углублённый

Цвет обложки: синий, фиолетовый

ISBN: 978-5-09-112136-0

Допущено Министерством просвещения Российской Федерации

Математика: алгебра и начала математического анализа, геометрия

Популярные ГДЗ в 10 классе

Глава 3. Показательная функция. Параграф 12. Показательные уравнения - номер 223, страница 80.

№223 (с. 80)
Условие. №223 (с. 80)
скриншот условия
Алгебра, 10-11 класс Учебник, авторы: Алимов Шавкат Арифджанович, Колягин Юрий Михайлович, Ткачева Мария Владимировна, Федорова Надежда Евгеньевна, Шабунин Михаил Иванович, издательство Просвещение, Москва, 2014, страница 80, номер 223, Условие

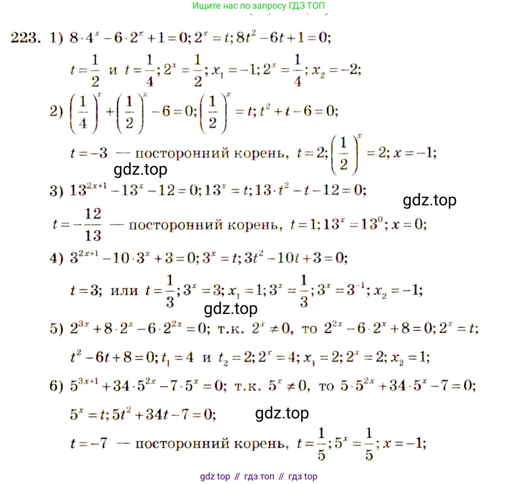
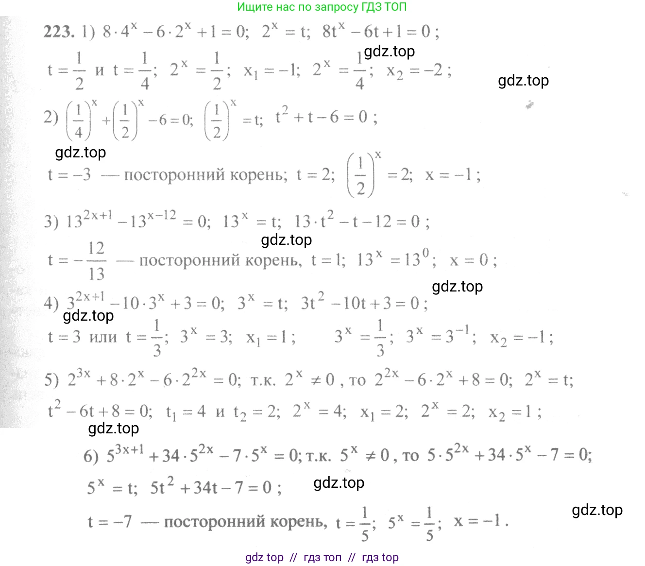
223 1) $8 \cdot 4^x - 6 \cdot 2^x + 1 = 0;$

2) $\left(\frac{1}{4}\right)^x + \left(\frac{1}{2}\right)^x - 6 = 0;$

3) $13^{2x+1} - 13^x - 12 = 0;$

4) $3^{2x+1} - 10 \cdot 3^x + 3 = 0;$

5) $2^{3x} + 8 \cdot 2^x - 6 \cdot 2^{2x} = 0;$

6) $5^{3x+1} + 34 \cdot 5^{2x} - 7 \cdot 5^x = 0.$

Решение 1. №223 (с. 80)
Алгебра, 10-11 класс Учебник, авторы: Алимов Шавкат Арифджанович, Колягин Юрий Михайлович, Ткачева Мария Владимировна, Федорова Надежда Евгеньевна, Шабунин Михаил Иванович, издательство Просвещение, Москва, 2014, страница 80, номер 223, Решение 1
Алгебра, 10-11 класс Учебник, авторы: Алимов Шавкат Арифджанович, Колягин Юрий Михайлович, Ткачева Мария Владимировна, Федорова Надежда Евгеньевна, Шабунин Михаил Иванович, издательство Просвещение, Москва, 2014, страница 80, номер 223, Решение 1 (продолжение 2)
Алгебра, 10-11 класс Учебник, авторы: Алимов Шавкат Арифджанович, Колягин Юрий Михайлович, Ткачева Мария Владимировна, Федорова Надежда Евгеньевна, Шабунин Михаил Иванович, издательство Просвещение, Москва, 2014, страница 80, номер 223, Решение 1 (продолжение 3)
Алгебра, 10-11 класс Учебник, авторы: Алимов Шавкат Арифджанович, Колягин Юрий Михайлович, Ткачева Мария Владимировна, Федорова Надежда Евгеньевна, Шабунин Михаил Иванович, издательство Просвещение, Москва, 2014, страница 80, номер 223, Решение 1 (продолжение 4)
Алгебра, 10-11 класс Учебник, авторы: Алимов Шавкат Арифджанович, Колягин Юрий Михайлович, Ткачева Мария Владимировна, Федорова Надежда Евгеньевна, Шабунин Михаил Иванович, издательство Просвещение, Москва, 2014, страница 80, номер 223, Решение 1 (продолжение 5) Алгебра, 10-11 класс Учебник, авторы: Алимов Шавкат Арифджанович, Колягин Юрий Михайлович, Ткачева Мария Владимировна, Федорова Надежда Евгеньевна, Шабунин Михаил Иванович, издательство Просвещение, Москва, 2014, страница 80, номер 223, Решение 1 (продолжение 6)
Решение 2. №223 (с. 80)
Алгебра, 10-11 класс Учебник, авторы: Алимов Шавкат Арифджанович, Колягин Юрий Михайлович, Ткачева Мария Владимировна, Федорова Надежда Евгеньевна, Шабунин Михаил Иванович, издательство Просвещение, Москва, 2014, страница 80, номер 223, Решение 2
Алгебра, 10-11 класс Учебник, авторы: Алимов Шавкат Арифджанович, Колягин Юрий Михайлович, Ткачева Мария Владимировна, Федорова Надежда Евгеньевна, Шабунин Михаил Иванович, издательство Просвещение, Москва, 2014, страница 80, номер 223, Решение 2 (продолжение 2)
Алгебра, 10-11 класс Учебник, авторы: Алимов Шавкат Арифджанович, Колягин Юрий Михайлович, Ткачева Мария Владимировна, Федорова Надежда Евгеньевна, Шабунин Михаил Иванович, издательство Просвещение, Москва, 2014, страница 80, номер 223, Решение 2 (продолжение 3)
Алгебра, 10-11 класс Учебник, авторы: Алимов Шавкат Арифджанович, Колягин Юрий Михайлович, Ткачева Мария Владимировна, Федорова Надежда Евгеньевна, Шабунин Михаил Иванович, издательство Просвещение, Москва, 2014, страница 80, номер 223, Решение 2 (продолжение 4)
Решение 4. №223 (с. 80)
Алгебра, 10-11 класс Учебник, авторы: Алимов Шавкат Арифджанович, Колягин Юрий Михайлович, Ткачева Мария Владимировна, Федорова Надежда Евгеньевна, Шабунин Михаил Иванович, издательство Просвещение, Москва, 2014, страница 80, номер 223, Решение 4
Решение 5. №223 (с. 80)
Алгебра, 10-11 класс Учебник, авторы: Алимов Шавкат Арифджанович, Колягин Юрий Михайлович, Ткачева Мария Владимировна, Федорова Надежда Евгеньевна, Шабунин Михаил Иванович, издательство Просвещение, Москва, 2014, страница 80, номер 223, Решение 5
Решение 6. №223 (с. 80)
Алгебра, 10-11 класс Учебник, авторы: Алимов Шавкат Арифджанович, Колягин Юрий Михайлович, Ткачева Мария Владимировна, Федорова Надежда Евгеньевна, Шабунин Михаил Иванович, издательство Просвещение, Москва, 2014, страница 80, номер 223, Решение 6
Решение 7. №223 (с. 80)
Алгебра, 10-11 класс Учебник, авторы: Алимов Шавкат Арифджанович, Колягин Юрий Михайлович, Ткачева Мария Владимировна, Федорова Надежда Евгеньевна, Шабунин Михаил Иванович, издательство Просвещение, Москва, 2014, страница 80, номер 223, Решение 7 Алгебра, 10-11 класс Учебник, авторы: Алимов Шавкат Арифджанович, Колягин Юрий Михайлович, Ткачева Мария Владимировна, Федорова Надежда Евгеньевна, Шабунин Михаил Иванович, издательство Просвещение, Москва, 2014, страница 80, номер 223, Решение 7 (продолжение 2) Алгебра, 10-11 класс Учебник, авторы: Алимов Шавкат Арифджанович, Колягин Юрий Михайлович, Ткачева Мария Владимировна, Федорова Надежда Евгеньевна, Шабунин Михаил Иванович, издательство Просвещение, Москва, 2014, страница 80, номер 223, Решение 7 (продолжение 3) Алгебра, 10-11 класс Учебник, авторы: Алимов Шавкат Арифджанович, Колягин Юрий Михайлович, Ткачева Мария Владимировна, Федорова Надежда Евгеньевна, Шабунин Михаил Иванович, издательство Просвещение, Москва, 2014, страница 80, номер 223, Решение 7 (продолжение 4)
Решение 8. №223 (с. 80)

1) Исходное уравнение: $8 \cdot 4^x - 6 \cdot 2^x + 1 = 0$.

Заметим, что $4^x = (2^2)^x = (2^x)^2$. Уравнение можно переписать в виде:

$8 \cdot (2^x)^2 - 6 \cdot 2^x + 1 = 0$.

Это квадратное уравнение относительно $2^x$. Введем замену: пусть $t = 2^x$. Так как показательная функция всегда положительна, то $t > 0$.

Получаем квадратное уравнение: $8t^2 - 6t + 1 = 0$.

Найдем его корни через дискриминант:

$D = b^2 - 4ac = (-6)^2 - 4 \cdot 8 \cdot 1 = 36 - 32 = 4$.

$t_1 = \frac{-b - \sqrt{D}}{2a} = \frac{6 - \sqrt{4}}{2 \cdot 8} = \frac{6 - 2}{16} = \frac{4}{16} = \frac{1}{4}$.

$t_2 = \frac{-b + \sqrt{D}}{2a} = \frac{6 + \sqrt{4}}{2 \cdot 8} = \frac{6 + 2}{16} = \frac{8}{16} = \frac{1}{2}$.

Оба корня положительны, поэтому оба подходят. Вернемся к замене:

1. $2^x = t_1 = \frac{1}{4} \implies 2^x = 2^{-2} \implies x = -2$.

2. $2^x = t_2 = \frac{1}{2} \implies 2^x = 2^{-1} \implies x = -1$.

Ответ: $x_1 = -2, x_2 = -1$.

2) Исходное уравнение: $(\frac{1}{4})^x + (\frac{1}{2})^x - 6 = 0$.

Заметим, что $(\frac{1}{4})^x = ((\frac{1}{2})^2)^x = ((\frac{1}{2})^x)^2$. Перепишем уравнение:

$((\frac{1}{2})^x)^2 + (\frac{1}{2})^x - 6 = 0$.

Введем замену: пусть $t = (\frac{1}{2})^x$, где $t > 0$.

Получаем квадратное уравнение: $t^2 + t - 6 = 0$.

Найдем корни по теореме Виета: $t_1 + t_2 = -1$ и $t_1 \cdot t_2 = -6$. Корни: $t_1 = -3$ и $t_2 = 2$.

Так как $t > 0$, корень $t_1 = -3$ является посторонним. Остается $t_2 = 2$.

Вернемся к замене:

$(\frac{1}{2})^x = 2 \implies 2^{-x} = 2^1 \implies -x = 1 \implies x = -1$.

Ответ: $x = -1$.

3) Исходное уравнение: $13^{2x+1} - 13^x - 12 = 0$.

Используя свойство степеней, преобразуем $13^{2x+1} = 13^{2x} \cdot 13^1 = 13 \cdot (13^x)^2$.

Уравнение принимает вид: $13 \cdot (13^x)^2 - 13^x - 12 = 0$.

Введем замену: пусть $t = 13^x$, где $t > 0$.

Получаем квадратное уравнение: $13t^2 - t - 12 = 0$.

Найдем его корни через дискриминант:

$D = (-1)^2 - 4 \cdot 13 \cdot (-12) = 1 + 624 = 625 = 25^2$.

$t_1 = \frac{1 - 25}{2 \cdot 13} = \frac{-24}{26} = -\frac{12}{13}$.

$t_2 = \frac{1 + 25}{2 \cdot 13} = \frac{26}{26} = 1$.

Корень $t_1 = -\frac{12}{13}$ не удовлетворяет условию $t > 0$. Используем $t_2 = 1$.

Вернемся к замене:

$13^x = 1 \implies 13^x = 13^0 \implies x = 0$.

Ответ: $x = 0$.

4) Исходное уравнение: $3^{2x+1} - 10 \cdot 3^x + 3 = 0$.

Преобразуем $3^{2x+1} = 3^{2x} \cdot 3^1 = 3 \cdot (3^x)^2$.

Уравнение принимает вид: $3 \cdot (3^x)^2 - 10 \cdot 3^x + 3 = 0$.

Введем замену: пусть $t = 3^x$, где $t > 0$.

Получаем квадратное уравнение: $3t^2 - 10t + 3 = 0$.

Найдем его корни через дискриминант:

$D = (-10)^2 - 4 \cdot 3 \cdot 3 = 100 - 36 = 64 = 8^2$.

$t_1 = \frac{10 - 8}{2 \cdot 3} = \frac{2}{6} = \frac{1}{3}$.

$t_2 = \frac{10 + 8}{2 \cdot 3} = \frac{18}{6} = 3$.

Оба корня положительны. Вернемся к замене:

1. $3^x = t_1 = \frac{1}{3} \implies 3^x = 3^{-1} \implies x = -1$.

2. $3^x = t_2 = 3 \implies 3^x = 3^1 \implies x = 1$.

Ответ: $x_1 = -1, x_2 = 1$.

5) Исходное уравнение: $2^{3x} + 8 \cdot 2^x - 6 \cdot 2^{2x} = 0$.

Перепишем уравнение, упорядочив степени: $2^{3x} - 6 \cdot 2^{2x} + 8 \cdot 2^x = 0$.

Вынесем общий множитель $2^x$ за скобки:

$2^x(2^{2x} - 6 \cdot 2^x + 8) = 0$.

Так как $2^x > 0$ для любого $x$, мы можем разделить обе части уравнения на $2^x$:

$2^{2x} - 6 \cdot 2^x + 8 = 0$, или $(2^x)^2 - 6 \cdot 2^x + 8 = 0$.

Введем замену: пусть $t = 2^x$, где $t > 0$.

Получаем квадратное уравнение: $t^2 - 6t + 8 = 0$.

По теореме Виета: $t_1 + t_2 = 6$ и $t_1 \cdot t_2 = 8$. Корни: $t_1 = 2$ и $t_2 = 4$.

Оба корня положительны. Вернемся к замене:

1. $2^x = t_1 = 2 \implies 2^x = 2^1 \implies x = 1$.

2. $2^x = t_2 = 4 \implies 2^x = 2^2 \implies x = 2$.

Ответ: $x_1 = 1, x_2 = 2$.

6) Исходное уравнение: $5^{3x+1} + 34 \cdot 5^{2x} - 7 \cdot 5^x = 0$.

Преобразуем $5^{3x+1} = 5^{3x} \cdot 5^1 = 5 \cdot 5^{3x}$.

Уравнение принимает вид: $5 \cdot 5^{3x} + 34 \cdot 5^{2x} - 7 \cdot 5^x = 0$.

Вынесем общий множитель $5^x$ за скобки:

$5^x(5 \cdot 5^{2x} + 34 \cdot 5^x - 7) = 0$.

Так как $5^x > 0$, приравняем выражение в скобках к нулю:

$5 \cdot (5^x)^2 + 34 \cdot 5^x - 7 = 0$.

Введем замену: пусть $t = 5^x$, где $t > 0$.

Получаем квадратное уравнение: $5t^2 + 34t - 7 = 0$.

Найдем его корни через дискриминант:

$D = 34^2 - 4 \cdot 5 \cdot (-7) = 1156 + 140 = 1296 = 36^2$.

$t_1 = \frac{-34 - 36}{2 \cdot 5} = \frac{-70}{10} = -7$.

$t_2 = \frac{-34 + 36}{2 \cdot 5} = \frac{2}{10} = \frac{1}{5}$.

Корень $t_1 = -7$ не удовлетворяет условию $t > 0$. Используем $t_2 = \frac{1}{5}$.

Вернемся к замене:

$5^x = \frac{1}{5} \implies 5^x = 5^{-1} \implies x = -1$.

Ответ: $x = -1$.

Помогло решение? Оставьте отзыв в комментариях ниже.

Присоединяйтесь к Телеграм-группе @top_gdz

Присоединиться

Мы подготовили для вас ответ c подробным объяснением домашего задания по алгебре за 10-11 класс, для упражнения номер 223 расположенного на странице 80 к учебнику 2014 года издания для учащихся школ и гимназий.

Теперь на нашем сайте ГДЗ.ТОП вы всегда легко и бесплатно найдёте условие с правильным ответом на вопрос «Как решить ДЗ» и «Как сделать» задание по алгебре к упражнению №223 (с. 80), авторов: Алимов (Шавкат Арифджанович), Колягин (Юрий Михайлович), Ткачева (Мария Владимировна), Федорова (Надежда Евгеньевна), Шабунин (Михаил Иванович), ФГОС (старый) базовый и углублённый уровень обучения учебного пособия издательства Просвещение.