Номер 217, страница 80 - гдз по алгебре 10-11 класс учебник Алимов, Колягин

Алгебра, 10-11 класс Учебник, авторы: Алимов Шавкат Арифджанович, Колягин Юрий Михайлович, Ткачева Мария Владимировна, Федорова Надежда Евгеньевна, Шабунин Михаил Иванович, издательство Просвещение, Москва, 2014

Авторы: Алимов Ш. А., Колягин Ю. М., Ткачева М. В., Федорова Н. Е., Шабунин М. И.

Тип: Учебник

Издательство: Просвещение

Год издания: 2014 - 2025

Уровень обучения: базовый и углублённый

Цвет обложки: синий, фиолетовый

ISBN: 978-5-09-112136-0

Допущено Министерством просвещения Российской Федерации

Математика: алгебра и начала математического анализа, геометрия

Популярные ГДЗ в 10 классе

Глава 3. Показательная функция. Параграф 12. Показательные уравнения - номер 217, страница 80.

№217 (с. 80)
Условие. №217 (с. 80)
скриншот условия
Алгебра, 10-11 класс Учебник, авторы: Алимов Шавкат Арифджанович, Колягин Юрий Михайлович, Ткачева Мария Владимировна, Федорова Надежда Евгеньевна, Шабунин Михаил Иванович, издательство Просвещение, Москва, 2014, страница 80, номер 217, Условие

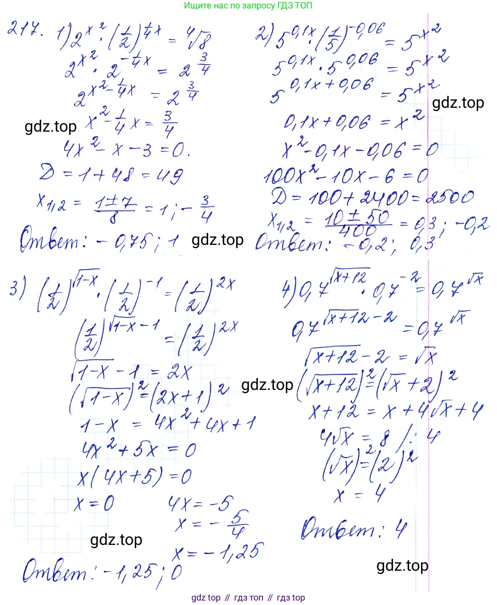
217 1) $2^{x^2} \cdot \left(\frac{1}{2}\right)^{\frac{1}{4}x} = \sqrt[4]{8};$

2) $5^{0,1x} \cdot \left(\frac{1}{5}\right)^{-0,06} = 5^{x^2};$

3) $\left(\frac{1}{2}\right)^{\sqrt{1-x}} \cdot \left(\frac{1}{2}\right)^{-1} = \left(\frac{1}{2}\right)^{2x};$

4) $0,7^{\sqrt{x+12}} \cdot 0,7^{-2} = 0,7^{\sqrt{x}}.$

Решение 1. №217 (с. 80)
Алгебра, 10-11 класс Учебник, авторы: Алимов Шавкат Арифджанович, Колягин Юрий Михайлович, Ткачева Мария Владимировна, Федорова Надежда Евгеньевна, Шабунин Михаил Иванович, издательство Просвещение, Москва, 2014, страница 80, номер 217, Решение 1
Алгебра, 10-11 класс Учебник, авторы: Алимов Шавкат Арифджанович, Колягин Юрий Михайлович, Ткачева Мария Владимировна, Федорова Надежда Евгеньевна, Шабунин Михаил Иванович, издательство Просвещение, Москва, 2014, страница 80, номер 217, Решение 1 (продолжение 2)
Алгебра, 10-11 класс Учебник, авторы: Алимов Шавкат Арифджанович, Колягин Юрий Михайлович, Ткачева Мария Владимировна, Федорова Надежда Евгеньевна, Шабунин Михаил Иванович, издательство Просвещение, Москва, 2014, страница 80, номер 217, Решение 1 (продолжение 3)
Алгебра, 10-11 класс Учебник, авторы: Алимов Шавкат Арифджанович, Колягин Юрий Михайлович, Ткачева Мария Владимировна, Федорова Надежда Евгеньевна, Шабунин Михаил Иванович, издательство Просвещение, Москва, 2014, страница 80, номер 217, Решение 1 (продолжение 4)
Решение 2. №217 (с. 80)
Алгебра, 10-11 класс Учебник, авторы: Алимов Шавкат Арифджанович, Колягин Юрий Михайлович, Ткачева Мария Владимировна, Федорова Надежда Евгеньевна, Шабунин Михаил Иванович, издательство Просвещение, Москва, 2014, страница 80, номер 217, Решение 2
Алгебра, 10-11 класс Учебник, авторы: Алимов Шавкат Арифджанович, Колягин Юрий Михайлович, Ткачева Мария Владимировна, Федорова Надежда Евгеньевна, Шабунин Михаил Иванович, издательство Просвещение, Москва, 2014, страница 80, номер 217, Решение 2 (продолжение 2)
Решение 4. №217 (с. 80)
Алгебра, 10-11 класс Учебник, авторы: Алимов Шавкат Арифджанович, Колягин Юрий Михайлович, Ткачева Мария Владимировна, Федорова Надежда Евгеньевна, Шабунин Михаил Иванович, издательство Просвещение, Москва, 2014, страница 80, номер 217, Решение 4
Решение 5. №217 (с. 80)
Алгебра, 10-11 класс Учебник, авторы: Алимов Шавкат Арифджанович, Колягин Юрий Михайлович, Ткачева Мария Владимировна, Федорова Надежда Евгеньевна, Шабунин Михаил Иванович, издательство Просвещение, Москва, 2014, страница 80, номер 217, Решение 5
Решение 6. №217 (с. 80)
Алгебра, 10-11 класс Учебник, авторы: Алимов Шавкат Арифджанович, Колягин Юрий Михайлович, Ткачева Мария Владимировна, Федорова Надежда Евгеньевна, Шабунин Михаил Иванович, издательство Просвещение, Москва, 2014, страница 80, номер 217, Решение 6
Решение 7. №217 (с. 80)
Алгебра, 10-11 класс Учебник, авторы: Алимов Шавкат Арифджанович, Колягин Юрий Михайлович, Ткачева Мария Владимировна, Федорова Надежда Евгеньевна, Шабунин Михаил Иванович, издательство Просвещение, Москва, 2014, страница 80, номер 217, Решение 7 Алгебра, 10-11 класс Учебник, авторы: Алимов Шавкат Арифджанович, Колягин Юрий Михайлович, Ткачева Мария Владимировна, Федорова Надежда Евгеньевна, Шабунин Михаил Иванович, издательство Просвещение, Москва, 2014, страница 80, номер 217, Решение 7 (продолжение 2)
Решение 8. №217 (с. 80)

1) $2^{x^2} \cdot (\frac{1}{2})^{\frac{1}{4}x} = \sqrt[4]{8}$

Для решения этого показательного уравнения приведем все его части к одному основанию, в данном случае к 2.
Представим $(\frac{1}{2})$ как $2^{-1}$. Тогда $(\frac{1}{2})^{\frac{1}{4}x} = (2^{-1})^{\frac{1}{4}x} = 2^{-\frac{x}{4}}$.
Представим $\sqrt[4]{8}$ как степень с основанием 2. Так как $8 = 2^3$, то $\sqrt[4]{8} = \sqrt[4]{2^3} = 2^{\frac{3}{4}}$.
Теперь исходное уравнение можно переписать в виде:
$2^{x^2} \cdot 2^{-\frac{x}{4}} = 2^{\frac{3}{4}}$
При умножении степеней с одинаковым основанием их показатели складываются:
$2^{x^2 - \frac{x}{4}} = 2^{\frac{3}{4}}$
Так как основания степеней равны, мы можем приравнять их показатели:
$x^2 - \frac{x}{4} = \frac{3}{4}$
Умножим обе части уравнения на 4, чтобы избавиться от дробей:
$4x^2 - x = 3$
Перенесем все члены в левую часть, чтобы получить стандартное квадратное уравнение:
$4x^2 - x - 3 = 0$
Решим это уравнение с помощью дискриминанта $D = b^2 - 4ac$:
$D = (-1)^2 - 4 \cdot 4 \cdot (-3) = 1 + 48 = 49 = 7^2$
Найдем корни уравнения:
$x_1 = \frac{-b + \sqrt{D}}{2a} = \frac{1 + 7}{2 \cdot 4} = \frac{8}{8} = 1$
$x_2 = \frac{-b - \sqrt{D}}{2a} = \frac{1 - 7}{2 \cdot 4} = \frac{-6}{8} = -\frac{3}{4}$

Ответ: $1; -\frac{3}{4}$.

2) $5^{0,1x} \cdot (\frac{1}{5})^{-0,06} = 5^{x^2}$

Приведем все части уравнения к основанию 5.
Выражение $(\frac{1}{5})^{-0,06}$ можно преобразовать, используя свойство $a^{-n} = \frac{1}{a^n}$ и $(a^m)^n = a^{mn}$:
$(\frac{1}{5})^{-0,06} = (5^{-1})^{-0,06} = 5^{(-1) \cdot (-0,06)} = 5^{0,06}$
Подставим это в исходное уравнение:
$5^{0,1x} \cdot 5^{0,06} = 5^{x^2}$
Сложим показатели степеней в левой части:
$5^{0,1x + 0,06} = 5^{x^2}$
Теперь приравняем показатели степеней:
$0,1x + 0,06 = x^2$
Перепишем в виде стандартного квадратного уравнения:
$x^2 - 0,1x - 0,06 = 0$
Чтобы избавиться от десятичных дробей, умножим все уравнение на 100:
$100x^2 - 10x - 6 = 0$
Для упрощения разделим все уравнение на 2:
$50x^2 - 5x - 3 = 0$
Найдем дискриминант:
$D = (-5)^2 - 4 \cdot 50 \cdot (-3) = 25 + 600 = 625 = 25^2$
Найдем корни:
$x_1 = \frac{5 + 25}{2 \cdot 50} = \frac{30}{100} = 0,3$
$x_2 = \frac{5 - 25}{2 \cdot 50} = \frac{-20}{100} = -0,2$

Ответ: $0,3; -0,2$.

3) $(\frac{1}{2})^{\sqrt{1-x}} \cdot (\frac{1}{2})^{-1} = (\frac{1}{2})^{2x}$

Все части уравнения уже имеют одинаковое основание $\frac{1}{2}$.
Упростим левую часть, сложив показатели степеней:
$(\frac{1}{2})^{\sqrt{1-x} - 1} = (\frac{1}{2})^{2x}$
Приравняем показатели:
$\sqrt{1-x} - 1 = 2x$
Изолируем радикал:
$\sqrt{1-x} = 2x + 1$
Определим область допустимых значений (ОДЗ). Выражение под корнем должно быть неотрицательным: $1-x \ge 0$, что дает $x \le 1$. Также правая часть уравнения должна быть неотрицательной, так как она равна значению арифметического корня: $2x+1 \ge 0$, что дает $x \ge -0,5$. Таким образом, ОДЗ: $x \in [-0,5; 1]$.
Возведем обе части уравнения в квадрат:
$(\sqrt{1-x})^2 = (2x + 1)^2$
$1 - x = 4x^2 + 4x + 1$
Приведем к стандартному виду:
$4x^2 + 5x = 0$
Вынесем $x$ за скобки:
$x(4x + 5) = 0$
Отсюда получаем два возможных корня: $x_1 = 0$ и $4x+5=0 \implies x_2 = -1,25$.
Проверим корни по ОДЗ:
$x_1 = 0$ удовлетворяет условию $-0,5 \le 0 \le 1$.
$x_2 = -1,25$ не удовлетворяет условию $x \ge -0,5$, значит это посторонний корень.
Единственное решение - $x=0$.

Ответ: $0$.

4) $0,7^{\sqrt{x+12}} \cdot 0,7^{-2} = 0,7^{\sqrt{x}}$

Основание степени во всех частях уравнения одинаково и равно $0,7$.
Сложим показатели в левой части:
$0,7^{\sqrt{x+12} - 2} = 0,7^{\sqrt{x}}$
Приравняем показатели:
$\sqrt{x+12} - 2 = \sqrt{x}$
Перенесем -2 в правую часть:
$\sqrt{x+12} = \sqrt{x} + 2$
Определим ОДЗ. Подкоренные выражения должны быть неотрицательными: $x+12 \ge 0 \implies x \ge -12$ и $x \ge 0$. Объединяя условия, получаем ОДЗ: $x \ge 0$.
При $x \ge 0$ обе части уравнения неотрицательны, поэтому можно возвести их в квадрат:
$(\sqrt{x+12})^2 = (\sqrt{x} + 2)^2$
$x + 12 = x + 4\sqrt{x} + 4$
Упростим уравнение:
$12 = 4\sqrt{x} + 4$
$8 = 4\sqrt{x}$
$\sqrt{x} = 2$
Возведем обе части в квадрат еще раз:
$x = 4$
Корень $x=4$ удовлетворяет ОДЗ ($4 \ge 0$).

Ответ: $4$.

Помогло решение? Оставьте отзыв в комментариях ниже.

Присоединяйтесь к Телеграм-группе @top_gdz

Присоединиться

Мы подготовили для вас ответ c подробным объяснением домашего задания по алгебре за 10-11 класс, для упражнения номер 217 расположенного на странице 80 к учебнику 2014 года издания для учащихся школ и гимназий.

Теперь на нашем сайте ГДЗ.ТОП вы всегда легко и бесплатно найдёте условие с правильным ответом на вопрос «Как решить ДЗ» и «Как сделать» задание по алгебре к упражнению №217 (с. 80), авторов: Алимов (Шавкат Арифджанович), Колягин (Юрий Михайлович), Ткачева (Мария Владимировна), Федорова (Надежда Евгеньевна), Шабунин (Михаил Иванович), ФГОС (старый) базовый и углублённый уровень обучения учебного пособия издательства Просвещение.