Номер 245, страница 87 - гдз по алгебре 10-11 класс учебник Алимов, Колягин

Алгебра, 10-11 класс Учебник, авторы: Алимов Шавкат Арифджанович, Колягин Юрий Михайлович, Ткачева Мария Владимировна, Федорова Надежда Евгеньевна, Шабунин Михаил Иванович, издательство Просвещение, Москва, 2014

Авторы: Алимов Ш. А., Колягин Ю. М., Ткачева М. В., Федорова Н. Е., Шабунин М. И.

Тип: Учебник

Издательство: Просвещение

Год издания: 2014 - 2026

Уровень обучения: базовый и углублённый

Цвет обложки: синий, фиолетовый

ISBN: 978-5-09-112136-0

Допущено Министерством просвещения Российской Федерации

Математика: алгебра и начала математического анализа, геометрия

Глава 3. Показательная функция. Параграф 14. Системы показательных уравнений и неравенств - номер 245, страница 87.

№245 (с. 87)
Условие. №245 (с. 87)
скриншот условия
Алгебра, 10-11 класс Учебник, авторы: Алимов Шавкат Арифджанович, Колягин Юрий Михайлович, Ткачева Мария Владимировна, Федорова Надежда Евгеньевна, Шабунин Михаил Иванович, издательство Просвещение, Москва, 2014, страница 87, номер 245, Условие

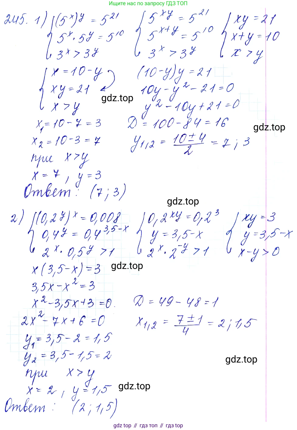
245 1) $\begin{cases} (5^x)^y = 5^{21}, \\ 5^x \cdot 5^y = 5^{10}, \\ 3^x > 3^y; \end{cases}$

2) $\begin{cases} (0,2^y)^x = 0,008, \\ 0,4^y = 0,4^{3,5-x}, \\ 2^x \cdot 0,5^y > 1. \end{cases}$

Решение 1. №245 (с. 87)
Алгебра, 10-11 класс Учебник, авторы: Алимов Шавкат Арифджанович, Колягин Юрий Михайлович, Ткачева Мария Владимировна, Федорова Надежда Евгеньевна, Шабунин Михаил Иванович, издательство Просвещение, Москва, 2014, страница 87, номер 245, Решение 1
Алгебра, 10-11 класс Учебник, авторы: Алимов Шавкат Арифджанович, Колягин Юрий Михайлович, Ткачева Мария Владимировна, Федорова Надежда Евгеньевна, Шабунин Михаил Иванович, издательство Просвещение, Москва, 2014, страница 87, номер 245, Решение 1 (продолжение 2)
Решение 2. №245 (с. 87)
Алгебра, 10-11 класс Учебник, авторы: Алимов Шавкат Арифджанович, Колягин Юрий Михайлович, Ткачева Мария Владимировна, Федорова Надежда Евгеньевна, Шабунин Михаил Иванович, издательство Просвещение, Москва, 2014, страница 87, номер 245, Решение 2
Алгебра, 10-11 класс Учебник, авторы: Алимов Шавкат Арифджанович, Колягин Юрий Михайлович, Ткачева Мария Владимировна, Федорова Надежда Евгеньевна, Шабунин Михаил Иванович, издательство Просвещение, Москва, 2014, страница 87, номер 245, Решение 2 (продолжение 2)
Решение 3. №245 (с. 87)
Алгебра, 10-11 класс Учебник, авторы: Алимов Шавкат Арифджанович, Колягин Юрий Михайлович, Ткачева Мария Владимировна, Федорова Надежда Евгеньевна, Шабунин Михаил Иванович, издательство Просвещение, Москва, 2014, страница 87, номер 245, Решение 3
Решение 4. №245 (с. 87)
Алгебра, 10-11 класс Учебник, авторы: Алимов Шавкат Арифджанович, Колягин Юрий Михайлович, Ткачева Мария Владимировна, Федорова Надежда Евгеньевна, Шабунин Михаил Иванович, издательство Просвещение, Москва, 2014, страница 87, номер 245, Решение 4
Решение 5. №245 (с. 87)
Алгебра, 10-11 класс Учебник, авторы: Алимов Шавкат Арифджанович, Колягин Юрий Михайлович, Ткачева Мария Владимировна, Федорова Надежда Евгеньевна, Шабунин Михаил Иванович, издательство Просвещение, Москва, 2014, страница 87, номер 245, Решение 5
Решение 6. №245 (с. 87)
Алгебра, 10-11 класс Учебник, авторы: Алимов Шавкат Арифджанович, Колягин Юрий Михайлович, Ткачева Мария Владимировна, Федорова Надежда Евгеньевна, Шабунин Михаил Иванович, издательство Просвещение, Москва, 2014, страница 87, номер 245, Решение 6
Решение 7. №245 (с. 87)
Алгебра, 10-11 класс Учебник, авторы: Алимов Шавкат Арифджанович, Колягин Юрий Михайлович, Ткачева Мария Владимировна, Федорова Надежда Евгеньевна, Шабунин Михаил Иванович, издательство Просвещение, Москва, 2014, страница 87, номер 245, Решение 7
Решение 8. №245 (с. 87)
1)

Рассмотрим систему:

$ \begin{cases} (5^x)^y = 5^{21}, \\ 5^x \cdot 5^y = 5^{10}, \\ 3^x > 3^y. \end{cases} $

Упростим первые два уравнения, используя свойства степеней: $ (a^m)^n = a^{mn} $ и $ a^m \cdot a^n = a^{m+n} $.

Из первого уравнения $ (5^x)^y = 5^{21} $ получаем $ 5^{xy} = 5^{21} $. Так как основания степеней равны, то равны и их показатели: $ xy = 21 $.

Из второго уравнения $ 5^x \cdot 5^y = 5^{10} $ получаем $ 5^{x+y} = 5^{10} $. Аналогично, $ x+y = 10 $.

В результате мы получаем систему двух уравнений с двумя переменными:

$ \begin{cases} x+y = 10, \\ xy = 21. \end{cases} $

Согласно теореме Виета, $x$ и $y$ являются корнями квадратного уравнения $ t^2 - 10t + 21 = 0 $.

Найдем корни этого уравнения. Дискриминант $ D = (-10)^2 - 4 \cdot 1 \cdot 21 = 100 - 84 = 16 $.

Корни уравнения: $ t_1 = \frac{10 + \sqrt{16}}{2} = \frac{10+4}{2} = 7 $ и $ t_2 = \frac{10 - \sqrt{16}}{2} = \frac{10-4}{2} = 3 $.

Следовательно, возможные пары решений $(x, y)$ для системы уравнений — это $(7, 3)$ и $(3, 7)$.

Теперь рассмотрим третье условие исходной системы — неравенство $ 3^x > 3^y $.

Так как основание степени $3 > 1$, показательная функция $ f(z) = 3^z $ является возрастающей. Это означает, что неравенство $ 3^x > 3^y $ равносильно неравенству для показателей $ x > y $.

Проверим найденные пары решений на соответствие этому условию:

1. Для пары $(7, 3)$: $ x=7, y=3 $. Условие $ x > y $ выполняется, так как $ 7 > 3 $.

2. Для пары $(3, 7)$: $ x=3, y=7 $. Условие $ x > y $ не выполняется, так как $ 3 < 7 $.

Таким образом, решением исходной системы является только пара $(7, 3)$.

Ответ: $(7, 3)$.

2)

Рассмотрим систему:

$ \begin{cases} (0,2^y)^x = 0,008, \\ 0,4^y = 0,4^{3,5-x}, \\ 2^x \cdot 0,5^y > 1. \end{cases} $

Упростим каждое условие системы.

Для первого уравнения $ (0,2^y)^x = 0,008 $, преобразуем обе части. Левая часть: $ (0,2^y)^x = 0,2^{xy} $. Правая часть: $ 0,008 = \frac{8}{1000} = \frac{1}{125} = (\frac{1}{5})^3 = 0,2^3 $. Уравнение принимает вид $ 0,2^{xy} = 0,2^3 $. Приравниваем показатели: $ xy = 3 $.

Для второго уравнения $ 0,4^y = 0,4^{3,5-x} $, так как основания степеней равны, приравниваем показатели: $ y = 3,5 - x $, что можно переписать как $ x+y = 3,5 $.

Теперь решаем систему из двух уравнений:

$ \begin{cases} x+y = 3,5, \\ xy = 3. \end{cases} $

По теореме Виета, $x$ и $y$ являются корнями квадратного уравнения $ t^2 - 3,5t + 3 = 0 $.

Для удобства решения умножим уравнение на 2: $ 2t^2 - 7t + 6 = 0 $.

Дискриминант $ D = (-7)^2 - 4 \cdot 2 \cdot 6 = 49 - 48 = 1 $.

Корни уравнения: $ t_1 = \frac{7 + \sqrt{1}}{2 \cdot 2} = \frac{8}{4} = 2 $ и $ t_2 = \frac{7 - \sqrt{1}}{2 \cdot 2} = \frac{6}{4} = 1,5 $.

Следовательно, возможные пары решений $(x, y)$ для системы уравнений — это $(2; 1,5)$ и $(1,5; 2)$.

Рассмотрим третье условие — неравенство $ 2^x \cdot 0,5^y > 1 $.

Преобразуем его, зная, что $ 0,5 = \frac{1}{2} = 2^{-1} $ и $ 1 = 2^0 $. Получаем $ 2^x \cdot (2^{-1})^y > 2^0 $, что упрощается до $ 2^x \cdot 2^{-y} > 2^0 $, и далее до $ 2^{x-y} > 2^0 $.

Так как основание степени $2 > 1$, показательная функция является возрастающей. Поэтому неравенство $ 2^{x-y} > 2^0 $ равносильно неравенству $ x-y > 0 $, или $ x > y $.

Проверим найденные пары решений:

1. Для пары $(2; 1,5)$: $ x=2, y=1,5 $. Условие $ x > y $ выполняется, так как $ 2 > 1,5 $.

2. Для пары $(1,5; 2)$: $ x=1,5, y=2 $. Условие $ x > y $ не выполняется, так как $ 1,5 < 2 $.

Таким образом, решением исходной системы является только пара $(2; 1,5)$.

Ответ: $(2; 1,5)$.

Помогло решение? Оставьте отзыв в комментариях ниже.

Присоединяйтесь к Телеграм-группе @top_gdz

Присоединиться

Мы подготовили для вас ответ c подробным объяснением домашего задания по алгебре за 10-11 класс, для упражнения номер 245 расположенного на странице 87 к учебнику 2014 года издания для учащихся школ и гимназий.

Теперь на нашем сайте ГДЗ.ТОП вы всегда легко и бесплатно найдёте условие с правильным ответом на вопрос «Как решить ДЗ» и «Как сделать» задание по алгебре к упражнению №245 (с. 87), авторов: Алимов (Шавкат Арифджанович), Колягин (Юрий Михайлович), Ткачева (Мария Владимировна), Федорова (Надежда Евгеньевна), Шабунин (Михаил Иванович), ФГОС (старый) базовый и углублённый уровень обучения учебного пособия издательства Просвещение.