Номер 250, страница 88 - гдз по алгебре 10-11 класс учебник Алимов, Колягин

Алгебра, 10-11 класс Учебник, авторы: Алимов Шавкат Арифджанович, Колягин Юрий Михайлович, Ткачева Мария Владимировна, Федорова Надежда Евгеньевна, Шабунин Михаил Иванович, издательство Просвещение, Москва, 2014

Авторы: Алимов Ш. А., Колягин Ю. М., Ткачева М. В., Федорова Н. Е., Шабунин М. И.

Тип: Учебник

Издательство: Просвещение

Год издания: 2014 - 2025

Уровень обучения: базовый и углублённый

Цвет обложки: синий, фиолетовый

ISBN: 978-5-09-112136-0

Допущено Министерством просвещения Российской Федерации

Математика: алгебра и начала математического анализа, геометрия

Популярные ГДЗ в 10 классе

Глава 3. Показательная функция. Упражнения к главе 3 - номер 250, страница 88.

№250 (с. 88)
Условие. №250 (с. 88)
скриншот условия
Алгебра, 10-11 класс Учебник, авторы: Алимов Шавкат Арифджанович, Колягин Юрий Михайлович, Ткачева Мария Владимировна, Федорова Надежда Евгеньевна, Шабунин Михаил Иванович, издательство Просвещение, Москва, 2014, страница 88, номер 250, Условие

Решить уравнение (250—252).

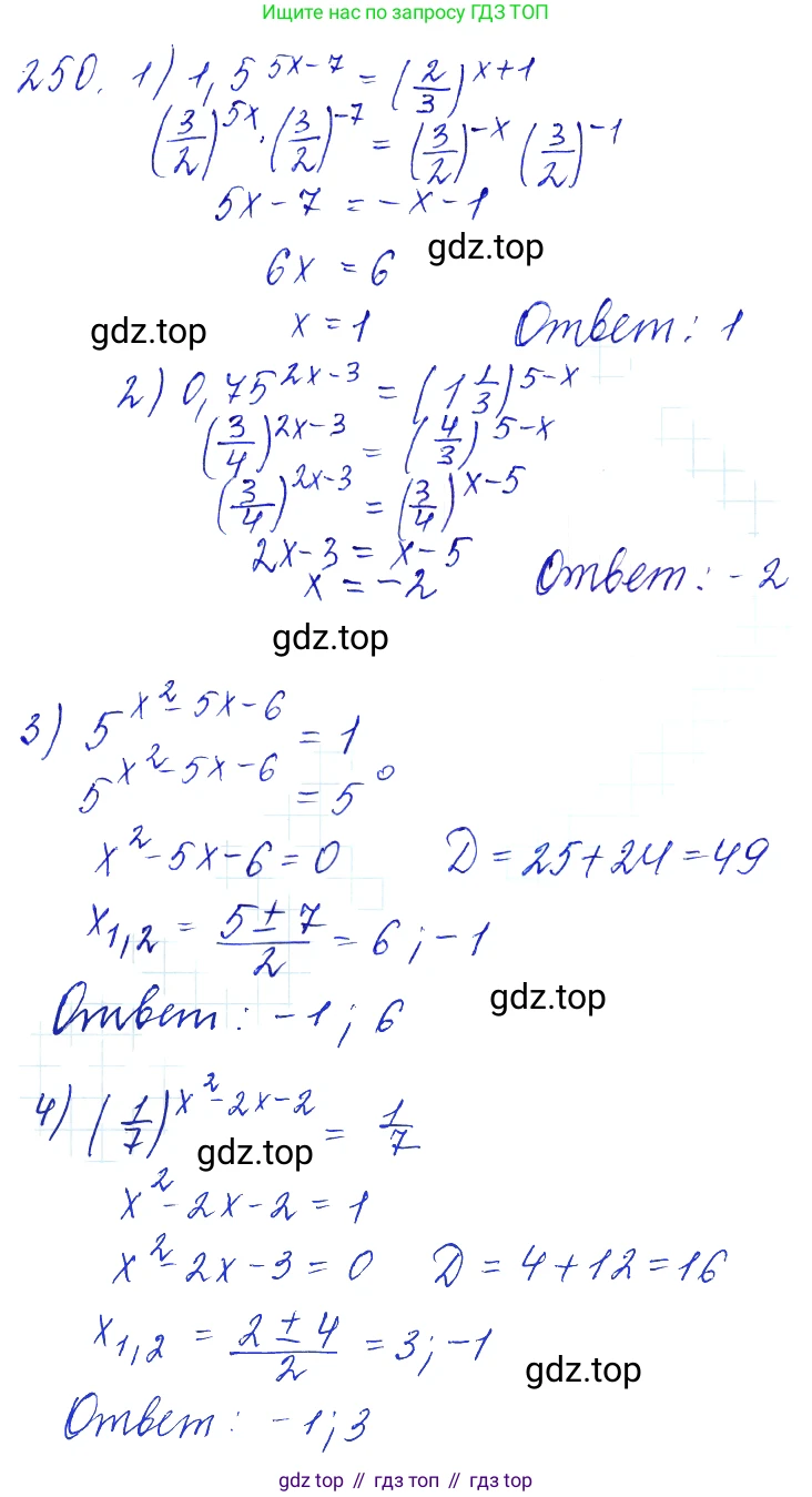
250 1) $1.5^{5x-7} = \left(\frac{2}{3}\right)^{x+1}$;

2) $0.75^{2x-3} = \left(1\frac{1}{3}\right)^{5-x}$;

3) $5^{x^2-5x-6} = 1$;

4) $\left(\frac{1}{7}\right)^{x^2-2x-2} = \frac{1}{7}$.

Решение 1. №250 (с. 88)
Алгебра, 10-11 класс Учебник, авторы: Алимов Шавкат Арифджанович, Колягин Юрий Михайлович, Ткачева Мария Владимировна, Федорова Надежда Евгеньевна, Шабунин Михаил Иванович, издательство Просвещение, Москва, 2014, страница 88, номер 250, Решение 1
Алгебра, 10-11 класс Учебник, авторы: Алимов Шавкат Арифджанович, Колягин Юрий Михайлович, Ткачева Мария Владимировна, Федорова Надежда Евгеньевна, Шабунин Михаил Иванович, издательство Просвещение, Москва, 2014, страница 88, номер 250, Решение 1 (продолжение 2)
Алгебра, 10-11 класс Учебник, авторы: Алимов Шавкат Арифджанович, Колягин Юрий Михайлович, Ткачева Мария Владимировна, Федорова Надежда Евгеньевна, Шабунин Михаил Иванович, издательство Просвещение, Москва, 2014, страница 88, номер 250, Решение 1 (продолжение 3)
Алгебра, 10-11 класс Учебник, авторы: Алимов Шавкат Арифджанович, Колягин Юрий Михайлович, Ткачева Мария Владимировна, Федорова Надежда Евгеньевна, Шабунин Михаил Иванович, издательство Просвещение, Москва, 2014, страница 88, номер 250, Решение 1 (продолжение 4)
Решение 2. №250 (с. 88)
Алгебра, 10-11 класс Учебник, авторы: Алимов Шавкат Арифджанович, Колягин Юрий Михайлович, Ткачева Мария Владимировна, Федорова Надежда Евгеньевна, Шабунин Михаил Иванович, издательство Просвещение, Москва, 2014, страница 88, номер 250, Решение 2
Алгебра, 10-11 класс Учебник, авторы: Алимов Шавкат Арифджанович, Колягин Юрий Михайлович, Ткачева Мария Владимировна, Федорова Надежда Евгеньевна, Шабунин Михаил Иванович, издательство Просвещение, Москва, 2014, страница 88, номер 250, Решение 2 (продолжение 2)
Решение 4. №250 (с. 88)
Алгебра, 10-11 класс Учебник, авторы: Алимов Шавкат Арифджанович, Колягин Юрий Михайлович, Ткачева Мария Владимировна, Федорова Надежда Евгеньевна, Шабунин Михаил Иванович, издательство Просвещение, Москва, 2014, страница 88, номер 250, Решение 4
Решение 5. №250 (с. 88)
Алгебра, 10-11 класс Учебник, авторы: Алимов Шавкат Арифджанович, Колягин Юрий Михайлович, Ткачева Мария Владимировна, Федорова Надежда Евгеньевна, Шабунин Михаил Иванович, издательство Просвещение, Москва, 2014, страница 88, номер 250, Решение 5
Решение 6. №250 (с. 88)
Алгебра, 10-11 класс Учебник, авторы: Алимов Шавкат Арифджанович, Колягин Юрий Михайлович, Ткачева Мария Владимировна, Федорова Надежда Евгеньевна, Шабунин Михаил Иванович, издательство Просвещение, Москва, 2014, страница 88, номер 250, Решение 6
Решение 7. №250 (с. 88)
Алгебра, 10-11 класс Учебник, авторы: Алимов Шавкат Арифджанович, Колягин Юрий Михайлович, Ткачева Мария Владимировна, Федорова Надежда Евгеньевна, Шабунин Михаил Иванович, издательство Просвещение, Москва, 2014, страница 88, номер 250, Решение 7 Алгебра, 10-11 класс Учебник, авторы: Алимов Шавкат Арифджанович, Колягин Юрий Михайлович, Ткачева Мария Владимировна, Федорова Надежда Евгеньевна, Шабунин Михаил Иванович, издательство Просвещение, Москва, 2014, страница 88, номер 250, Решение 7 (продолжение 2)
Решение 8. №250 (с. 88)

1) $1.5^{5x-7} = (\frac{2}{3})^{x+1}$

Чтобы решить это показательное уравнение, приведем обе части к одному основанию. Заметим, что $1,5$ можно представить в виде обыкновенной дроби $\frac{3}{2}$, а дробь $\frac{2}{3}$ является обратной к $\frac{3}{2}$, то есть $\frac{2}{3} = (\frac{3}{2})^{-1}$.

Перепишем исходное уравнение, используя основание $\frac{3}{2}$:

$(\frac{3}{2})^{5x-7} = ((\frac{3}{2})^{-1})^{x+1}$

В правой части применим свойство степени $(a^m)^n = a^{mn}$:

$(\frac{3}{2})^{5x-7} = (\frac{3}{2})^{-(x+1)}$

$(\frac{3}{2})^{5x-7} = (\frac{3}{2})^{-x-1}$

Поскольку основания степеней в обеих частях уравнения равны, мы можем приравнять их показатели:

$5x - 7 = -x - 1$

Теперь решим полученное линейное уравнение:

$5x + x = 7 - 1$

$6x = 6$

$x = 1$

Ответ: $1$.

2) $0,75^{2x-3} = (1\frac{1}{3})^{5-x}$

Сначала приведем основания к одному виду. Преобразуем десятичную и смешанную дроби в обыкновенные:

$0,75 = \frac{75}{100} = \frac{3}{4}$

$1\frac{1}{3} = \frac{1 \cdot 3 + 1}{3} = \frac{4}{3}$

Заметим, что основания $\frac{3}{4}$ и $\frac{4}{3}$ являются взаимно обратными числами, то есть $\frac{4}{3} = (\frac{3}{4})^{-1}$.

Подставим эти значения в уравнение:

$(\frac{3}{4})^{2x-3} = ((\frac{3}{4})^{-1})^{5-x}$

Упростим правую часть, используя свойство степеней:

$(\frac{3}{4})^{2x-3} = (\frac{3}{4})^{-(5-x)}$

$(\frac{3}{4})^{2x-3} = (\frac{3}{4})^{x-5}$

Приравниваем показатели степеней, так как основания равны:

$2x - 3 = x - 5$

Решаем линейное уравнение:

$2x - x = -5 + 3$

$x = -2$

Ответ: $-2$.

3) $5^{x^2 - 5x - 6} = 1$

Чтобы решить это уравнение, представим число 1 в виде степени с основанием 5. Мы знаем, что любое число (кроме нуля) в нулевой степени равно 1, поэтому $1 = 5^0$.

Уравнение принимает вид:

$5^{x^2 - 5x - 6} = 5^0$

Поскольку основания равны, приравниваем показатели степеней:

$x^2 - 5x - 6 = 0$

Мы получили квадратное уравнение. Решим его по теореме Виета. Сумма корней равна $5$, а их произведение равно $-6$.

$x_1 + x_2 = 5$

$x_1 \cdot x_2 = -6$

Подбором находим корни: $x_1 = 6$ и $x_2 = -1$.

Ответ: $-1; 6$.

4) $(\frac{1}{7})^{x^2 - 2x - 2} = \frac{1}{7}$

Представим правую часть уравнения в виде степени с тем же основанием. Любое число можно представить как это же число в первой степени, то есть $\frac{1}{7} = (\frac{1}{7})^1$.

Теперь уравнение выглядит так:

$(\frac{1}{7})^{x^2 - 2x - 2} = (\frac{1}{7})^1$

Так как основания степеней равны, можем приравнять их показатели:

$x^2 - 2x - 2 = 1$

Перенесем 1 в левую часть, чтобы получить стандартное квадратное уравнение:

$x^2 - 2x - 2 - 1 = 0$

$x^2 - 2x - 3 = 0$

Решим это квадратное уравнение по теореме Виета. Сумма корней равна $2$, а произведение равно $-3$.

$x_1 + x_2 = 2$

$x_1 \cdot x_2 = -3$

Подбором находим корни: $x_1 = 3$ и $x_2 = -1$.

Ответ: $-1; 3$.

Помогло решение? Оставьте отзыв в комментариях ниже.

Присоединяйтесь к Телеграм-группе @top_gdz

Присоединиться

Мы подготовили для вас ответ c подробным объяснением домашего задания по алгебре за 10-11 класс, для упражнения номер 250 расположенного на странице 88 к учебнику 2014 года издания для учащихся школ и гимназий.

Теперь на нашем сайте ГДЗ.ТОП вы всегда легко и бесплатно найдёте условие с правильным ответом на вопрос «Как решить ДЗ» и «Как сделать» задание по алгебре к упражнению №250 (с. 88), авторов: Алимов (Шавкат Арифджанович), Колягин (Юрий Михайлович), Ткачева (Мария Владимировна), Федорова (Надежда Евгеньевна), Шабунин (Михаил Иванович), ФГОС (старый) базовый и углублённый уровень обучения учебного пособия издательства Просвещение.